Suppr超能文献

Employing complementary fractionation-based N-terminomics approaches enhances the identification of legumain cleavage events in naïve and inflamed colon tissue.

作者信息

Ziegler Alexander R, Parker Benjamin L, Scott Nichollas E, Edgington-Mitchell Laura E

机构信息

Department of Biochemistry and Pharmacology, Bio21 Molecular Science and Biotechnology Institute, The University of Melbourne, Parkville, Victoria, Australia.

Department of Anatomy and Physiology, Medical Building 181, The University of Melbourne, Parkville, Victoria, Australia.

出版信息

Protein Sci. 2025 Oct;34(10):e70186. doi: 10.1002/pro.70186.

Abstract

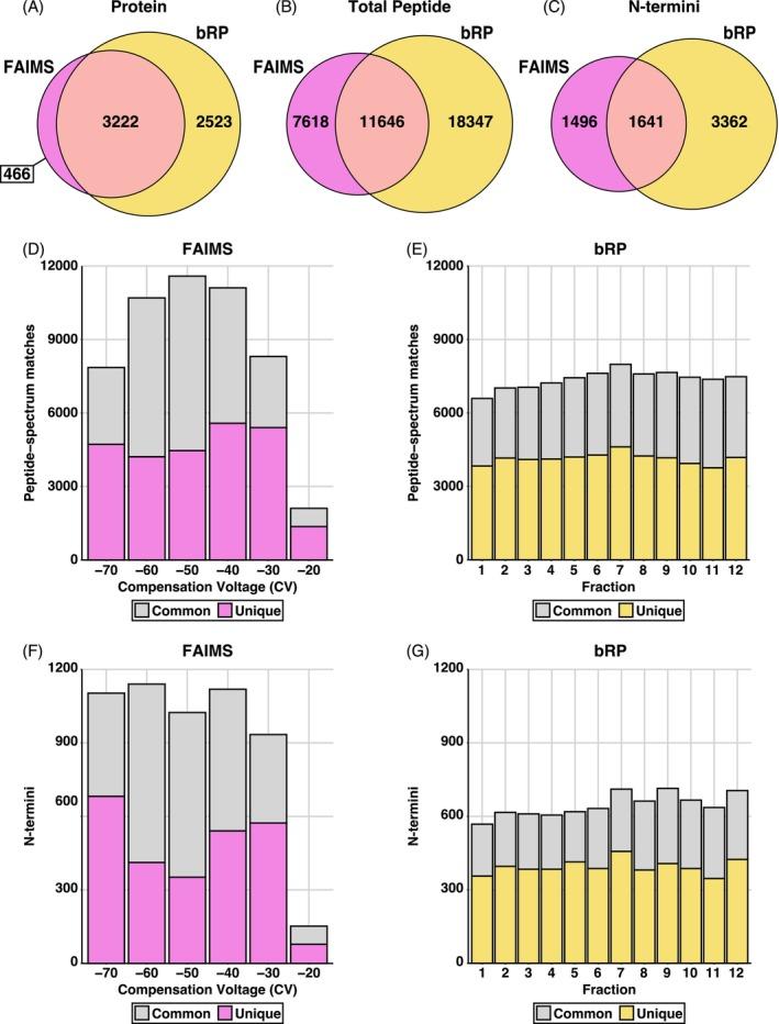
The mammalian lysosomal protease legumain is often dysregulated in pathophysiological conditions including inflammation, neurodegeneration, and cancer, yet its proteolytic targets are poorly defined. To profile protease substrates, degradomics techniques typically employ enrichment strategies to select for sub-stoichiometric and low-abundance peptides generated by proteolytic cleavage. However, recent advancements in degradomics techniques have revealed N-termini enrichment can be circumvented if peptide-based fractionation is employed, enabling simultaneous proteome and N-terminome analysis. Herein, we compare the previously published enrichment-free N-terminomics approach using high-field asymmetric waveform ion mobility spectrometry (FAIMS) to offline basic reverse-phase (bRP) fractionation to assess the complementarity of these fractionation methods for simultaneous proteomic and degradomic analyses. While at the protein level FAIMS and bRP provide access to overlapping proteomic coverage, at the N-terminus level each fractionation technique reveals unique cleavage information. Combining data from the two fractionation approaches revealed 6499 N-terminal peptides with N-terminal TMTpro labeling, allowing the identification of cleavage events modulated in the context of legumain deficiency in naïve murine colons and during dextran sulfate sodium (DSS)-induced colitis. Among these N-termini, we identify 35 putative legumain substrates in naïve and 41 in the DSS-treated colons, supporting a role for legumain in both pro-inflammatory and physiological conditions. Use of an additional negative selection method, High-efficiency Undecanal-based N-Termini EnRichment (HUNTER), further supplements this list of identified legumain substrates. Combined, this study identifies multiple putative substrates of legumain in healthy and inflamed murine colons as well as demonstrates the utility of using complementary fractionation approaches for degradomics studies.

摘要
https://cdn.ncbi.nlm.nih.gov/pmc/blobs/acb9/12447244/1a0ce7be8127/PRO-34-e70186-g004.jpg

相似文献

2
Ion Mobility-Based Enrichment-Free N-Terminomics Analysis Reveals Novel Legumain Substrates in Murine Spleen.
Mol Cell Proteomics. 2024 Feb;23(2):100714. doi: 10.1016/j.mcpro.2024.100714. Epub 2024 Jan 8.
4
N-terminomics profiling of naïve and inflamed murine colon reveals proteolytic signatures of legumain.
J Cell Physiol. 2025 Jan;240(1):e31466. doi: 10.1002/jcp.31466. Epub 2024 Oct 11.
9
Management of urinary stones by experts in stone disease (ESD 2025).
Arch Ital Urol Androl. 2025 Jun 30;97(2):14085. doi: 10.4081/aiua.2025.14085.

本文引用的文献

1
N-terminomics profiling of naïve and inflamed murine colon reveals proteolytic signatures of legumain.
J Cell Physiol. 2025 Jan;240(1):e31466. doi: 10.1002/jcp.31466. Epub 2024 Oct 11.
3
TermineR: Extracting information on endogenous proteolytic processing from shotgun proteomics data.
Proteomics. 2024 Oct;24(19):e2300491. doi: 10.1002/pmic.202300491. Epub 2024 Aug 10.
6
Ion Mobility-Based Enrichment-Free N-Terminomics Analysis Reveals Novel Legumain Substrates in Murine Spleen.
Mol Cell Proteomics. 2024 Feb;23(2):100714. doi: 10.1016/j.mcpro.2024.100714. Epub 2024 Jan 8.
8
SRplot: A free online platform for data visualization and graphing.
PLoS One. 2023 Nov 9;18(11):e0294236. doi: 10.1371/journal.pone.0294236. eCollection 2023.
9
An N terminomics toolbox combining 2-pyridinecarboxaldehyde probes and click chemistry for profiling protease specificity.
Cell Chem Biol. 2024 Mar 21;31(3):534-549.e8. doi: 10.1016/j.chembiol.2023.09.009. Epub 2023 Oct 9.
10
Sensitive and High-Throughput Exploration of Protein N-Termini by TMT-TAILS N-Terminomics.
Methods Mol Biol. 2023;2718:111-135. doi: 10.1007/978-1-0716-3457-8_7.

文献AI研究员

20分钟写一篇综述,助力文献阅读效率提升50倍。

立即体验

用中文搜PubMed

大模型驱动的PubMed中文搜索引擎

马上搜索

文档翻译

学术文献翻译模型,支持多种主流文档格式。

立即体验