Suppr超能文献

蛋白质的自动共振归属:6D APSY-NMR

Automated resonance assignment of proteins: 6D APSY-NMR.

作者信息

Fiorito Francesco, Hiller Sebastian, Wider Gerhard, Wüthrich Kurt

机构信息

Institute for Molecular Biology and Biophysics, ETH Zurich, Schafmattstr. 20, 8093, Zurich, Switzerland.

出版信息

J Biomol NMR. 2006 May;35(1):27-37. doi: 10.1007/s10858-006-0030-x. Epub 2006 May 31.

Abstract

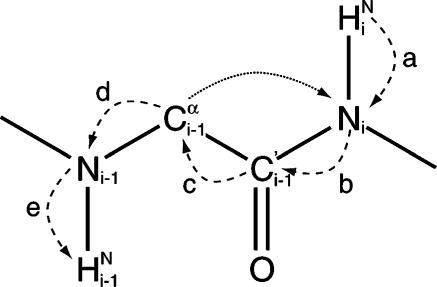
The 6-dimensional (6D) APSY-seq-HNCOCANH NMR experiment correlates two sequentially neighboring amide moieties in proteins via the C' and Calpha nuclei, with efficient suppression of the back transfer from Calpha to the originating amide moiety. The automatic analysis of two-dimensional (2D) projections of this 6D experiment with the use of GAPRO (Hiller et al., 2005) provides a high-precision 6D peak list, which permits automated sequential assignments of proteins with the assignment software GARANT (Bartels et al., 1997). The procedure was applied to two proteins, the 63-residue 434-repressor(1-63) and the 115-residue TM1290. For both proteins, complete sequential assignments for all NMR-observable backbone resonances were obtained, and the polypeptide segments thus identified could be unambiguously located in the amino acid sequence. These results demonstrate that APSY-NMR spectroscopy in combination with a suitable assignment algorithm can provide fully automated sequence-specific backbone assignments of small proteins.

摘要

六维(6D)APSY-seq-HNCOCANH NMR实验通过C'和α-碳原子将蛋白质中两个相邻的酰胺基团关联起来,有效抑制了从α-碳原子向起始酰胺基团的反向转移。使用GAPRO(希勒等人,2005年)对该6D实验的二维(2D)投影进行自动分析,可提供高精度的6D峰列表,这使得使用分配软件GARANT(巴特尔等人,1997年)对蛋白质进行自动序列分配成为可能。该方法应用于两种蛋白质,即63个残基的434阻遏蛋白(1-63)和115个残基的TM1290。对于这两种蛋白质,均获得了所有NMR可观测主链共振的完整序列分配,并且由此确定的多肽片段可以明确地定位在氨基酸序列中。这些结果表明,APSY-NMR光谱结合合适的分配算法可以提供小蛋白质的全自动序列特异性主链分配。

https://cdn.ncbi.nlm.nih.gov/pmc/blobs/3330/2798960/373827b30feb/10858_2006_Article_30_Fig1.jpg

文献AI研究员

20分钟写一篇综述,助力文献阅读效率提升50倍。

立即体验

用中文搜PubMed

大模型驱动的PubMed中文搜索引擎

马上搜索

文档翻译

学术文献翻译模型,支持多种主流文档格式。

立即体验