Suppr超能文献

恶性疟原虫氯喹抗性转运蛋白的多态性将维拉帕米增强氯喹敏感性与阿莫地喹的临床疗效联系起来。

Polymorphism in the Plasmodium falciparum chloroquine-resistance transporter protein links verapamil enhancement of chloroquine sensitivity with the clinical efficacy of amodiaquine.

作者信息

Warhurst David C

机构信息

HPA Malaria Reference Laboratory, Pathogen Molecular Biology and Biochemistry Unit, Department of Infectious and Tropical Diseases, London School of Hygiene and Tropical Medicine, London WC1E 7HT.

出版信息

Malar J. 2003 Sep 19;2:31. doi: 10.1186/1475-2875-2-31.

Abstract

BACKGROUND

Chloroquine accumulates in the acidic digestive vacuole of the intraerythrocytic malaria parasite, and prevents the detoxication of haematin released during haemoglobin digestion. Changes in protein PfCRT in the digestive vacuole membrane of growing intra-erythrocytic stages of Plasmodium falciparum are crucial for resistance. Expressed in yeast, PfCRT resembles an anion channel. Depressed anion channel function could increase intralysosomal pH to reduce entry of basic drug, or enhanced function could reduce drug interaction with target haematin. The most important resistance-associated change is from positively-charged lysine-76 to neutral threonine which could facilitate drug efflux through a putative channel. It has been proposed that the resistance-reversing effect of verapamil is due to hydrophobic binding to the mutated PfCRT protein, and replacement of the lost positive charge, which repels the access of 4-aminoquinoline cations, thus partially restoring sensitivity. Desethylamodiaquine, the active metabolite of amodiaquine, which has significant activity in chloroquine-resistance, may also act similarly on its own.

METHODS

Changes in physicochemical parameters in different CQ-resistant PfCRT sequences are analysed, and correlations with drug activity on lines transfected with different alleles of the pfcrt gene are examined.

RESULTS AND CONCLUSIONS

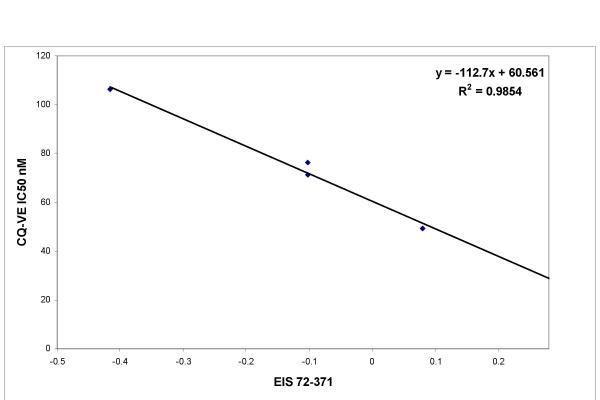
The results support the idea that PfCRT is a channel which, in resistant parasites, can allow efflux of chloroquine from the digestive vacuole. Activity of the chloroquine/verapamil combination and of desethylamodiaquine both correlate with the mean hydrophobicity of PfCRT residues 72-76. This may partly explain clinical-resistance to amodiaquine found in the first chloroquine-resistant malaria cases from South America and enables tentative prediction of amodiaquine's clinical activity against novel haplotypes of PfCRT.

摘要

背景

氯喹积聚在红细胞内疟原虫的酸性消化泡中,并阻止血红蛋白消化过程中释放的血红素解毒。恶性疟原虫红细胞内生长阶段消化泡膜中蛋白质PfCRT的变化对于耐药性至关重要。PfCRT在酵母中表达时类似于阴离子通道。阴离子通道功能降低可能会增加溶酶体内pH值以减少碱性药物的进入,或者功能增强可能会减少药物与靶血红素的相互作用。最重要的耐药相关变化是从带正电荷的赖氨酸-76变为中性苏氨酸,这可能促进药物通过假定通道流出。有人提出,维拉帕米的耐药逆转作用是由于其与突变的PfCRT蛋白发生疏水结合,并取代了失去的正电荷,该正电荷排斥4-氨基喹啉阳离子的进入,从而部分恢复敏感性。阿莫地喹的活性代谢产物去乙基阿莫地喹在氯喹耐药方面具有显著活性,其作用方式可能与之相似。

方法

分析不同氯喹耐药PfCRT序列中的物理化学参数变化,并研究其与转染了pfcrt基因不同等位基因的细胞系上药物活性的相关性。

结果与结论

结果支持以下观点,即PfCRT是一种通道,在耐药寄生虫中,它可以使氯喹从消化泡中流出。氯喹/维拉帕米组合以及去乙基阿莫地喹的活性均与PfCRT第72-76位残基的平均疏水性相关。这可能部分解释了在南美洲首例氯喹耐药疟疾病例中发现的对阿莫地喹的临床耐药性,并能够初步预测阿莫地喹对PfCRT新单倍型的临床活性。

https://cdn.ncbi.nlm.nih.gov/pmc/blobs/3881/269985/ebc30771304a/1475-2875-2-31-1.jpg

文献检索

告别复杂PubMed语法,用中文像聊天一样搜索,搜遍4000万医学文献。AI智能推荐,让科研检索更轻松。

立即免费搜索

文件翻译

保留排版,准确专业,支持PDF/Word/PPT等文件格式,支持 12+语言互译。

免费翻译文档

深度研究

AI帮你快速写综述,25分钟生成高质量综述,智能提取关键信息,辅助科研写作。

立即免费体验