Suppr超能文献

嗜盐和嗜卤微生物的有机相容性溶质

Organic compatible solutes of halotolerant and halophilic microorganisms.

作者信息

Roberts Mary F

机构信息

Merkert Chemistry Center, Boston College, 2609 Beacon Street, Chestnut Hill, MA 02465, USA.

出版信息

Saline Syst. 2005 Aug 4;1:5. doi: 10.1186/1746-1448-1-5.

Abstract

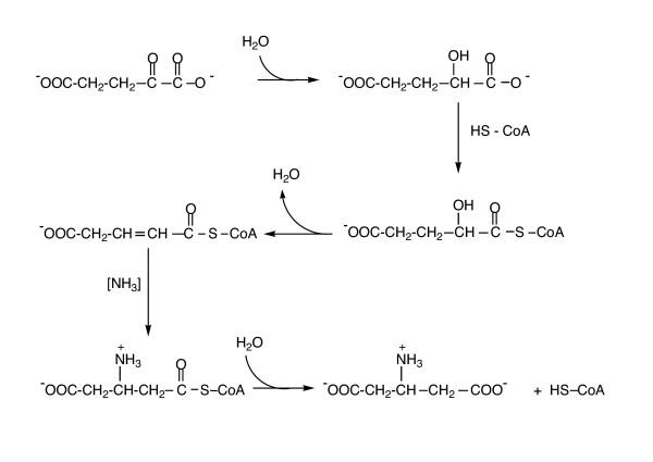
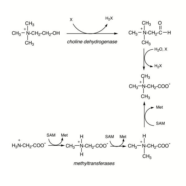
Microorganisms that adapt to moderate and high salt environments use a variety of solutes, organic and inorganic, to counter external osmotic pressure. The organic solutes can be zwitterionic, noncharged, or anionic (along with an inorganic cation such as K(+)). The range of solutes, their diverse biosynthetic pathways, and physical properties of the solutes that effect molecular stability are reviewed.

摘要

适应中度和高盐环境的微生物会利用各种有机和无机溶质来应对外部渗透压。有机溶质可以是两性离子、不带电荷的或阴离子型的(与无机阳离子如K(+)一起)。本文综述了溶质的种类、其多样的生物合成途径以及影响分子稳定性的溶质物理性质。

https://cdn.ncbi.nlm.nih.gov/pmc/blobs/7e7e/1224877/013c75c5231e/1746-1448-1-5-1.jpg

文献AI研究员

20分钟写一篇综述,助力文献阅读效率提升50倍。

立即体验

用中文搜PubMed

大模型驱动的PubMed中文搜索引擎

马上搜索

文档翻译

学术文献翻译模型,支持多种主流文档格式。

立即体验