Suppr超能文献

万古霉素与哌拉西林-他唑巴坦联合使用相关的急性肾损伤

Acute Kidney Injury Associated with the Concomitant Use of Vancomycin and Piperacillin-Tazobactam.

作者信息

Chen Dayu, Kan Jingjing, Gu Qiaoling, Li Yi-Chen, Liu Yunxing, Kong Mengzhu, Liu Jinchun, Zhang Haixia

机构信息

Department of Pharmacy, Nanjing Drum Tower Hospital The Affiliated Hospital of Nanjing University Medical School, Nanjing, Jiangsu, People's Republic of China.

Department of Pharmacy, Nanjing Drum Tower Hospital, School of Basic Medicine and Clinical Pharmacy, China Pharmaceutical University, Nanjing, Jiangsu, People's Republic of China.

出版信息

Drug Des Devel Ther. 2025 Sep 9;19:7947-7965. doi: 10.2147/DDDT.S524370. eCollection 2025.

Abstract

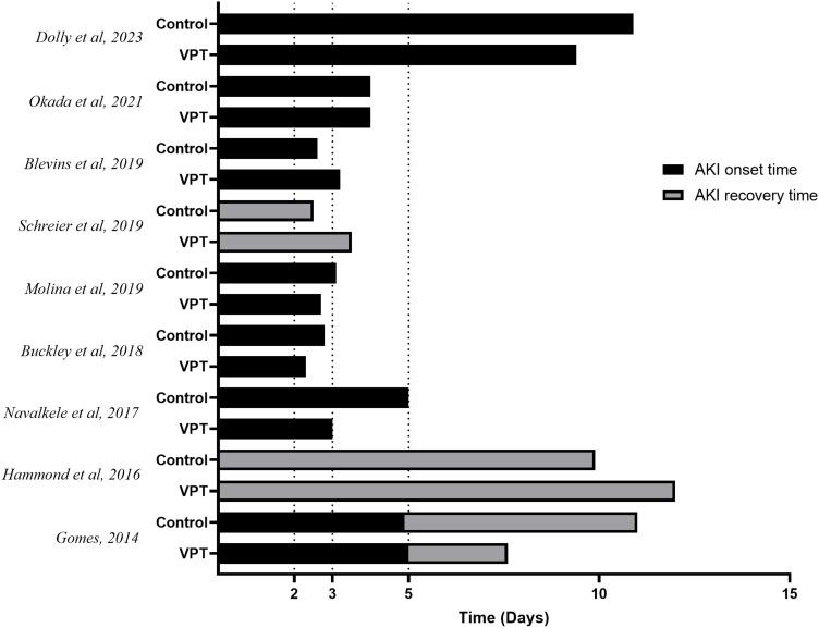
In recent years, the increased use of vancomycin (VAN) in combination with piperacillin-tazobactam (TZP) has raised significant concerns in clinical practice regarding the heightened risk of acute kidney injury (AKI). This topic has become a focal point in clinical therapeutics due to the widespread application of VAN alongside TZP. The specific mechanisms underlying vancomycin and piperacillin-tazobactam (VPT) associated AKI remain unclear. In this review, we discuss several controversial or underexplored aspects of current research. While the majority of literature links VPT to an elevated risk of AKI, numerous studies present conflicting outcomes. Mechanisms proposed for the increased risk of AKI associated with VPT, based on clinical observations and animal studies, include additive toxic effects, increased VAN exposure due to concomitant use with TZP, exacerbated VAN-induced oxidative stress injury in proximal renal tubule by TZP, pseudo-nephrotoxicity mediated by VPT-induced impaired creatinine secretion, or a combination of the aforementioned mechanisms. Additionally, this review outlines potential strategies that might effectively mitigate the risk of VPT-induced AKI, offering insights and future implications in the realm of pharmacovigilance.

摘要

近年来,万古霉素(VAN)与哌拉西林 - 他唑巴坦(TZP)联合使用的增加在临床实践中引发了对急性肾损伤(AKI)风险升高的重大担忧。由于万古霉素与哌拉西林 - 他唑巴坦的广泛应用,这一话题已成为临床治疗的焦点。万古霉素和哌拉西林 - 他唑巴坦(VPT)相关急性肾损伤的具体机制仍不清楚。在本综述中,我们讨论了当前研究中几个存在争议或未充分探索的方面。虽然大多数文献将VPT与急性肾损伤风险升高联系起来,但许多研究呈现出相互矛盾的结果。基于临床观察和动物研究提出的与VPT相关的急性肾损伤风险增加的机制包括累加毒性作用、因与TZP联合使用导致万古霉素暴露增加、TZP加剧万古霉素诱导的近端肾小管氧化应激损伤、VPT诱导的肌酐分泌受损介导的假性肾毒性,或上述机制的组合。此外,本综述概述了可能有效降低VPT诱导的急性肾损伤风险的潜在策略,为药物警戒领域提供了见解和未来启示。

https://cdn.ncbi.nlm.nih.gov/pmc/blobs/b0a1/12433233/8b3abe1fc4e4/DDDT-19-7947-g0001.jpg

文献检索

告别复杂PubMed语法,用中文像聊天一样搜索,搜遍4000万医学文献。AI智能推荐,让科研检索更轻松。

立即免费搜索

文件翻译

保留排版,准确专业,支持PDF/Word/PPT等文件格式,支持 12+语言互译。

免费翻译文档

深度研究

AI帮你快速写综述,25分钟生成高质量综述,智能提取关键信息,辅助科研写作。

立即免费体验