Booth Mark, Vennervald Birgitte J, Butterworth Anthony E, Kariuki Henry C, Amaganga Clifford, Kimani Gachuhi, Mwatha Joseph K, Otedo Amos, Ouma John H, Dunne David W
Division of Microbiology and Parasitology, Department of Pathology, University of Cambridge, Tennis Court Road, Cambridge, CB2 1QP, UK.
BMC Med. 2004 Sep 27;2:36. doi: 10.1186/1741-7015-2-36.
Schistosoma mansoni and malaria infections are often endemic in the same communities in sub-Saharan Africa, and both have pathological effects on the liver and the spleen. Hepatosplenomegaly associated with S. mansoni is exacerbated in children with relatively high exposure to malaria. Treatment with praziquantel reduces the degree of hepatosplenomegaly, but the condition does not completely resolve in some cases. The present analysis focused on the possibility that exposure to malaria infection may have limited the resolution of hepatosplenomegaly in a cohort of Kenyan schoolchildren.
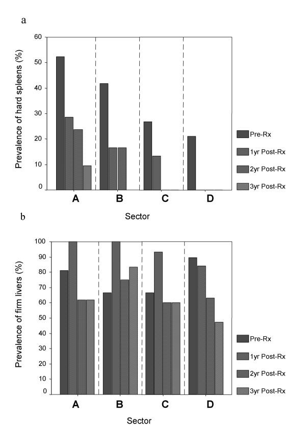
Ninety-six children aged 6-16, from one community in Makueni district, Kenya, were treated with praziquantel. At baseline, all children had hepatomegaly and most had splenomegaly. The source of S. mansoni infection, a river, was molluscicided regularly over the following three years to limit S. mansoni re-infection, whereas malaria exposure was uninterrupted. Hepatic and splenic enlargement was assessed annually outside the malaria transmission season.
Children living in an area of relatively high exposure to both infections presented with the largest spleens before treatment and at each follow-up. Spleens of firm consistency were associated with proximity to the river. The regression of hepatomegaly was also affected by location, being minimal in an area with relatively low S. mansoni exposure but high exposure to malaria, and maximal in an area with relatively low exposure to both infections.
The outcome of treating cases of hepatosplenomegaly with praziquantel in this cohort of Kenyan children depended strongly on their level of exposure to malaria infection. Furthermore, a residual burden of hepatosplenic morbidity was observed, which was possibly attributable to the level of exposure to malaria. The results suggest that exposure to malaria infection may be a significant factor affecting the outcome of praziquantel treatment to reduce the level of hepatosplenic morbidity.
曼氏血吸虫感染和疟疾在撒哈拉以南非洲的同一社区往往呈地方性流行,且二者都会对肝脏和脾脏产生病理影响。在疟疾暴露相对较高的儿童中,与曼氏血吸虫相关的肝脾肿大情况会加剧。吡喹酮治疗可减轻肝脾肿大程度,但在某些情况下病情并未完全缓解。本分析聚焦于疟疾感染暴露可能限制了肯尼亚一群学童肝脾肿大缓解的可能性。
对来自肯尼亚马库埃尼区一个社区的96名6至16岁儿童进行了吡喹酮治疗。基线时,所有儿童均有肝肿大,多数有脾肿大。在接下来的三年里,定期对曼氏血吸虫感染源(一条河流)进行灭螺处理,以限制曼氏血吸虫再次感染,而疟疾暴露则未受干扰。在疟疾传播季节之外,每年评估肝脏和脾脏的肿大情况。
生活在两种感染暴露相对较高地区的儿童,在治疗前及每次随访时脾脏最大。质地坚硬的脾脏与靠近河流有关。肝肿大的消退也受地理位置影响,在曼氏血吸虫暴露相对较低但疟疾暴露较高的地区最小,在两种感染暴露均相对较低的地区最大。
在这群肯尼亚儿童中,用吡喹酮治疗肝脾肿大病例的结果在很大程度上取决于他们的疟疾感染暴露水平。此外,观察到存在肝脾发病的残余负担,这可能归因于疟疾暴露水平。结果表明,疟疾感染暴露可能是影响吡喹酮治疗降低肝脾发病水平效果的一个重要因素。