Forward D P, Cheung K L, Jackson L, Robertson J F R
Professorial Unit of Surgery, City Hospital, Hucknall Road, Nottingham NG5 1PB, UK.
Br J Cancer. 2004 Feb 9;90(3):590-4. doi: 10.1038/sj.bjc.6601557.
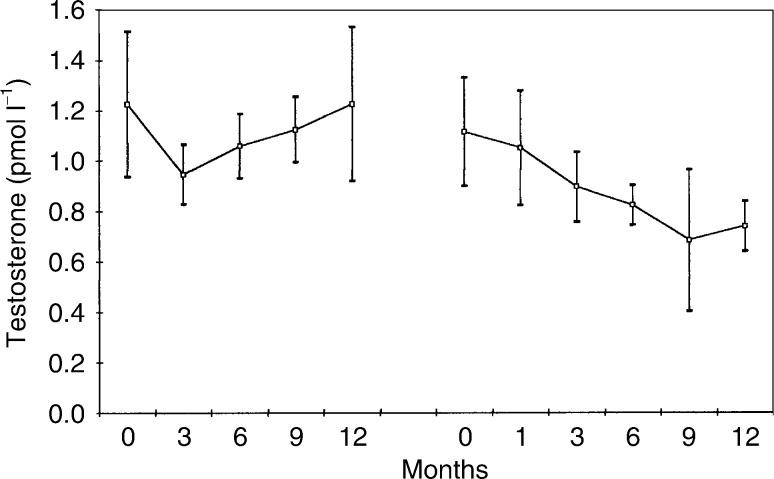
A total of 16 premenopausal women with metastatic breast cancer (N=13) or locally advanced primary breast cancer (N=3) were treated with a combination of a gonadotropin-releasing hormone agonist goserelin, and a selective aromatase inhibitor anastrozole. All had previously been treated with goserelin and tamoxifen. In all, 12 patients (75%) achieved objective response or durable stable disease at 6 months, with a median duration of remission of 17+ months (range 6-47 months). Four patients still have clinical benefit. Introduction of goserelin and tamoxifen resulted in an 89% reduction in mean oestradiol levels (pretreatment vs 6 months=224 vs 24 pmol l(-1)) (P<0.0001). Substitution of tamoxifen by anastrozole on progression resulted in a further 76% fall (to 6 pmol l(-1) at 3 months) (P<0.0001). Treatment with goserelin and tamoxifen led to a 90% fall in the mean follicle-stimulating hormone (P<0.001). This was reversed once therapy was changed to goserelin and anastrozole. A similar initial reduction was seen in the mean luteinising hormone levels, but substitution of tamoxifen by anastrozole on progression resulted in no significant change. Goserelin and tamoxifen did not lead to any significant change in testosterone and androstenedione levels. The combined use of goserelin and anastrozole as second-line endocrine therapy produces a significant clinical response of worthwhile duration, with demonstrable endocrine changes, in premenopausal women with advanced breast cancer, and offers them another therapeutic option. Further studies involving more patients and longer follow-up are indicated.
共有16名绝经前转移性乳腺癌患者(n = 13)或局部晚期原发性乳腺癌患者(n = 3)接受了促性腺激素释放激素激动剂戈舍瑞林与选择性芳香化酶抑制剂阿那曲唑联合治疗。所有患者此前均接受过戈舍瑞林和他莫昔芬治疗。总体而言,12例患者(75%)在6个月时达到客观缓解或疾病持久稳定,缓解持续时间中位数为17 +个月(范围6 - 47个月)。4例患者仍有临床获益。戈舍瑞林和他莫昔芬联合使用使平均雌二醇水平降低了89%(治疗前与6个月时分别为224与24 pmol l(-1))(P < 0.0001)。疾病进展时用阿那曲唑替代他莫昔芬导致平均雌二醇水平进一步下降76%(3个月时降至6 pmol l(-1))(P < 0. – 0001)。戈舍瑞林和他莫昔芬治疗使平均促卵泡激素水平下降了90%(P < 0.001)。治疗改为戈舍瑞林和阿那曲唑后,这一情况得到逆转。促黄体生成素平均水平也出现了类似的初始下降,但疾病进展时用阿那曲唑替代他莫昔芬后,促黄体生成素水平无显著变化。戈舍瑞林和他莫昔芬未导致睾酮和雄烯二酮水平出现任何显著变化。戈舍瑞林和阿那曲唑联合作为二线内分泌治疗,在绝经前晚期乳腺癌女性中产生了具有显著持续时间的临床反应,并伴有可证实的内分泌变化,为她们提供了另一种治疗选择。有必要开展涉及更多患者和更长随访期的进一步研究。