Suppr超能文献

是否有胎儿-母体心率同步的证据?

Is there evidence of fetal-maternal heart rate synchronization?

作者信息

Van Leeuwen Peter, Geue Daniel, Lange Silke, Cysarz Dirk, Bettermann Henrik, Grönemeyer Dietrich H W

机构信息

Department of Biomagnetism, Research and Development Center for Microtherapy (EFMT), Bochum, D-44799 Germany.

出版信息

BMC Physiol. 2003 Apr 17;3:2. doi: 10.1186/1472-6793-3-2.

Abstract

BACKGROUND

The prenatal condition offers a unique possibility of examining physiological interaction between individuals. Goal of this work was to look for evidence of coordination between fetal and maternal cardiac systems.

METHODS

177 magnetocardiograms were recorded in 62 pregnancies (16th-42nd week of gestation). Fetal and maternal RR interval time series were constructed and the phases, i.e. the timing of the R peaks of one time series in relation to each RR interval of the other were determined. The distributions of these phases were examined and synchrograms were constructed for real and surrogate pairs of fetal and maternal data sets. Synchronization epochs were determined for defined n:m coupling ratios.

RESULTS

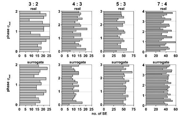
Differences between real and surrogate data could not be found with respect to number of synchronization epochs found (712 vs. 741), gestational age, subject, recording or n:m combination. There was however a preference for the occurrence of synchronization epochs in specific phases in real data not apparent in the surrogate for some n:m combinations.

CONCLUSION

The results suggest that occasional coupling between fetal and maternal cardiac systems does occur.

摘要

背景

产前状况为研究个体间生理相互作用提供了独特的可能性。本研究的目的是寻找胎儿和母亲心脏系统之间协调性的证据。

方法

在62例妊娠(妊娠16至42周)中记录了177份心磁图。构建胎儿和母亲的RR间期时间序列,并确定相位,即一个时间序列的R波峰相对于另一个时间序列的每个RR间期的时间。检查这些相位的分布,并为胎儿和母亲数据集的真实和替代对构建同步图。针对定义的n:m耦合比确定同步期。

结果

在发现的同步期数量(712对741)、孕周、受试者、记录或n:m组合方面,未发现真实数据和替代数据之间存在差异。然而,对于某些n:m组合,真实数据中特定相位出现同步期的情况比替代数据更明显。

结论

结果表明胎儿和母亲心脏系统之间确实偶尔会发生耦合。

https://cdn.ncbi.nlm.nih.gov/pmc/blobs/5951/156603/094a1814f9d5/1472-6793-3-2-1.jpg

文献AI研究员

20分钟写一篇综述,助力文献阅读效率提升50倍。

立即体验

用中文搜PubMed

大模型驱动的PubMed中文搜索引擎

马上搜索

文档翻译

学术文献翻译模型,支持多种主流文档格式。

立即体验