• 文献检索
  • 文档翻译
  • 深度研究
  • 学术资讯
  • Suppr Zotero 插件Zotero 插件
  • 邀请有礼
  • 套餐&价格
  • 历史记录
应用&插件
Suppr Zotero 插件Zotero 插件浏览器插件Mac 客户端Windows 客户端微信小程序
定价
高级版会员购买积分包购买API积分包
服务
文献检索文档翻译深度研究API 文档MCP 服务
关于我们
关于 Suppr公司介绍联系我们用户协议隐私条款
关注我们

Suppr 超能文献

核心技术专利:CN118964589B侵权必究
粤ICP备2023148730 号-1Suppr @ 2026

文献检索

告别复杂PubMed语法,用中文像聊天一样搜索,搜遍4000万医学文献。AI智能推荐,让科研检索更轻松。

立即免费搜索

文件翻译

保留排版,准确专业,支持PDF/Word/PPT等文件格式,支持 12+语言互译。

免费翻译文档

深度研究

AI帮你快速写综述,25分钟生成高质量综述,智能提取关键信息,辅助科研写作。

立即免费体验

荧光假单胞菌产生氰化物有助于在无菌条件下抑制烟草的黑根腐病。

Cyanide production by Pseudomonas fluorescens helps suppress black root rot of tobacco under gnotobiotic conditions.

机构信息

Phytomedicine, Eidgenössische Technische Hochschule, CH-8092 Zürich, Switzerland.

出版信息

EMBO J. 1989 Feb;8(2):351-8. doi: 10.1002/j.1460-2075.1989.tb03384.x.

DOI:10.1002/j.1460-2075.1989.tb03384.x
PMID:16453871
原文链接:https://pmc.ncbi.nlm.nih.gov/articles/PMC400813/
Abstract

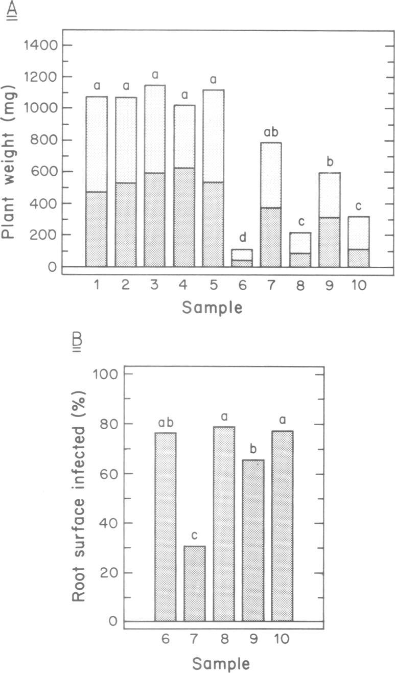
Pseudomonas fluorescens CHA0 suppresses black root rot of tobacco, a disease caused by the fungus Thielaviopsis basicola. Strain CHA0 excretes several metabolites with antifungal properties. The importance of one such metabolite, hydrogen cyanide, was tested in a gnotobiotic system containing an artificial, iron-rich soil. A cyanidenegative (hcn) mutant, CHA5, constructed by a gene replacement technique, protected the tobacco plant less effectively than did the wild-type CHA0. Complementation of strain CHA5 by the cloned wild-type hcn genes restored the strain's ability to suppress disease. An artificial transposon carrying the hcn genes of strain CHA0 (Tnhcn) was constructed and inserted into the genome of another P.fluorescens strain, P3, which naturally does not produce cyanide and gives poor plant protection. The P3::Tnhcn derivative synthesized cyanide and exhibited an improved ability to suppress disease. All bacterial strains colonized the roots similarly and did not influence significantly the survival of T.basicola in soil. We conclude that bacterial cyanide is an important but not the only factor involved in suppression of black root rot.

摘要

荧光假单胞菌 CHA0 可抑制烟草黑胫病,该病由真菌立枯丝核菌引起。菌株 CHA0 会分泌几种具有抗真菌特性的代谢物。其中一种代谢物——氰化氢的重要性在包含人工富铁土壤的无菌体系中得到了检验。通过基因替换技术构建的氰化氢阴性(hcn)突变株 CHA5 对烟草植物的保护作用不如野生型 CHA0。通过克隆的野生型 hcn 基因对菌株 CHA5 进行互补,恢复了该菌株抑制疾病的能力。构建了一个携带菌株 CHA0 的 hcn 基因的人工转座子(Tnhcn),并将其插入天然不产生氰化物且对植物保护作用较差的另一种荧光假单胞菌菌株 P3 的基因组中。P3::Tnhcn 衍生株合成了氰化物,并表现出改善的抑制疾病的能力。所有细菌菌株都以相似的方式定殖于根际,并且对土壤中立枯丝核菌的存活没有显著影响。我们的结论是,细菌氰化物是抑制烟草黑胫病的一个重要但不是唯一因素。

https://cdn.ncbi.nlm.nih.gov/pmc/blobs/29cf/400813/d3b12b548bb6/emboj00126-0028-b.jpg
https://cdn.ncbi.nlm.nih.gov/pmc/blobs/29cf/400813/ae8b587f1eaf/emboj00126-0025-a.jpg
https://cdn.ncbi.nlm.nih.gov/pmc/blobs/29cf/400813/db8f22478d3a/emboj00126-0026-a.jpg
https://cdn.ncbi.nlm.nih.gov/pmc/blobs/29cf/400813/7b1f1c6cccab/emboj00126-0027-a.jpg
https://cdn.ncbi.nlm.nih.gov/pmc/blobs/29cf/400813/cc445568e90d/emboj00126-0028-a.jpg
https://cdn.ncbi.nlm.nih.gov/pmc/blobs/29cf/400813/d3b12b548bb6/emboj00126-0028-b.jpg
https://cdn.ncbi.nlm.nih.gov/pmc/blobs/29cf/400813/ae8b587f1eaf/emboj00126-0025-a.jpg
https://cdn.ncbi.nlm.nih.gov/pmc/blobs/29cf/400813/db8f22478d3a/emboj00126-0026-a.jpg
https://cdn.ncbi.nlm.nih.gov/pmc/blobs/29cf/400813/7b1f1c6cccab/emboj00126-0027-a.jpg
https://cdn.ncbi.nlm.nih.gov/pmc/blobs/29cf/400813/cc445568e90d/emboj00126-0028-a.jpg
https://cdn.ncbi.nlm.nih.gov/pmc/blobs/29cf/400813/d3b12b548bb6/emboj00126-0028-b.jpg

相似文献

1
Cyanide production by Pseudomonas fluorescens helps suppress black root rot of tobacco under gnotobiotic conditions.荧光假单胞菌产生氰化物有助于在无菌条件下抑制烟草的黑根腐病。
EMBO J. 1989 Feb;8(2):351-8. doi: 10.1002/j.1460-2075.1989.tb03384.x.
2
Characterization of the hcnABC gene cluster encoding hydrogen cyanide synthase and anaerobic regulation by ANR in the strictly aerobic biocontrol agent Pseudomonas fluorescens CHA0.编码氰化氢合酶的hcnABC基因簇的特性以及在严格需氧生防菌荧光假单胞菌CHA0中由ANR进行的厌氧调控
J Bacteriol. 1998 Jun;180(12):3187-96. doi: 10.1128/JB.180.12.3187-3196.1998.
3
Global control in Pseudomonas fluorescens mediating antibiotic synthesis and suppression of black root rot of tobacco.荧光假单胞菌中调控抗生素合成及抑制烟草黑根腐病的全局调控
Proc Natl Acad Sci U S A. 1992 Mar 1;89(5):1562-6. doi: 10.1073/pnas.89.5.1562.
4
Salicylic Acid Biosynthetic Genes Expressed in Pseudomonas fluorescens Strain P3 Improve the Induction of Systemic Resistance in Tobacco Against Tobacco Necrosis Virus.荧光假单胞菌 P3 中表达的水杨酸生物合成基因提高了烟草对烟草坏死病毒的系统抗性诱导。
Phytopathology. 1998 Jul;88(7):678-84. doi: 10.1094/PHYTO.1998.88.7.678.
5
Genetic diversity and biocontrol potential of fluorescent pseudomonads producing phloroglucinols and hydrogen cyanide from Swiss soils naturally suppressive or conducive to Thielaviopsis basicola-mediated black root rot of tobacco.来自瑞士土壤中产生间苯三酚和氰化氢的荧光假单胞菌的遗传多样性及生物防治潜力,这些土壤对烟草根黑腐病菌介导的烟草黑根腐病自然具有抑制或促进作用。
FEMS Microbiol Ecol. 2006 Mar;55(3):369-81. doi: 10.1111/j.1574-6941.2005.00052.x.
6
Influence of host plant genotype, presence of a pathogen, and coinoculation with Pseudomonas fluorescens strains on the rhizosphere expression of hydrogen cyanide- and 2,4-diacetylphloroglucinol biosynthetic genes in P. fluorescens biocontrol strain CHA0.寄主植物基因型、病原菌的存在以及与荧光假单胞菌菌株共接种对荧光假单胞菌生防菌株CHA0中氰化氢和2,4-二乙酰基间苯三酚生物合成基因根际表达的影响。
Microb Ecol. 2009 Feb;57(2):267-75. doi: 10.1007/s00248-008-9471-y. Epub 2008 Nov 22.
7
Tn5-directed cloning of pqq genes from Pseudomonas fluorescens CHA0: mutational inactivation of the genes results in overproduction of the antibiotic pyoluteorin.用Tn5从荧光假单胞菌CHA0中定向克隆pqq基因:这些基因的突变失活导致抗生素绿脓菌素过量产生。
Appl Environ Microbiol. 1995 Nov;61(11):3856-64. doi: 10.1128/aem.61.11.3856-3864.1995.
8
Rhizosphere ecology and phytoprotection in soils naturally suppressive to Thielaviopsis black root rot of tobacco.土壤中根际生态学和对烟草黑胫病菌的植物保护作用。
Environ Microbiol. 2014 Jul;16(7):1949-60. doi: 10.1111/1462-2920.12459. Epub 2014 Apr 17.
9
Indole-3-acetic acid (IAA) synthesis in the biocontrol strain CHA0 of Pseudomonas fluorescens: role of tryptophan side chain oxidase.荧光假单胞菌生防菌株CHA0中吲哚-3-乙酸(IAA)的合成:色氨酸侧链氧化酶的作用
J Gen Microbiol. 1991 Oct;137(10):2273-9. doi: 10.1099/00221287-137-10-2273.
10
Prevalence of fluorescent pseudomonads producing antifungal phloroglucinols and/or hydrogen cyanide in soils naturally suppressive or conducive to tobacco black root rot.荧光假单胞菌在自然抑制或促进烟草黑根腐病的土壤中产生抗真菌间苯三酚和/或氢氰酸的流行率。
FEMS Microbiol Ecol. 2003 May 1;44(1):35-43. doi: 10.1111/j.1574-6941.2003.tb01088.x.

引用本文的文献

1
Identification of bioprotectants against Fusarium wilt in L. (lucerne) from a collection of bacterial isolates derived from seeds.从种子来源的细菌分离物集合中鉴定抗紫花苜蓿枯萎病的生物保护剂。
Front Microbiol. 2025 Feb 26;16:1544521. doi: 10.3389/fmicb.2025.1544521. eCollection 2025.
2
Unlocking the potential of ecofriendly guardians for biological control of plant diseases, crop protection and production in sustainable agriculture.挖掘生态友好型守护者在植物病害生物防治、可持续农业中的作物保护和生产方面的潜力。
3 Biotech. 2025 Apr;15(4):82. doi: 10.1007/s13205-025-04243-3. Epub 2025 Mar 9.
3
Pseudomonas chlororaphis ZH2: Evaluation of the Biocontrol Potential of Continuous Cropping Obstacles on the Basis of Genome Analysis, Autotoxic Substance Degradation and In Vitro Antifungal Activity.

本文引用的文献

1
Disease-suppressive soil and root-colonizing bacteria.抑病土壤和根定殖细菌。
Science. 1982 Jun 25;216(4553):1376-81. doi: 10.1126/science.216.4553.1376.
2
Method for rapid detection of cyanogenic bacteria.快速检测氰基细菌的方法。
Appl Environ Microbiol. 1983 Feb;45(2):701-2. doi: 10.1128/aem.45.2.701-702.1983.
3
Acetylornithinase of Escherichia coli: partial purification and some properties.大肠杆菌的乙酰鸟氨酸酶:部分纯化及某些性质
假单胞菌属绿脓杆菌 ZH2:基于基因组分析、自毒物质降解和体外抗真菌活性评估连作障碍的生物防治潜力。
Curr Microbiol. 2024 Nov 29;82(1):21. doi: 10.1007/s00284-024-03998-x.
4
BioSolutions for Green Agriculture: Unveiling the Diverse Roles of Plant Growth-Promoting Rhizobacteria.绿色农业的生物解决方案:揭示植物促生根际细菌的多样作用
Int J Microbiol. 2024 Aug 29;2024:6181491. doi: 10.1155/2024/6181491. eCollection 2024.
5
Plant growth promoting bacteria (PGPB)-induced plant adaptations to stresses: an updated review.植物促生菌(PGPB)诱导植物适应胁迫:最新综述。
PeerJ. 2024 Aug 20;12:e17882. doi: 10.7717/peerj.17882. eCollection 2024.
6
Expanding the diversity of the wheat rhizosphere: four novel species antagonizing fungal phytopathogens and with plant-beneficial properties.扩大小麦根际的多样性:四种对植物病原真菌具有拮抗作用且具有植物有益特性的新物种。
Front Microbiol. 2024 Jul 15;15:1440341. doi: 10.3389/fmicb.2024.1440341. eCollection 2024.
7
Isolation and evaluation of Qatari soil rhizobacteria for antagonistic potential against phytopathogens and growth promotion in tomato plants.分离和评价卡塔尔土壤根际细菌对植物病原菌的拮抗潜力及其对番茄生长的促进作用。
Sci Rep. 2023 Dec 12;13(1):22050. doi: 10.1038/s41598-023-49304-w.
8
Assessing the efficacy of phyllospheric growth-promoting and antagonistic bacteria for management of black rot disease of cauliflower incited by Xanthomonas campestris pv. campestris.评估叶际促生和拮抗细菌对由野油菜黄单胞菌引起的花椰菜黑腐病的防治效果。
Folia Microbiol (Praha). 2024 Aug;69(4):789-804. doi: 10.1007/s12223-023-01106-3. Epub 2023 Dec 7.
9
sp. nov. and biocontrol bacterial wilt by quenching 3-hydroxypalmitic acid methyl ester.新种及通过淬灭3-羟基棕榈酸甲酯对青枯病进行生物防治
Front Plant Sci. 2023 Jun 30;14:1193297. doi: 10.3389/fpls.2023.1193297. eCollection 2023.
10
Screening microbial inoculants and their interventions for cross-kingdom management of wilt disease of solanaceous crops- a step toward sustainable agriculture.筛选微生物接种剂及其对茄科作物枯萎病的跨界管理干预措施——迈向可持续农业的一步。
Front Microbiol. 2023 Jun 14;14:1174532. doi: 10.3389/fmicb.2023.1174532. eCollection 2023.
J Biol Chem. 1956 Jan;218(1):97-106.
4
Two simple media for the demonstration of pyocyanin and fluorescin.两种用于展示绿脓菌素和荧光素的简单培养基。
J Lab Clin Med. 1954 Aug;44(2):301-7.
5
Cyanide production by Pseudomonas fluorescens and Pseudomonas aeruginosa.荧光假单胞菌和铜绿假单胞菌产生氰化物的情况。
Appl Environ Microbiol. 1983 Jun;45(6):1802-7. doi: 10.1128/aem.45.6.1802-1807.1983.
6
Hydrogen cyanide production by Pseudomonas aeruginosa at reduced oxygen levels.铜绿假单胞菌在低氧水平下产生氰化氢。
Can J Microbiol. 1983 Oct;29(10):1344-9. doi: 10.1139/m83-209.
7
Wide host range cloning vectors: a cosmid clone bank of an Agrobacterium Ti plasmid.广宿主范围克隆载体:一种农杆菌Ti质粒的黏粒克隆文库。
Plasmid. 1982 Jul;8(1):45-54. doi: 10.1016/0147-619x(82)90040-3.
8
Genetic and molecular characterization of the Pseudomonas plasmid pVS1.铜绿假单胞菌质粒pVS1的遗传与分子特征分析
Plasmid. 1984 May;11(3):206-20. doi: 10.1016/0147-619x(84)90027-1.
9
Mutant drug resistant factors of high transmissibility.具有高传播性的突变耐药因子。
Nature. 1967 May 27;214(5091):885-7. doi: 10.1038/214885a0.
10
A complementation analysis of the restriction and modification of DNA in Escherichia coli.大肠杆菌中DNA限制与修饰的互补分析。
J Mol Biol. 1969 May 14;41(3):459-72. doi: 10.1016/0022-2836(69)90288-5.