Suppr超能文献

12周DeLorme公理强度训练期间的定量肌电图变化。

Quantitative EMG changes during 12-week DeLorme's axiom strength training.

作者信息

Shin Hwa-Kyung, Cho Sang-Hyun, Lee Young-Hee, Kwon Oh-Yun

机构信息

Department of Occupational Therapy, Kaya University, College of Health Science, Goryeong-gun, Gyeongbuk 717-800, Korea.

出版信息

Yonsei Med J. 2006 Feb 28;47(1):93-104. doi: 10.3349/ymj.2006.47.1.93.

Abstract

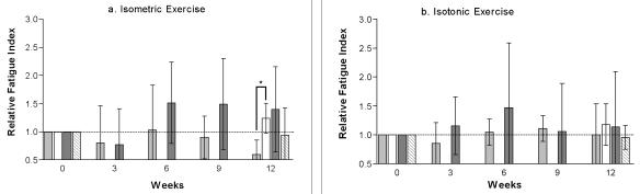
Strength training is one of the most common exercises practiced in the field of physical therapy or sports training. However, limited methodology is available to evaluate its effect on the target muscle. This study aimed to test the hypothesis that surface electromyographic (EMG) data from both isometric and isotonic exercise can express changes within the muscle during a 12-week strength training program. Ten healthy male volunteer students (5 for training, 5 for controls) from Yonsei University were recruited for evaluation in this study. DeLorme's axiom was practiced for 12 weeks in the dominant elbow flexors and knee extensors of the training group. Tension for 1 repetition maximum and maximal voluntary isometric contraction, and surface EMG information such as the integrated EMG and three variables from the regression line of median frequency (MDF) data were measured at weeks 0, 3, 6, 9, and 12. The limb circumference was measured at weeks 0 and 12. During the strength training, which was enough for the increment of muscle strength and limb circumference, the rectified-integrated EMG and initial MDF increased with a significant linear pattern in both types of contraction. The two surface EMG variables were able to monitor the physiologic muscle changes during the training. Based on these results, we propose that these two surface EMG variables can be used for monitoring electrophysiological changes in the specific muscle that is undergoing the training program, under conditions where the contraction mode for EMG data collection is either static or dynamic.

摘要

力量训练是物理治疗或运动训练领域中最常见的运动之一。然而,用于评估其对目标肌肉影响的方法有限。本研究旨在验证以下假设:在为期12周的力量训练计划中,等长运动和等张运动的表面肌电图(EMG)数据均可反映肌肉内部的变化。本研究招募了延世大学的10名健康男性志愿者学生(5名用于训练,5名作为对照)进行评估。训练组的优势肘屈肌和膝伸肌按照德洛姆公理进行了12周的训练。在第0、3、6、9和12周测量了1次最大重复量的张力、最大自主等长收缩以及表面肌电图信息,如积分肌电图和中位频率(MDF)数据回归线的三个变量。在第0周和第12周测量了肢体周长。在足以增加肌肉力量和肢体周长的力量训练过程中,两种收缩类型的整流积分肌电图和初始MDF均呈显著线性增加。这两个表面肌电图变量能够监测训练期间肌肉的生理变化。基于这些结果,我们提出,在采集肌电图数据的收缩模式为静态或动态的情况下,这两个表面肌电图变量可用于监测正在进行训练计划的特定肌肉的电生理变化。

https://cdn.ncbi.nlm.nih.gov/pmc/blobs/d547/2687586/97a158b04ebf/ymj-47-93-g001.jpg

文献AI研究员

20分钟写一篇综述,助力文献阅读效率提升50倍。

立即体验

用中文搜PubMed

大模型驱动的PubMed中文搜索引擎

马上搜索

文档翻译

学术文献翻译模型,支持多种主流文档格式。

立即体验