Suppr超能文献

[此处原文不完整,推测可能是某个因素的名称未给出,暂无法准确翻译完整句子]在卵巢肿瘤进展过程中对紫杉醇反应和上皮-间质转化过程的调节作用。

Role of in regulation of Paclitaxel response and EMT process during ovarian tumor progression.

作者信息

Khajavirad Mohammad Hossein, Maharati Amirhosein, Taghehchian Negin, Taghavinia Fatemeh, Moghbeli Meysam

机构信息

Student Research Committee, Faculty of Medicine, Mashhad University of Medical Sciences, Mashhad, Iran.

Medical Genetics Research Center, Mashhad University of Medical Sciences, Mashhad, Iran.

出版信息

Mol Biol Res Commun. 2025;14(4):249-258. doi: 10.22099/mbrc.2025.52515.2107.

Abstract

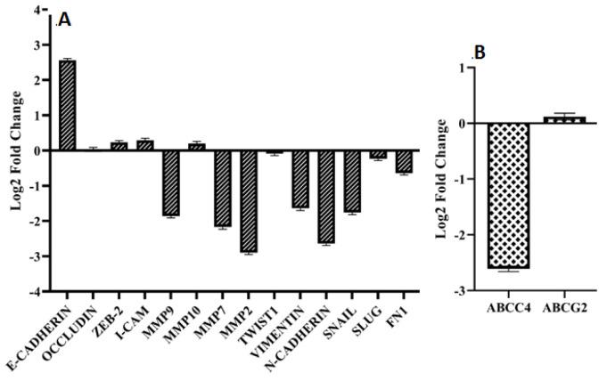
Ovarian cancer (OC) is one of the most common malignancies of the genitourinary system in women that has a high mortality rate worldwide. Drug resistance and tumor relapse are the main causes of high mortality rate in OC patients. Therefore, investigation of the molecular mechanisms involved in OC progression can be valuable to introduce effective therapeutic targets for these patients. Epithelial-mesenchymal transition (EMT) as a key regulator of tumor relapse and drug resistance can be regulated by different signaling pathways such as WNT and NOTCH. is an activator of NF-κB pathway during tumor progression. Considering the importance of cross talks between different signaling pathways during tumor progression, we assessed the role of in OC progression through the modulation of WNT and NOTCH pathways. The expression levels of components of WNT and NOTCH signaling pathways, as well as the EMT process, were evaluated in -induced A2780 cells compared to control cells. Role of in OC invasiveness was also assessed through migration and drug resistance assays. inhibited EMT process and NOTCH and WNT pathways in A2780 cells. also significantly reduced cell migration (=0.04) and paclitaxel (PTX) resistance in A2780 cells (<0.0001). reduced ovarian tumor cell migration and PTX resistance via regulation of NOTCH and WNT mediated EMT process. Therefore, it can be suggested as a novel therapeutic target in OC patients following further animal studies and clinical trials.

摘要

卵巢癌(OC)是女性泌尿生殖系统最常见的恶性肿瘤之一,在全球范围内具有较高的死亡率。耐药性和肿瘤复发是OC患者高死亡率的主要原因。因此,研究OC进展中涉及的分子机制对于为这些患者引入有效的治疗靶点可能具有重要价值。上皮-间质转化(EMT)作为肿瘤复发和耐药性的关键调节因子,可受WNT和NOTCH等不同信号通路调控。[此处原文缺失具体物质名称]是肿瘤进展过程中NF-κB通路的激活剂。鉴于肿瘤进展过程中不同信号通路之间相互作用的重要性,我们通过调节WNT和NOTCH通路评估了[此处原文缺失具体物质名称]在OC进展中的作用。与对照细胞相比,在[此处原文缺失具体物质名称]诱导的A2780细胞中评估了WNT和NOTCH信号通路成分的表达水平以及EMT过程。还通过迁移和耐药性试验评估了[此处原文缺失具体物质名称]在OC侵袭性中的作用。[此处原文缺失具体物质名称]抑制了A2780细胞中的EMT过程以及NOTCH和WNT通路。[此处原文缺失具体物质名称]还显著降低了A2780细胞的迁移能力(P = 0.04)和对紫杉醇(PTX)的耐药性(P < 0.0001)。[此处原文缺失具体物质名称]通过调节NOTCH和WNT介导的EMT过程降低了卵巢肿瘤细胞的迁移能力和PTX耐药性。因此,在进一步的动物研究和临床试验之后,它可被建议作为OC患者的一种新型治疗靶点。

https://cdn.ncbi.nlm.nih.gov/pmc/blobs/850b/12426957/8727f581dd38/mbrc-14-249-g001.jpg

文献检索

告别复杂PubMed语法,用中文像聊天一样搜索,搜遍4000万医学文献。AI智能推荐,让科研检索更轻松。

立即免费搜索

文件翻译

保留排版,准确专业,支持PDF/Word/PPT等文件格式,支持 12+语言互译。

免费翻译文档

深度研究

AI帮你快速写综述,25分钟生成高质量综述,智能提取关键信息,辅助科研写作。

立即免费体验