• 文献检索
  • 文档翻译
  • 深度研究
  • 学术资讯
  • Suppr Zotero 插件Zotero 插件
  • 邀请有礼
  • 套餐&价格
  • 历史记录
应用&插件
Suppr Zotero 插件Zotero 插件浏览器插件Mac 客户端Windows 客户端微信小程序
定价
高级版会员购买积分包购买API积分包
服务
文献检索文档翻译深度研究API 文档MCP 服务
关于我们
关于 Suppr公司介绍联系我们用户协议隐私条款
关注我们

Suppr 超能文献

核心技术专利:CN118964589B侵权必究
粤ICP备2023148730 号-1Suppr @ 2026

文献检索

告别复杂PubMed语法,用中文像聊天一样搜索,搜遍4000万医学文献。AI智能推荐,让科研检索更轻松。

立即免费搜索

文件翻译

保留排版,准确专业,支持PDF/Word/PPT等文件格式,支持 12+语言互译。

免费翻译文档

深度研究

AI帮你快速写综述,25分钟生成高质量综述,智能提取关键信息,辅助科研写作。

立即免费体验

妥布霉素和头孢他啶在猪内毒素休克中的内毒素中和及抗炎作用

Endotoxin neutralization and anti-inflammatory effects of tobramycin and ceftazidime in porcine endotoxin shock.

作者信息

Goscinski Gunilla, Lipcsey Miklos, Eriksson Mats, Larsson Anders, Tano Eva, Sjölin Jan

机构信息

Section of Infectious Diseases, Department of Medical Sciences, Uppsala University Hospital, Uppsala, Sweden.

出版信息

Crit Care. 2004 Feb;8(1):R35-41. doi: 10.1186/cc2415. Epub 2003 Dec 23.

DOI:10.1186/cc2415
PMID:14975053
原文链接:https://pmc.ncbi.nlm.nih.gov/articles/PMC420063/
Abstract

INTRODUCTION

Antibiotics used for treatment of severe bacterial infections have been shown to exert effects on the inflammatory response in addition to their antibacterial effects. The aim of the present study was to investigate whether the biological effects of endotoxin in a porcine model could be neutralized by tobramycin, and whether tobramycin or ceftazidime was able to modulate the inflammatory response.

METHOD

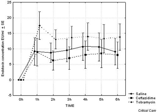
Thirteen piglets were subjected to endotoxin infusion at an initial rate of 4 microgram/kg per hour, which was reduced to 1 microgram/kg per hour after 30 min. Before endotoxin infusion, the animals received saline (n = 4), ceftazidime (n = 5), or tobramycin (n = 4) at clinically relevant doses. Physiological parameters were measured and blood samples were taken hourly for 6 hours for analysis of tumour necrosis factor-alpha, IL-6 and endotoxin concentrations.

RESULTS

All of the animals exhibited physiological signs of severe sepsis without major differences between the groups. Plasma endotoxin concentration was stable after 1 hour. There were no differences in endotoxin concentration or initial tumour necrosis factor-alpha and IL-6 concentrations between the groups. At 6 hours the IL-6 concentration was significantly lower in the ceftazidime group than in the saline group (P < 0.05), and in both the ceftazidime and the tobramycin groups there were significantly greater reductions from peak values (P < 0.05).

CONCLUSION

There was no neutralization of the biological effects of endotoxin in this porcine model. However, our data indicate a possible anti-inflammatory effect exerted by both ceftazidime and tobramycin, which manifested as a significantly greater reduction in IL-6 in comparison with the untreated group.

摘要

引言

用于治疗严重细菌感染的抗生素除了具有抗菌作用外,还显示出对炎症反应有影响。本研究的目的是调查妥布霉素是否能中和猪模型中内毒素的生物学效应,以及妥布霉素或头孢他啶是否能够调节炎症反应。

方法

13只仔猪以每小时4微克/千克的初始速率输注内毒素,30分钟后速率降至每小时1微克/千克。在内毒素输注前,动物接受临床相关剂量的生理盐水(n = 4)、头孢他啶(n = 5)或妥布霉素(n = 4)。测量生理参数,并每小时采集血样,持续6小时,以分析肿瘤坏死因子-α、白细胞介素-6和内毒素浓度。

结果

所有动物均表现出严重脓毒症的生理体征,各组之间无重大差异。1小时后血浆内毒素浓度稳定。各组在内毒素浓度或初始肿瘤坏死因子-α和白细胞介素-6浓度方面无差异。6小时时,头孢他啶组的白细胞介素-6浓度显著低于生理盐水组(P < 0.05),并且在头孢他啶组和妥布霉素组中,与峰值相比均有显著更大程度的降低(P < 0.05)。

结论

在该猪模型中,内毒素的生物学效应未被中和。然而,我们的数据表明头孢他啶和妥布霉素均可能具有抗炎作用,表现为与未治疗组相比,白细胞介素-6有显著更大程度的降低。

https://cdn.ncbi.nlm.nih.gov/pmc/blobs/9197/420063/7376a4234323/cc2415-3.jpg
https://cdn.ncbi.nlm.nih.gov/pmc/blobs/9197/420063/8c3e7c6bbb94/cc2415-1.jpg
https://cdn.ncbi.nlm.nih.gov/pmc/blobs/9197/420063/1905c399b9bd/cc2415-2.jpg
https://cdn.ncbi.nlm.nih.gov/pmc/blobs/9197/420063/7376a4234323/cc2415-3.jpg
https://cdn.ncbi.nlm.nih.gov/pmc/blobs/9197/420063/8c3e7c6bbb94/cc2415-1.jpg
https://cdn.ncbi.nlm.nih.gov/pmc/blobs/9197/420063/1905c399b9bd/cc2415-2.jpg
https://cdn.ncbi.nlm.nih.gov/pmc/blobs/9197/420063/7376a4234323/cc2415-3.jpg

相似文献

1
Endotoxin neutralization and anti-inflammatory effects of tobramycin and ceftazidime in porcine endotoxin shock.妥布霉素和头孢他啶在猪内毒素休克中的内毒素中和及抗炎作用
Crit Care. 2004 Feb;8(1):R35-41. doi: 10.1186/cc2415. Epub 2003 Dec 23.
2
Anti-inflammatory effects of the antibiotics ceftazidime and tobramycin in porcine endotoxin shock: are they really anti-inflammatory?抗生素头孢他啶和妥布霉素在猪内毒素休克中的抗炎作用:它们真的具有抗炎作用吗?
Crit Care. 2004 Apr;8(2):140; author reply 141. doi: 10.1186/cc2462. Epub 2004 Jan 30.
3
Continuous administration of PBP-2- and PBP-3-specific beta-lactams causes higher cytokine responses in murine Pseudomonas aeruginosa and Escherichia coli sepsis.持续给予针对PBP-2和PBP-3的β-内酰胺类药物会在小鼠铜绿假单胞菌和大肠杆菌败血症中引发更高的细胞因子反应。
J Antimicrob Chemother. 2007 May;59(5):926-33. doi: 10.1093/jac/dkm073. Epub 2007 Mar 29.
4
Effect of a single dose of tobramycin on systemic inflammatory response-induced acute kidney injury in a 6-hour porcine model.单次剂量妥布霉素对6小时猪模型中全身炎症反应诱导的急性肾损伤的影响。
Crit Care Med. 2009 Oct;37(10):2782-90. doi: 10.1097/CCM.0b013e3181a988f8.
5
Comparative effects of ciprofloxacin and ceftazidime on cytokine production in patients with severe sepsis caused by gram-negative bacteria.环丙沙星和头孢他啶对革兰氏阴性菌所致严重脓毒症患者细胞因子产生的比较效应
Antimicrob Agents Chemother. 2004 Aug;48(8):2793-8. doi: 10.1128/AAC.48.8.2793-2798.2004.
6
Dynamics of Endotoxin, Inflammatory Variables, and Organ Dysfunction After Treatment With Antibiotics in an Escherichia coli Porcine Intensive Care Sepsis Model.抗生素治疗大肠杆菌猪重症监护脓毒症模型后内毒素、炎症变量和器官功能障碍的动力学。
Crit Care Med. 2018 Jul;46(7):e634-e641. doi: 10.1097/CCM.0000000000003139.
7
Counteraction of early circulatory derangement by administration of low dose steroid treatment at the onset of established endotoxemic shock is not directly mediated by TNF-α and IL-6.早期循环紊乱的对抗作用 通过在已建立的内毒素性休克发作时给予低剂量类固醇治疗来实现,而不是通过 TNF-α 和 IL-6 直接介导。
Steroids. 2012 Sep;77(11):1101-6. doi: 10.1016/j.steroids.2012.06.001. Epub 2012 Jun 15.
8
In vivo efficacy of humanised intermittent versus continuous ceftazidime in combination with tobramycin in an experimental model of pseudomonal pneumonia.在铜绿假单胞菌肺炎实验模型中,人源化间歇给药与持续给药的头孢他啶联合妥布霉素的体内疗效。
Int J Antimicrob Agents. 2008 Dec;32(6):494-8. doi: 10.1016/j.ijantimicag.2008.07.010. Epub 2008 Sep 18.
9
Inflammatory and circulatory effects of the reduction of endotoxin concentration in established porcine endotoxemic shock--a model of endotoxin elimination.已建立的猪内毒素血症休克中内毒素浓度降低的炎症和循环影响——一种内毒素清除模型
Crit Care Med. 2009 Mar;37(3):1031-e4. doi: 10.1097/CCM.0b013e31819b5683.
10
[Effect of tobramycin with topical diclofenac on arachidonic acid in endotoxin-induced uveitis].妥布霉素联合局部用双氯芬酸对内毒素诱导性葡萄膜炎中花生四烯酸的影响
Arch Soc Esp Oftalmol. 2001 Mar;76(3):153-7.

引用本文的文献

1
Immune modulatory effects of tulathromycin, gamithromycin, and oxytetracycline in cattle.土拉霉素、加米霉素和强力霉素对牛的免疫调节作用。
BMC Vet Res. 2024 Oct 9;20(1):456. doi: 10.1186/s12917-024-04254-x.
2
A non-linear mixed effect model for innate immune response: In vivo kinetics of endotoxin and its induction of the cytokines tumor necrosis factor alpha and interleukin-6.先天免疫反应的非线性混合效应模型:内毒素及其诱导的细胞因子肿瘤坏死因子-α和白细胞介素-6的体内动力学。
PLoS One. 2019 Feb 21;14(2):e0211981. doi: 10.1371/journal.pone.0211981. eCollection 2019.
3
Beneficial antimicrobial effect of the addition of an aminoglycoside to a β-lactam antibiotic in an E. coli porcine intensive care severe sepsis model.

本文引用的文献

1
Microdialysis-evaluated myocardial cyclooxygenase-mediated inflammation and early circulatory depression in porcine endotoxemia.微透析评估猪内毒素血症中心肌环氧化酶介导的炎症反应及早期循环抑制
Crit Care Med. 2003 Jun;31(6):1780-5. doi: 10.1097/01.CCM.0000075740.61294.a6.
2
Variation in the propensity to release endotoxin after cefuroxime exposure in different gram-negative bacteria: uniform and dose-dependent reduction by the addition of tobramycin.不同革兰氏阴性菌在头孢呋辛暴露后释放内毒素倾向的差异:添加妥布霉素后呈均匀且剂量依赖性降低。
Scand J Infect Dis. 2003;35(1):40-6. doi: 10.1080/0036554021000026983.
3
Oxygen consumption and electron spin resonance studies of free radical production by alveolar cells exposed to anoxia: inhibiting effects of the antibiotic ceftazidime.
在大肠杆菌猪重症监护严重脓毒症模型中,将氨基糖苷类药物添加到β-内酰胺类抗生素中所产生的有益抗菌效果。
PLoS One. 2014 Feb 28;9(2):e90441. doi: 10.1371/journal.pone.0090441. eCollection 2014.
4
Efficacy of liposomal bismuth-ethanedithiol-loaded tobramycin after intratracheal administration in rats with pulmonary Pseudomonas aeruginosa infection.经气管内给予载脂质体二巯丁二酸-乙二胺的妥布霉素在大鼠肺部铜绿假单胞菌感染中的疗效。
Antimicrob Agents Chemother. 2013 Jan;57(1):569-78. doi: 10.1128/AAC.01634-12. Epub 2012 Nov 12.
5
Year in review in Critical Care, 2004: sepsis and multi-organ failure.《重症监护2004年年回顾:脓毒症与多器官功能衰竭》
Crit Care. 2005 Aug;9(4):409-13. doi: 10.1186/cc3728. Epub 2005 May 23.
6
Anti-inflammatory effects of the antibiotics ceftazidime and tobramycin in porcine endotoxin shock: are they really anti-inflammatory?抗生素头孢他啶和妥布霉素在猪内毒素休克中的抗炎作用:它们真的具有抗炎作用吗?
Crit Care. 2004 Apr;8(2):140; author reply 141. doi: 10.1186/cc2462. Epub 2004 Jan 30.
暴露于缺氧环境下的肺泡细胞自由基产生的氧消耗及电子自旋共振研究:抗生素头孢他啶的抑制作用
Redox Rep. 2002;7(2):85-94. doi: 10.1179/135100002125000316.
4
ERK and p38 MAPK, but not NF-kappaB, are critically involved in reactive oxygen species-mediated induction of IL-6 by angiotensin II in cardiac fibroblasts.细胞外信号调节激酶(ERK)和p38丝裂原活化蛋白激酶(p38 MAPK),而非核因子κB(NF-κB),在心肌成纤维细胞中由活性氧介导的血管紧张素II诱导白细胞介素-6过程中起关键作用。
Circ Res. 2001 Oct 12;89(8):661-9. doi: 10.1161/hh2001.098873.
5
Endotoxin release from Escherichia coli after exposure to tobramycin: dose-dependency and reduction in cefuroxime-induced endotoxin release.暴露于妥布霉素后大肠杆菌内毒素的释放:剂量依赖性及头孢呋辛诱导的内毒素释放减少
Clin Microbiol Infect. 2000 Feb;6(2):74-81. doi: 10.1046/j.1469-0691.2000.00025.x.
6
Hypocalcemia during porcine endotoxemic shock: effects of calcium administration.猪内毒素血症休克期间的低钙血症:钙剂给药的影响
Crit Care Med. 2000 Aug;28(8):2909-14. doi: 10.1097/00003246-200008000-00037.
7
Cardiopulmonary and splanchnic blood flow during 48 hours of a continuous infusion of endotoxin in conscious pigs: a model of hyperdynamic shock.清醒猪连续输注内毒素48小时期间的心肺和内脏血流:高动力性休克模型
Shock. 2000 Mar;13(3):224-9. doi: 10.1097/00024382-200003000-00009.
8
Influence of ozone and nitrogen dioxide on histamine and interleukin formation in a human nasal mucosa culture system.臭氧和二氧化氮对人鼻黏膜培养系统中组胺和白细胞介素形成的影响。
Am J Respir Cell Mol Biol. 1999 May;20(5):1013-9. doi: 10.1165/ajrcmb.20.5.3268.
9
Effect of increased cardiac output on liver blood flow, oxygen exchange and metabolic rate during longterm endotoxin-induced shock in pigs.猪长期内毒素诱导性休克期间心输出量增加对肝脏血流、氧交换及代谢率的影响
Br J Pharmacol. 1998 Aug;124(8):1689-97. doi: 10.1038/sj.bjp.0701998.
10
Oxidant-scavenging activities of beta-lactam agents.β-内酰胺类药物的抗氧化清除活性。
Eur J Clin Microbiol Infect Dis. 1998 Jan;17(1):43-6. doi: 10.1007/BF01584363.