• 文献检索
  • 文档翻译
  • 深度研究
  • 学术资讯
  • Suppr Zotero 插件Zotero 插件
  • 邀请有礼
  • 套餐&价格
  • 历史记录
应用&插件
Suppr Zotero 插件Zotero 插件浏览器插件Mac 客户端Windows 客户端微信小程序
定价
高级版会员购买积分包购买API积分包
服务
文献检索文档翻译深度研究API 文档MCP 服务
关于我们
关于 Suppr公司介绍联系我们用户协议隐私条款
关注我们

Suppr 超能文献

核心技术专利:CN118964589B侵权必究
粤ICP备2023148730 号-1Suppr @ 2026

文献检索

告别复杂PubMed语法,用中文像聊天一样搜索,搜遍4000万医学文献。AI智能推荐,让科研检索更轻松。

立即免费搜索

文件翻译

保留排版,准确专业,支持PDF/Word/PPT等文件格式,支持 12+语言互译。

免费翻译文档

深度研究

AI帮你快速写综述,25分钟生成高质量综述,智能提取关键信息,辅助科研写作。

立即免费体验

通过半胱氨酸突变增强μ阿片受体的自发活性:反向激动剂筛选工具的特性研究

Enhanced spontaneous activity of the mu opioid receptor by cysteine mutations: characterization of a tool for inverse agonist screening.

作者信息

Brillet Karl, Kieffer Brigitte L, Massotte Dominique

机构信息

Département des Récepteurs et Protéines Membranaires, UPR 9050, Ecole Supérieure de Biotechnologie de Strasbourg, F-67400 Illkirch-Graffenstaden, France.

出版信息

BMC Pharmacol. 2003 Dec 1;3:14. doi: 10.1186/1471-2210-3-14.

DOI:10.1186/1471-2210-3-14
PMID:14641935
原文链接:https://pmc.ncbi.nlm.nih.gov/articles/PMC317294/
Abstract

BACKGROUND

The concept of spontaneous- or constitutive-activity has become widely accepted and verified for numerous G protein-coupled receptors and this ligand-independent activity is also acknowledged to play a role in some pathologies. Constitutive activity has been reported for the mu opioid receptor. In some cases the increase in receptor basal activity was induced by chronic morphine administration suggesting that constitutive activity may contribute to the development of drug tolerance and dependence. Constitutively active mutants represent excellent tools for gathering information about the mechanisms of receptor activation and the possible physiological relevance of spontaneous receptor activity. The high basal level of activity of these mutants also allows for easier identification of inverse agonists, defined as ligands able to suppress spontaneous receptor activity, and leads to a better comprehension of their modulatory effects as well as possible in vivo use.

RESULTS

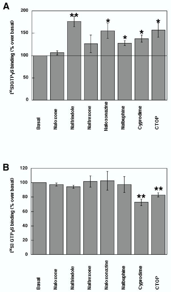
Cysteines 348 and 353 of the human mu opioid receptor (hMOR) were mutated into alanines and Ala348,353 hMOR was stably expressed in HEK 293 cells. [35S] GTPgammaS binding experiments revealed that Ala348,353 hMOR basal activity was significantly higher when compared to hMOR, suggesting that the mutant receptor is constitutively active. [35S] GTPgammaS binding was decreased by cyprodime or CTOP indicating that both ligands have inverse agonist properties. All tested agonists exhibited binding affinities higher for Ala348,353 hMOR than for hMOR, with the exception of endogenous opioid peptides. Antagonist affinity remained virtually unchanged except for CTOP and cyprodime that bound the double mutant with higher affinities. The agonists DAMGO and morphine showed enhanced potency for the Ala348,353 hMOR receptor in [35S] GTPgammaS experiments. Finally, pretreatment with the antagonists naloxone, cyprodime or CTOP significantly increased Ala348,353 hMOR expression.

CONCLUSION

Taken together our data indicate that the double C348/353A mutation results in a constitutively active conformation of hMOR that is still activated by agonists. This is the first report of a stable CAM of hMOR with the potential to screen for inverse agonists.

摘要

背景

自发活性或组成性活性的概念已被广泛接受并在众多G蛋白偶联受体中得到验证,这种不依赖配体的活性也被认为在某些病理过程中起作用。已报道μ阿片受体存在组成性活性。在某些情况下,慢性给予吗啡可诱导受体基础活性增加,这表明组成性活性可能有助于药物耐受性和依赖性的发展。组成性活性突变体是获取有关受体激活机制及自发受体活性可能的生理相关性信息的优秀工具。这些突变体的高基础活性水平也便于更容易地鉴定反向激动剂,反向激动剂定义为能够抑制自发受体活性的配体,并有助于更好地理解其调节作用以及可能的体内应用。

结果

将人μ阿片受体(hMOR)的半胱氨酸348和353突变为丙氨酸,Ala348,353 hMOR在HEK 293细胞中稳定表达。[35S]GTPγS结合实验表明,与hMOR相比,Ala348,353 hMOR的基础活性显著更高,表明突变受体具有组成性活性。赛庚啶或CTOP可降低[35S]GTPγS结合,表明这两种配体均具有反向激动剂特性。除内源性阿片肽外,所有测试的激动剂对Ala348,353 hMOR的结合亲和力均高于对hMOR的结合亲和力。拮抗剂亲和力基本保持不变,但CTOP和赛庚啶与双突变体的结合亲和力更高。在[35S]GTPγS实验中,激动剂DAMGO和吗啡对Ala348,353 hMOR受体的效力增强。最后,用拮抗剂纳洛酮、赛庚啶或CTOP预处理可显著增加Ala348,353 hMOR的表达。

结论

综合我们的数据表明,双C348/353A突变导致hMOR形成组成性活性构象,该构象仍可被激动剂激活。这是关于具有筛选反向激动剂潜力的hMOR稳定组成性活性突变体的首次报道。

https://cdn.ncbi.nlm.nih.gov/pmc/blobs/391b/317294/96a64d7a00ff/1471-2210-3-14-4.jpg
https://cdn.ncbi.nlm.nih.gov/pmc/blobs/391b/317294/ff336fe8e773/1471-2210-3-14-1.jpg
https://cdn.ncbi.nlm.nih.gov/pmc/blobs/391b/317294/b020bd5c83bc/1471-2210-3-14-2.jpg
https://cdn.ncbi.nlm.nih.gov/pmc/blobs/391b/317294/401249aef73d/1471-2210-3-14-3.jpg
https://cdn.ncbi.nlm.nih.gov/pmc/blobs/391b/317294/96a64d7a00ff/1471-2210-3-14-4.jpg
https://cdn.ncbi.nlm.nih.gov/pmc/blobs/391b/317294/ff336fe8e773/1471-2210-3-14-1.jpg
https://cdn.ncbi.nlm.nih.gov/pmc/blobs/391b/317294/b020bd5c83bc/1471-2210-3-14-2.jpg
https://cdn.ncbi.nlm.nih.gov/pmc/blobs/391b/317294/401249aef73d/1471-2210-3-14-3.jpg
https://cdn.ncbi.nlm.nih.gov/pmc/blobs/391b/317294/96a64d7a00ff/1471-2210-3-14-4.jpg

相似文献

1
Enhanced spontaneous activity of the mu opioid receptor by cysteine mutations: characterization of a tool for inverse agonist screening.通过半胱氨酸突变增强μ阿片受体的自发活性:反向激动剂筛选工具的特性研究
BMC Pharmacol. 2003 Dec 1;3:14. doi: 10.1186/1471-2210-3-14.
2
Functional role of a conserved motif in TM6 of the rat mu opioid receptor: constitutively active and inactive receptors result from substitutions of Thr6.34(279) with Lys and Asp.大鼠μ阿片受体TM6中一个保守基序的功能作用:组成型活性和非活性受体源于Thr6.34(279)被Lys和Asp取代。
Biochemistry. 2001 Nov 13;40(45):13501-9. doi: 10.1021/bi010917q.
3
Chronic agonist treatment converts antagonists into inverse agonists at delta-opioid receptors.慢性激动剂治疗可使拮抗剂在δ-阿片受体处转变为反向激动剂。
J Pharmacol Exp Ther. 2002 Sep;302(3):1070-9. doi: 10.1124/jpet.102.035964.
4
Stimulation of guanosine-5'-o-(3-[35S]thio)triphosphate binding in digitonin-permeabilized C6 rat glioma cells: evidence for an organized association of mu-opioid receptors and G protein.洋地黄皂苷通透的C6大鼠胶质瘤细胞中鸟苷-5'-O-(3-[35S]硫代)三磷酸结合的刺激:μ-阿片受体与G蛋白有序结合的证据
J Pharmacol Exp Ther. 2001 Jul;298(1):116-21.
5
Modulation by mu-opioid agonists of guanosine-5'-O-(3-[35S]thio)triphosphate binding to membranes from human neuroblastoma SH-SY5Y cells.μ阿片样激动剂对鸟苷-5'-O-(3-[35S]硫代)三磷酸与人神经母细胞瘤SH-SY5Y细胞膜结合的调节作用。
Mol Pharmacol. 1995 Apr;47(4):848-54.
6
Basal signaling activity of mu opioid receptor in mouse brain: role in narcotic dependence.小鼠脑中μ阿片受体的基础信号活性:在麻醉依赖性中的作用。
J Pharmacol Exp Ther. 2004 Feb;308(2):512-20. doi: 10.1124/jpet.103.054049. Epub 2003 Nov 4.
7
Inverse agonists and neutral antagonists at mu opioid receptor (MOR): possible role of basal receptor signaling in narcotic dependence.μ阿片受体(MOR)的反向激动剂和中性拮抗剂:基础受体信号传导在麻醉品依赖中的可能作用
J Neurochem. 2001 Jun;77(6):1590-600. doi: 10.1046/j.1471-4159.2001.00362.x.
8
Comparison of [Dmt1]DALDA and DAMGO in binding and G protein activation at mu, delta, and kappa opioid receptors.[二甲基色胺转运体1](Dmt1)DALDA与DAMGO在μ、δ和κ阿片受体结合及G蛋白激活方面的比较。
J Pharmacol Exp Ther. 2003 Dec;307(3):947-54. doi: 10.1124/jpet.103.054775. Epub 2003 Oct 8.
9
Coupling efficacy and selectivity of the human mu-opioid receptor expressed as receptor-Galpha fusion proteins in Escherichia coli.在大肠杆菌中表达为受体-Gα融合蛋白的人μ-阿片受体的偶联效率和选择性
J Neurochem. 2000 Sep;75(3):1190-9. doi: 10.1046/j.1471-4159.2000.0751190.x.
10
Mu-opioid receptor specific antagonist cyprodime: characterization by in vitro radioligand and [35S]GTPgammaS binding assays.μ-阿片受体特异性拮抗剂赛普罗定:通过体外放射性配体和[35S]GTPγS结合试验进行表征
Eur J Pharmacol. 1999 Oct 27;383(2):209-14. doi: 10.1016/s0014-2999(99)00610-x.

引用本文的文献

1
TRPV1 is a physiological regulator of μ-opioid receptors.辣椒素受体 TRPV1 是 μ 阿片受体的生理调节剂。
Proc Natl Acad Sci U S A. 2017 Dec 19;114(51):13561-13566. doi: 10.1073/pnas.1717005114. Epub 2017 Dec 4.
2
The opioid receptor pharmacology of GSK1521498 compared to other ligands with differential effects on compulsive reward-related behaviours.与对强迫性奖赏相关行为有不同影响的其他配体相比,GSK1521498的阿片受体药理学。
Psychopharmacology (Berl). 2015 Jan;232(1):305-14. doi: 10.1007/s00213-014-3666-3. Epub 2014 Jun 29.
3
Analgesic tone conferred by constitutively active mu opioid receptors in mice lacking β-arrestin 2.

本文引用的文献

1
Opioid receptor random mutagenesis reveals a mechanism for G protein-coupled receptor activation.阿片受体随机诱变揭示了G蛋白偶联受体激活的机制。
Nat Struct Biol. 2003 Aug;10(8):629-36. doi: 10.1038/nsb950.
2
Rescuing the traffic-deficient mutants of rat mu-opioid receptors with hydrophobic ligands.用疏水性配体拯救大鼠μ-阿片受体的交通缺陷型突变体。
Mol Pharmacol. 2003 Jul;64(1):32-41. doi: 10.1124/mol.64.1.32.
3
Control of signalling efficacy by palmitoylation of the rat Y1 receptor.大鼠Y1受体的棕榈酰化对信号传导效能的调控
在缺乏β-arrestin 2 的小鼠中,组成型激活的μ阿片受体赋予镇痛作用。
Mol Pain. 2011 Apr 12;7:24. doi: 10.1186/1744-8069-7-24.
4
The role of N53Q mutation on the rat mu-opioid receptor function.N53Q突变对大鼠μ-阿片受体功能的作用。
J Biomol Tech. 2010 Jul;21(2):92-6.
5
Shared mechanisms for opioid tolerance and a transition to chronic pain.阿片类药物耐受和向慢性疼痛转变的共同机制。
J Neurosci. 2010 Mar 31;30(13):4660-6. doi: 10.1523/JNEUROSCI.5530-09.2010.
6
Neutral antagonist activity of naltrexone and 6beta-naltrexol in naïve and opioid-dependent C6 cells expressing a mu-opioid receptor.纳曲酮和6β-纳曲醇在表达μ阿片受体的未接触过阿片类药物及阿片类药物依赖的C6细胞中的中性拮抗活性。
Br J Pharmacol. 2009 Apr;156(7):1044-53. doi: 10.1111/j.1476-5381.2008.00035.x. Epub 2009 Feb 13.
7
Post-activation-mediated changes in opioid receptors detected by N-terminal antibodies.通过N端抗体检测到的阿片受体激活后介导的变化。
J Biol Chem. 2008 Apr 18;283(16):10735-44. doi: 10.1074/jbc.M709454200. Epub 2008 Feb 6.
8
Methamphetamine-induced behavioral sensitization in mice: alterations in mu-opioid receptor.甲基苯丙胺诱导的小鼠行为敏化:μ-阿片受体的改变
J Biomed Sci. 2006 Nov;13(6):797-811. doi: 10.1007/s11373-006-9102-x. Epub 2006 Jul 18.
9
Opioid antagonists differ according to negative intrinsic efficacy in a mouse model of acute dependence.在急性依赖性小鼠模型中,阿片类拮抗剂根据负性内在活性而有所不同。
Br J Pharmacol. 2005 Aug;145(7):975-83. doi: 10.1038/sj.bjp.0706247.
10
Preservation of eumelanin hair pigmentation in proopiomelanocortin-deficient mice on a nonagouti (a/a) genetic background.在非刺鼠(a/a)遗传背景下,促肾上腺皮质激素原缺乏小鼠中真黑素毛发色素沉着的保留。
Endocrinology. 2005 Mar;146(3):1245-53. doi: 10.1210/en.2004-0733. Epub 2004 Nov 24.
Br J Pharmacol. 2003 Jun;139(3):501-12. doi: 10.1038/sj.bjp.0705276.
4
Agonists activate Gi1 alpha or Gi2 alpha fused to the human mu opioid receptor differently.激动剂对与人μ阿片受体融合的Gi1α或Gi2α的激活方式不同。
J Neurochem. 2002 Jun;81(6):1372-82. doi: 10.1046/j.1471-4159.2002.00946.x.
5
Mechanisms of inverse agonism at G-protein-coupled receptors.G蛋白偶联受体反向激动作用的机制。
Trends Pharmacol Sci. 2002 Feb;23(2):89-95. doi: 10.1016/s0165-6147(02)01993-4.
6
Constitutive internalization of constitutively active agiotensin II AT(1A) receptor mutants is blocked by inverse agonists.
J Biol Chem. 2002 Feb 22;277(8):5891-901. doi: 10.1074/jbc.M108398200. Epub 2001 Nov 29.
7
The 5-hydroxytryptamine(4a) receptor is palmitoylated at two different sites, and acylation is critically involved in regulation of receptor constitutive activity.5-羟色胺(4a)受体在两个不同位点发生棕榈酰化,并且酰化作用在受体组成型活性的调节中起关键作用。
J Biol Chem. 2002 Jan 25;277(4):2534-46. doi: 10.1074/jbc.M106529200. Epub 2001 Nov 12.
8
Functional role of a conserved motif in TM6 of the rat mu opioid receptor: constitutively active and inactive receptors result from substitutions of Thr6.34(279) with Lys and Asp.大鼠μ阿片受体TM6中一个保守基序的功能作用:组成型活性和非活性受体源于Thr6.34(279)被Lys和Asp取代。
Biochemistry. 2001 Nov 13;40(45):13501-9. doi: 10.1021/bi010917q.
9
Inverse agonist up-regulates the constitutively active D3.49(164)Q mutant of the rat mu-opioid receptor by stabilizing the structure and blocking constitutive internalization and down-regulation.
Mol Pharmacol. 2001 Nov;60(5):1064-75. doi: 10.1124/mol.60.5.1064.
10
Constitutive activation of the mu opioid receptor by mutation of D3.49(164), but not D3.32(147): D3.49(164) is critical for stabilization of the inactive form of the receptor and for its expression.
Biochemistry. 2001 Oct 9;40(40):12039-50. doi: 10.1021/bi0100945.