Suppr超能文献

人类印记染色体区域是重组的历史热点。

Human imprinted chromosomal regions are historical hot-spots of recombination.

作者信息

Sandovici Ionel, Kassovska-Bratinova Sacha, Vaughan Joe E, Stewart Rae, Leppert Mark, Sapienza Carmen

机构信息

Fels Institute for Cancer Research and Molecular Biology, Temple University School of Medicine, Philadelphia, Pennsylvania, USA.

出版信息

PLoS Genet. 2006 Jul;2(7):e101. doi: 10.1371/journal.pgen.0020101. Epub 2006 May 22.

Abstract

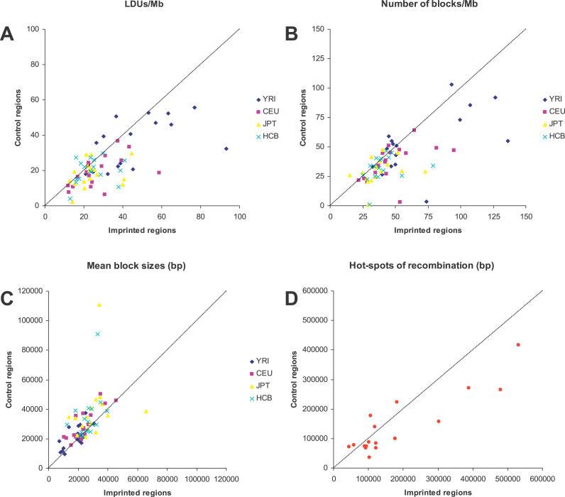
Human recombination rates vary along the chromosomes as well as between the two sexes. There is growing evidence that epigenetic factors may have an important influence on recombination rates, as well as on crossover position. Using both public database analysis and wet-bench approaches, we revisited the relationship between increased rates of meiotic recombination and genome imprinting. We constructed metric linkage disequilibrium (LD) maps for all human chromosomal regions known to contain one or more imprinted genes. We show that imprinted regions contain significantly more LD units (LDU) and have significantly more haplotype blocks of smaller sizes than flanking nonimprinted regions. There is also an excess of hot-spots of recombination at imprinted regions, and this is likely to do with the presence of imprinted genes, per se. These findings indicate that imprinted chromosomal regions are historical "hot-spots" of recombination. We also demonstrate, by direct segregation analysis at the 11p15.5 imprinted region, that there is remarkable agreement between sites of meiotic recombination and steps in LD maps. Although the increase in LDU/Megabase at imprinted regions is not associated with any significant enrichment for any particular sequence class, major sequence determinants of recombination rates seem to differ between imprinted and control regions. Interestingly, fine-mapping of recombination events within the most male meiosis-specific recombination hot-spot of Chromosome 11p15.5 indicates that many events may occur within or directly adjacent to regions that are differentially methylated in somatic cells. Taken together, these findings support the involvement of a combination of specific DNA sequences and epigenetic factors as major determinants of hot-spots of recombination at imprinted chromosomal regions.

摘要

人类重组率在染色体上以及两性之间都存在差异。越来越多的证据表明,表观遗传因素可能对重组率以及交叉位置产生重要影响。通过公共数据库分析和实验台方法,我们重新审视了减数分裂重组率增加与基因组印记之间的关系。我们构建了所有已知包含一个或多个印记基因的人类染色体区域的度量连锁不平衡(LD)图谱。我们发现,与侧翼非印记区域相比,印记区域包含显著更多的LD单位(LDU),并且具有显著更多的较小尺寸的单倍型块。在印记区域也存在过多的重组热点,这可能与印记基因本身的存在有关。这些发现表明,印记染色体区域是历史上的重组“热点”。我们还通过对11p15.5印记区域的直接分离分析表明,减数分裂重组位点与LD图谱中的步骤之间存在显著一致性。尽管印记区域中LDU/兆碱基的增加与任何特定序列类别的显著富集无关,但重组率的主要序列决定因素在印记区域和对照区域之间似乎有所不同。有趣的是,对11p15.5染色体上最具男性减数分裂特异性的重组热点内的重组事件进行精细定位表明,许多事件可能发生在体细胞中差异甲基化的区域内或直接相邻区域。综上所述,这些发现支持特定DNA序列和表观遗传因素的组合作为印记染色体区域重组热点的主要决定因素。

https://cdn.ncbi.nlm.nih.gov/pmc/blobs/1159/1523243/7914b6287346/pgen.0020101.g001.jpg

相似文献

1
Human imprinted chromosomal regions are historical hot-spots of recombination.
PLoS Genet. 2006 Jul;2(7):e101. doi: 10.1371/journal.pgen.0020101. Epub 2006 May 22.
2
Imprinted chromosomal regions of the human genome display sex-specific meiotic recombination frequencies.
Curr Biol. 1995 Sep 1;5(9):1030-5. doi: 10.1016/s0960-9822(95)00207-7.
3
HUMHOT: a database of human meiotic recombination hot spots.
Nucleic Acids Res. 2006 Jan 1;34(Database issue):D25-8. doi: 10.1093/nar/gkj009.
4
Human recombination hot spots hidden in regions of strong marker association.
Nat Genet. 2005 Jun;37(6):601-6. doi: 10.1038/ng1565. Epub 2005 May 8.
5
Association of poly-purine/poly-pyrimidine sequences with meiotic recombination hot spots.
BMC Genomics. 2006 Jul 18;7:179. doi: 10.1186/1471-2164-7-179.
7
High-resolution recombination patterns in a region of human chromosome 21 measured by sperm typing.
PLoS Genet. 2006 May;2(5):e70. doi: 10.1371/journal.pgen.0020070. Epub 2006 May 5.
9
A first-generation metric linkage disequilibrium map of bovine chromosome 6.
Genetics. 2006 Sep;174(1):79-85. doi: 10.1534/genetics.106.060418. Epub 2006 Jul 2.
10

引用本文的文献

2
Targeting shared pathways in tauopathies and age-related macular degeneration: implications for novel therapies.
Front Aging Neurosci. 2024 Apr 3;16:1371745. doi: 10.3389/fnagi.2024.1371745. eCollection 2024.
3
Inflammation and DNA damage: cause, effect or both.
Nat Rev Rheumatol. 2023 Apr;19(4):200-211. doi: 10.1038/s41584-022-00905-1. Epub 2023 Feb 7.
4
Sex Differences in the Recombination Landscape.
Am Nat. 2020 Feb;195(2):361-379. doi: 10.1086/704943. Epub 2019 Dec 9.
5
Exonic rearrangements in DMD in Chinese Han individuals affected with Duchenne and Becker muscular dystrophies.
Hum Mutat. 2020 Mar;41(3):668-677. doi: 10.1002/humu.23953. Epub 2019 Dec 3.
7
The evolutionary turnover of recombination hot spots contributes to speciation in mice.
Genes Dev. 2016 Feb 1;30(3):266-80. doi: 10.1101/gad.270009.115.
9
Gene interactions in the evolution of genomic imprinting.
Heredity (Edinb). 2014 Aug;113(2):129-37. doi: 10.1038/hdy.2014.7. Epub 2014 Mar 12.
10

本文引用的文献

1
Polymorphism in the activity of human crossover hotspots independent of local DNA sequence variation.
Hum Mol Genet. 2006 May 1;15(9):1401-11. doi: 10.1093/hmg/ddl063. Epub 2006 Mar 16.
2
A haplotype map of the human genome.
Nature. 2005 Oct 27;437(7063):1299-320. doi: 10.1038/nature04226.
3
A fine-scale map of recombination rates and hotspots across the human genome.
Science. 2005 Oct 14;310(5746):321-4. doi: 10.1126/science.1117196.
4
A map of the human genome in linkage disequilibrium units.
Proc Natl Acad Sci U S A. 2005 Aug 16;102(33):11835-9. doi: 10.1073/pnas.0505262102. Epub 2005 Aug 9.
7
Microdeletion of target sites for insulator protein CTCF in a chromosome 11p15 imprinting center in Beckwith-Wiedemann syndrome and Wilms' tumor.
Proc Natl Acad Sci U S A. 2005 Mar 15;102(11):4085-90. doi: 10.1073/pnas.0500037102. Epub 2005 Mar 2.
8
Comparison of fine-scale recombination rates in humans and chimpanzees.
Science. 2005 Apr 1;308(5718):107-11. doi: 10.1126/science.1105322. Epub 2005 Feb 10.
9
Variation in human meiotic recombination.
Annu Rev Genomics Hum Genet. 2004;5:317-49. doi: 10.1146/annurev.genom.4.070802.110217.
10
Microdeletion of LIT1 in familial Beckwith-Wiedemann syndrome.
Am J Hum Genet. 2004 Nov;75(5):844-9. doi: 10.1086/425343. Epub 2004 Sep 15.

文献AI研究员

20分钟写一篇综述,助力文献阅读效率提升50倍。

立即体验

用中文搜PubMed

大模型驱动的PubMed中文搜索引擎

马上搜索

文档翻译

学术文献翻译模型,支持多种主流文档格式。

立即体验