• 文献检索
  • 文档翻译
  • 深度研究
  • 学术资讯
  • Suppr Zotero 插件Zotero 插件
  • 邀请有礼
  • 套餐&价格
  • 历史记录
应用&插件
Suppr Zotero 插件Zotero 插件浏览器插件Mac 客户端Windows 客户端微信小程序
定价
高级版会员购买积分包购买API积分包
服务
文献检索文档翻译深度研究API 文档MCP 服务
关于我们
关于 Suppr公司介绍联系我们用户协议隐私条款
关注我们

Suppr 超能文献

核心技术专利:CN118964589B侵权必究
粤ICP备2023148730 号-1Suppr @ 2026

文献检索

告别复杂PubMed语法,用中文像聊天一样搜索,搜遍4000万医学文献。AI智能推荐,让科研检索更轻松。

立即免费搜索

文件翻译

保留排版,准确专业,支持PDF/Word/PPT等文件格式,支持 12+语言互译。

免费翻译文档

深度研究

AI帮你快速写综述,25分钟生成高质量综述,智能提取关键信息,辅助科研写作。

立即免费体验

慢性疼痛患者脊柱介入性疼痛治疗及物理治疗依从性对治疗效果的长期前瞻性随访

Long-Term Prospective Follow-Up of Spinal Interventional Pain Procedures and Physical Therapy Compliance on Outcomes in Chronic Pain Patients.

作者信息

Saleem Wael, LeQuang Jo Ann, Elayyan Muntaha, Rezk Mustafa, Fourati Zeineb, Hajaj Ahmad, Orompurath Mohammed, Jarallah Shaif, Coluzzi Flaminia, Pergolizzi Joseph V

机构信息

Department of Anesthesiology/ICU and Perioperative Medicine, Hamad Medical Corporation, Doha P.O. BOX 3050, Qatar.

Department of Scientific Communication, NEMA Research, Naples, FL 34108, USA.

出版信息

J Clin Med. 2025 Sep 5;14(17):6271. doi: 10.3390/jcm14176271.

DOI:10.3390/jcm14176271
PMID:40944030
原文链接:https://pmc.ncbi.nlm.nih.gov/articles/PMC12429843/
Abstract

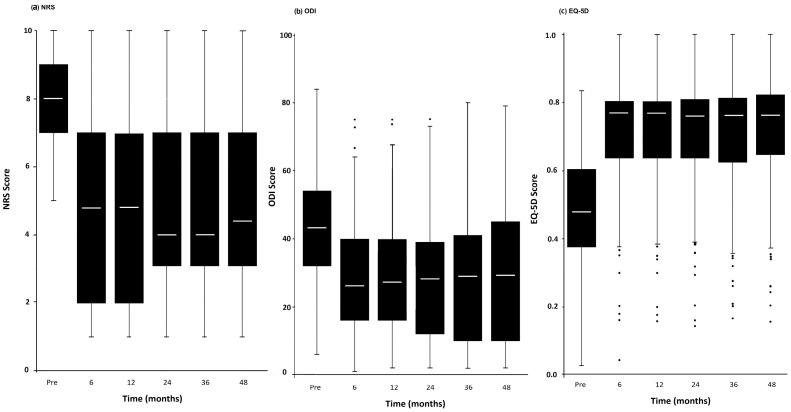
The long-term implications of spinal interventional pain procedures (IPPs) remain underexplored. This study aimed to evaluate pain intensity, overall health quality, and disability over a four-year period following an IPP, while also assessing physical therapy (PT) compliance, the need for repeated procedures, and analgesic consumption. A prospective observational study with retrospective registration was conducted on patients with chronic spinal pain at Hamad Medical Corporation (HMC), Qatar. Patients were assessed using the Numeric Rating Scale (NRS), the Oswestry Disability Index (ODI), and the EuroQol 5-Dimension Index (EQ-5D). Additional tools included the EQ-Health Visual Analog Scale and the Patient Global Impression of Change (PGIC). Follow-ups were performed at 6, 12, 24, 36, and 48 months. A total of 766 patients were initially recruited, of whom 174 met the inclusion criteria. All patients demonstrated significant improvement across all outcome measures compared to the baseline. No significant differences were observed in pain or functional outcomes between PT-compliant and non-compliant groups. By the end of this study, 56.9% of patients reported reduced analgesic use, while 43.1% reported increased use. The patient satisfaction data showed that 55% (62/113) of those receiving a single IPP were satisfied, compared to 54% (33/61) in the multiple IPP group. The PGIC satisfaction scores revealed no statistically significant differences ( = 1). Overall health status, as measured by the EQ-5D Health scale, also showed no meaningful differences between groups. Despite several limitations, patients reported sustained improvement and satisfaction four years post-IPP. PT compliance did not appear to significantly influence long-term outcomes. Further research is needed to identify factors affecting post-IPP recovery and medication usage.

摘要

脊柱介入性疼痛治疗(IPPs)的长期影响仍未得到充分研究。本研究旨在评估IPPs治疗后四年内的疼痛强度、整体健康质量和残疾情况,同时评估物理治疗(PT)的依从性、重复治疗的必要性以及镇痛药的使用情况。在卡塔尔哈马德医疗公司(HMC)对慢性脊柱疼痛患者进行了一项带有回顾性登记的前瞻性观察研究。使用数字评分量表(NRS)、奥斯维斯特残疾指数(ODI)和欧洲五维健康量表(EQ-5D)对患者进行评估。其他工具包括EQ-健康视觉模拟量表和患者总体变化印象(PGIC)。在6、12、24、36和48个月时进行随访。最初共招募了766名患者,其中174名符合纳入标准。与基线相比,所有患者在所有结局指标上均有显著改善。在PT依从组和非依从组之间,疼痛或功能结局未观察到显著差异。到本研究结束时,56.9%的患者报告镇痛药使用减少,而43.1%的患者报告使用增加。患者满意度数据显示,接受单次IPPs治疗的患者中有55%(62/113)表示满意,而接受多次IPPs治疗的患者中这一比例为54%(33/61)。PGIC满意度评分未显示出统计学上的显著差异(=1)。用EQ-5D健康量表衡量的总体健康状况在各组之间也没有有意义的差异。尽管存在一些局限性,但患者在IPPs治疗后四年报告持续改善和满意。PT依从性似乎并未显著影响长期结局。需要进一步研究以确定影响IPPs治疗后恢复和药物使用的因素。

https://cdn.ncbi.nlm.nih.gov/pmc/blobs/fc01/12429843/6911d1697bb4/jcm-14-06271-g003.jpg
https://cdn.ncbi.nlm.nih.gov/pmc/blobs/fc01/12429843/c517cabdf0ec/jcm-14-06271-g001.jpg
https://cdn.ncbi.nlm.nih.gov/pmc/blobs/fc01/12429843/09d7681fa214/jcm-14-06271-g002.jpg
https://cdn.ncbi.nlm.nih.gov/pmc/blobs/fc01/12429843/6911d1697bb4/jcm-14-06271-g003.jpg
https://cdn.ncbi.nlm.nih.gov/pmc/blobs/fc01/12429843/c517cabdf0ec/jcm-14-06271-g001.jpg
https://cdn.ncbi.nlm.nih.gov/pmc/blobs/fc01/12429843/09d7681fa214/jcm-14-06271-g002.jpg
https://cdn.ncbi.nlm.nih.gov/pmc/blobs/fc01/12429843/6911d1697bb4/jcm-14-06271-g003.jpg

相似文献

1
Long-Term Prospective Follow-Up of Spinal Interventional Pain Procedures and Physical Therapy Compliance on Outcomes in Chronic Pain Patients.慢性疼痛患者脊柱介入性疼痛治疗及物理治疗依从性对治疗效果的长期前瞻性随访
J Clin Med. 2025 Sep 5;14(17):6271. doi: 10.3390/jcm14176271.
2
Prescription of Controlled Substances: Benefits and Risks管制药品的处方:益处与风险
3
Efficacy and safety of allogeneic mesenchymal precursor cells with and without hyaluronic acid for treatment of chronic low back pain: A prospective, randomized, double blind, concurrent-controlled 36-month study.含透明质酸与不含透明质酸的同种异体间充质前体细胞治疗慢性下腰痛的疗效和安全性:一项前瞻性、随机、双盲、同期对照的36个月研究。
Spine J. 2025 Mar 31. doi: 10.1016/j.spinee.2025.03.015.
4
Sertindole for schizophrenia.用于治疗精神分裂症的舍吲哚。
Cochrane Database Syst Rev. 2005 Jul 20;2005(3):CD001715. doi: 10.1002/14651858.CD001715.pub2.
5
Rehabilitation following surgery for lumbar spinal stenosis.腰椎管狭窄症手术后的康复
Cochrane Database Syst Rev. 2013 Dec 9;2013(12):CD009644. doi: 10.1002/14651858.CD009644.pub2.
6
Epidural versus non-epidural or no analgesia for pain management in labour.硬膜外镇痛与非硬膜外镇痛或无镇痛用于分娩疼痛管理的比较。
Cochrane Database Syst Rev. 2018 May 21;5(5):CD000331. doi: 10.1002/14651858.CD000331.pub4.
7
Yoga treatment for chronic non-specific low back pain.瑜伽治疗慢性非特异性下腰痛。
Cochrane Database Syst Rev. 2017 Jan 12;1(1):CD010671. doi: 10.1002/14651858.CD010671.pub2.
8
Correlation between severity of preoperative low back pain and postoperative outcomes in lumbar disc herniation surgery: a retrospective cohort study.腰椎间盘突出症手术中术前腰痛严重程度与术后结果的相关性:一项回顾性队列研究。
Spine J. 2025 Mar;25(3):474-484. doi: 10.1016/j.spinee.2024.10.022. Epub 2024 Nov 2.
9
Pilates for low back pain.普拉提疗法缓解腰痛。
Cochrane Database Syst Rev. 2015 Jul 2;2015(7):CD010265. doi: 10.1002/14651858.CD010265.pub2.
10
Falls prevention interventions for community-dwelling older adults: systematic review and meta-analysis of benefits, harms, and patient values and preferences.社区居住的老年人跌倒预防干预措施:系统评价和荟萃分析的益处、危害以及患者的价值观和偏好。
Syst Rev. 2024 Nov 26;13(1):289. doi: 10.1186/s13643-024-02681-3.

本文引用的文献

1
Impact of education in patients undergoing physiotherapy for lower back pain: a level I systematic review and meta-analysis.教育对下背痛患者接受物理治疗的影响:一项I级系统评价和荟萃分析。
Eur J Trauma Emerg Surg. 2025 Feb 19;51(1):113. doi: 10.1007/s00068-025-02788-9.
2
Physiotherapeutic and non-conventional approaches in patients with chronic low-back pain: a level I Bayesian network meta-analysis.慢性下背痛患者的物理治疗和非传统方法:I 级贝叶斯网络荟萃分析。
Sci Rep. 2024 May 21;14(1):11546. doi: 10.1038/s41598-024-62276-9.
3
Relationship of pain relief with catastrophizing following interventional pain procedures for low back pain.
下腰痛介入性疼痛治疗后疼痛缓解与灾难化思维的关系。
Reg Anesth Pain Med. 2025 Jun 10;50(6):489-494. doi: 10.1136/rapm-2023-105247.
4
Patient-related barriers and enablers to the implementation of high-value physiotherapy for chronic pain: a systematic review.患者相关的障碍和促进因素对慢性疼痛的高价值物理治疗的实施:系统评价。
Pain Med. 2024 Feb 1;25(2):104-115. doi: 10.1093/pm/pnad134.
5
Healthcare Access Challenges and Facilitators for Back Pain Across the Rural-Urban Continuum in Saskatchewan, Canada: Cross-Sectional Results From a Provincial-Wide Telephone Survey.加拿大萨斯喀彻温省城乡连续体中背痛患者获得医疗服务的挑战与促进因素:一项全省范围电话调查的横断面结果
Health Serv Insights. 2023 Aug 25;16:11786329231193794. doi: 10.1177/11786329231193794. eCollection 2023.
6
The influence of comorbidities on outcomes for older people with back pain: BACE-D cohort study.合并症对老年背痛患者结局的影响:BACE-D 队列研究。
Ann Phys Rehabil Med. 2023 Oct;66(7):101754. doi: 10.1016/j.rehab.2023.101754. Epub 2023 Jun 4.
7
Patient Compliance With Physical Therapy Following Orthopedic Surgery and Its Outcomes.骨科手术后患者对物理治疗的依从性及其结果。
Cureus. 2023 Apr 6;15(4):e37217. doi: 10.7759/cureus.37217. eCollection 2023 Apr.
8
Best Exercise Options for Reducing Pain and Disability in Adults With Chronic Low Back Pain: Pilates, Strength, Core-Based, and Mind-Body. A Network Meta-analysis.针对慢性下腰痛成年人减轻疼痛和残疾的最佳运动选择:普拉提、力量、基于核心和身心。网络荟萃分析。
J Orthop Sports Phys Ther. 2022 Aug;52(8):505-521. doi: 10.2519/jospt.2022.10671. Epub 2022 Jun 19.
9
10 kHz Spinal Cord Stimulation for the Treatment of Non-Surgical Refractory Back Pain: A Case Report.10千赫兹脊髓刺激治疗非手术难治性背痛:一例报告
Orthop Rev (Pavia). 2022 Feb 14;14(1):31891. doi: 10.52965/001c.31891. eCollection 2022.
10
Comparison of decompression, decompression plus fusion, and decompression plus stabilization: a long-term follow-up of a prospective, randomized study.减压、减压融合与减压稳定:一项前瞻性随机研究的长期随访。
Spine J. 2022 May;22(5):747-755. doi: 10.1016/j.spinee.2021.12.014. Epub 2021 Dec 25.