Suppr超能文献

白种人单胎妊娠的最佳胎儿生长及胎儿生长适宜性评估:基于全人群围产期数据库的分析

Optimal fetal growth for the Caucasian singleton and assessment of appropriateness of fetal growth: an analysis of a total population perinatal database.

作者信息

Blair Eve M, Liu Yingxin, de Klerk Nicholas H, Lawrence David M

机构信息

Centre for Child Health Research, The University of Western Australia, at the Telethon Institute for Child Health Research, P,O, Box 855, West Perth, WA, 6872, Australia.

出版信息

BMC Pediatr. 2005 May 24;5(1):13. doi: 10.1186/1471-2431-5-13.

Abstract

BACKGROUND

The appropriateness of an individual's intra uterine growth is now considered an important determinant of both short and long term outcomes, yet currently used measures have several shortcomings. This study demonstrates a method of assessing appropriateness of intrauterine growth based on the estimation of each individual's optimal newborn dimensions from routinely available perinatal data. Appropriateness of growth can then be inferred from the ratio of the value of the observed dimension to that of the optimal dimension.

METHODS

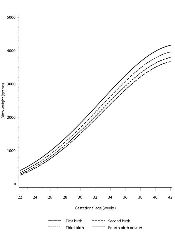
Fractional polynomial regression models including terms for non-pathological determinants of fetal size (gestational duration, fetal gender and maternal height, age and parity) were used to predict birth weight, birth length and head circumference from a population without any major risk factors for sub-optimal intra-uterine growth. This population was selected from a total population of all singleton, Caucasian births in Western Australia 1998-2002. Births were excluded if the pregnancy was exposed to factors known to influence fetal growth pathologically. The values predicted by these models were treated as the optimal values, given infant gender, gestational age, maternal height, parity, and age.

RESULTS

The selected sample (N = 62,746) comprised 60.5% of the total Caucasian singleton birth cohort. Equations are presented that predict optimal birth weight, birth length and head circumference given gestational duration, fetal gender, maternal height, age and parity. The best fitting models explained 40.5% of variance for birth weight, 32.2% for birth length, and 25.2% for head circumference at birth.

CONCLUSION

Proportion of optimal birth weight (length or head circumference) provides a method of assessing appropriateness of intrauterine growth that is less dependent on the health of the reference population or the quality of their morphometric data than is percentile position on a birth weight distribution.

摘要

背景

个体子宫内生长的适宜性现已被视为短期和长期结局的重要决定因素,但目前使用的测量方法存在若干缺陷。本研究展示了一种基于从常规可得的围产期数据估计每个个体的最佳新生儿尺寸来评估子宫内生长适宜性的方法。然后可以从观察到的尺寸值与最佳尺寸值的比率推断生长的适宜性。

方法

使用包含胎儿大小的非病理决定因素(孕周、胎儿性别、母亲身高、年龄和产次)项的分数多项式回归模型,从没有任何子宫内生长欠佳主要风险因素的人群中预测出生体重、出生身长和头围。该人群选自1998 - 2002年西澳大利亚所有白人单胎出生的总人群。如果妊娠暴露于已知会对胎儿生长产生病理影响的因素,则排除这些出生情况。在给定婴儿性别、孕周、母亲身高、产次和年龄的情况下,将这些模型预测的值视为最佳值。

结果

所选样本(N = 62,746)占白人单胎出生队列总数的60.5%。给出了在给定孕周、胎儿性别、母亲身高、年龄和产次的情况下预测最佳出生体重、出生身长和头围的方程。最佳拟合模型解释了出生体重方差的40.5%、出生身长方差的32.2%和出生时头围方差的25.2%。

结论

最佳出生体重(身长或头围)的比例提供了一种评估子宫内生长适宜性的方法,与出生体重分布的百分位数位置相比,该方法对参考人群的健康状况或其形态学数据质量的依赖性较小。

https://cdn.ncbi.nlm.nih.gov/pmc/blobs/cb37/1174874/d989ce15015e/1471-2431-5-13-1.jpg

文献AI研究员

20分钟写一篇综述,助力文献阅读效率提升50倍。

立即体验

用中文搜PubMed

大模型驱动的PubMed中文搜索引擎

马上搜索

文档翻译

学术文献翻译模型,支持多种主流文档格式。

立即体验