Suppr超能文献

通过包封于β-环糊精中来提高5-氟尿嘧啶的溶解度,以控制青光眼手术中纤维母细胞的生长。

Enhancement of the solubility of 5-fluorouracil through encapsulation within β-cyclodextrin to control fibroblast growth in glaucoma surgery.

作者信息

Machado Mónica, Silva Gabriela A, Ferreira Joana, Pinto Luis A, Ferreira Quirina

机构信息

Gene Therapy Lab, iNOVA4Health, NOVA Medical School, Universidade Nova de Lisboa Campo Mártires da Pátria 130 Lisboa Portugal

Ophthalmology Department, Unidade Local de Saúde Santa Maria Av. Prof. Egas Moniz MB 1649-028 Lisboa Portugal.

出版信息

RSC Adv. 2025 Sep 15;15(40):33522-33530. doi: 10.1039/d5ra03005f. eCollection 2025 Sep 11.

Abstract

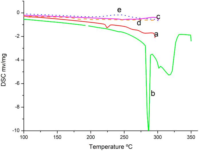
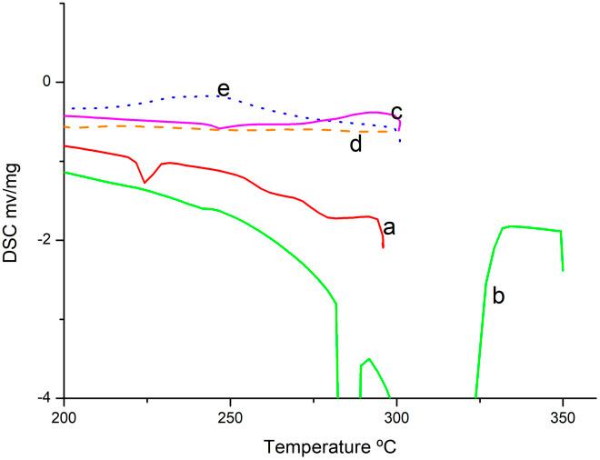
5-Fluorouracil (5-FU) is an antimetabolite agent used in chemotherapy and wound healing management, with low solubility and bioavailability. To overcome these challenges, this study explores the encapsulation of 5-FU within β-cyclodextrin (β-CD). The inclusion complex was prepared using the solubilization process, and its stability was evaluated under a variety of light, temperature, and pH environments. The complex was integrated into a drug delivery system using a layer-by-layer (LBL) technique, and the 5-FU release kinetics in a phosphate-buffered saline solution (PBS) were monitored using ultraviolet-visible spectroscopy (UV-Vis). Atomic force microscopy (AFM), UV-Vis spectroscopy, thin-layer chromatography (TLC) and differential scanning calorimetry (DSC) were used to improve the conditions for encapsulating 5-FU in the β-CD cavity and to study the stability of the inclusion complex under different light, temperature and pH conditions. The results show that encapsulation promotes the solubility of the drug, with increased absorbance intensity at a 1 : 1 molar ratio in a basic solution. The β-CD:5-FU complex was perfectly incorporated into a drug delivery system with controlled drug release over time.

摘要

5-氟尿嘧啶(5-FU)是一种用于化疗和伤口愈合管理的抗代谢药物,其溶解度和生物利用度较低。为了克服这些挑战,本研究探索了将5-FU包封于β-环糊精(β-CD)中。采用增溶法制备了包合物,并在多种光照、温度和pH环境下评估了其稳定性。使用层层(LBL)技术将该包合物整合到药物递送系统中,并使用紫外可见光谱(UV-Vis)监测其在磷酸盐缓冲盐水溶液(PBS)中的5-FU释放动力学。利用原子力显微镜(AFM)、紫外可见光谱、薄层色谱(TLC)和差示扫描量热法(DSC)来优化5-FU在β-CD空腔中的包封条件,并研究包合物在不同光照、温度和pH条件下的稳定性。结果表明,包封提高了药物的溶解度,在碱性溶液中1:1摩尔比时吸光度强度增加。β-CD:5-FU包合物完美地整合到了一个药物递送系统中,药物释放随时间得到控制。

https://cdn.ncbi.nlm.nih.gov/pmc/blobs/6a79/12434466/ef8483cfb37d/d5ra03005f-f1.jpg

文献检索

告别复杂PubMed语法,用中文像聊天一样搜索,搜遍4000万医学文献。AI智能推荐,让科研检索更轻松。

立即免费搜索

文件翻译

保留排版,准确专业,支持PDF/Word/PPT等文件格式,支持 12+语言互译。

免费翻译文档

深度研究

AI帮你快速写综述,25分钟生成高质量综述,智能提取关键信息,辅助科研写作。

立即免费体验