Suppr超能文献

鉴定解释连锁信号的多态性:在 GAW14 模拟数据中的应用。

Identification of polymorphisms explaining a linkage signal: application to the GAW14 simulated data.

机构信息

Department of Mathematics and Statistics, Boston University, Boston, MA, USA.

出版信息

BMC Genet. 2005 Dec 30;6 Suppl 1(Suppl 1):S88. doi: 10.1186/1471-2156-6-S1-S88.

Abstract

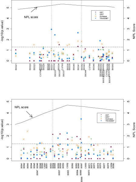
We applied three approaches for the identification of polymorphisms explaining the linkage evidence to the Genetic Analysis Workshop 14 simulated data: 1) the genotype-IBD sharing test (GIST); 2) an approach suggested by Horikawa and colleagues; and 3) the homozygote sharing test (HST). These tests were compared with a family-based association test. Two linked regions with highest nonparametric linkage scores were selected to apply these methods. In the first region, Horikawa's method identified the most SNPs within the region containing the disease susceptibility locus, while HST performed best in the second region. However, Horikawa's method also had the most type I errors. These methods show potential as additional tools to complement family-based association tests for the identification of disease susceptibility variants.

摘要

我们应用了三种方法来识别导致遗传分析工作坊 14 模拟数据连锁证据的多态性:1)基因型 IBD 共享测试(GIST);2)Horikawa 及其同事提出的方法;3)纯合子共享测试(HST)。这些方法与基于家系的关联测试进行了比较。选择了两个具有最高非参数连锁得分的连锁区域来应用这些方法。在第一个区域中,Horikawa 的方法在包含疾病易感性位点的区域内识别出了最多的 SNP,而 HST 在第二个区域中表现最好。然而,Horikawa 的方法也有最多的 I 型错误。这些方法有可能成为补充基于家系的关联测试以识别疾病易感性变异的额外工具。

https://cdn.ncbi.nlm.nih.gov/pmc/blobs/1db1/1866692/f49734141604/1471-2156-6-S1-S88-1.jpg

文献AI研究员

20分钟写一篇综述,助力文献阅读效率提升50倍。

立即体验

用中文搜PubMed

大模型驱动的PubMed中文搜索引擎

马上搜索

文档翻译

学术文献翻译模型,支持多种主流文档格式。

立即体验