Bowen Anna B, Kile James C, Otto Charles, Kazerouni Neely, Austin Connie, Blount Benjamin C, Wong Hong-Nei, Beach Michael J, Fry Alicia M
Enteric Diseases Epidemiology Branch, National Center for Zoonotic, Vector-borne and Enteric Disease, Centers for Disease Control and Prevention, Atlanta, GA 30333 USA.
Environ Health Perspect. 2007 Feb;115(2):267-71. doi: 10.1289/ehp.9555. Epub 2006 Nov 28.
Chlorination destroys pathogens in swimming pool water, but by-products of chlorination can cause human illness. We investigated outbreaks of ocular and respiratory symptoms associated with chlorinated indoor swimming pools at two hotels.
We interviewed registered guests and companions who stayed at hotels X and Y within 2 days of outbreak onset. We performed bivariate and stratified analyses, calculated relative risks (RR), and conducted environmental investigations of indoor pool areas.
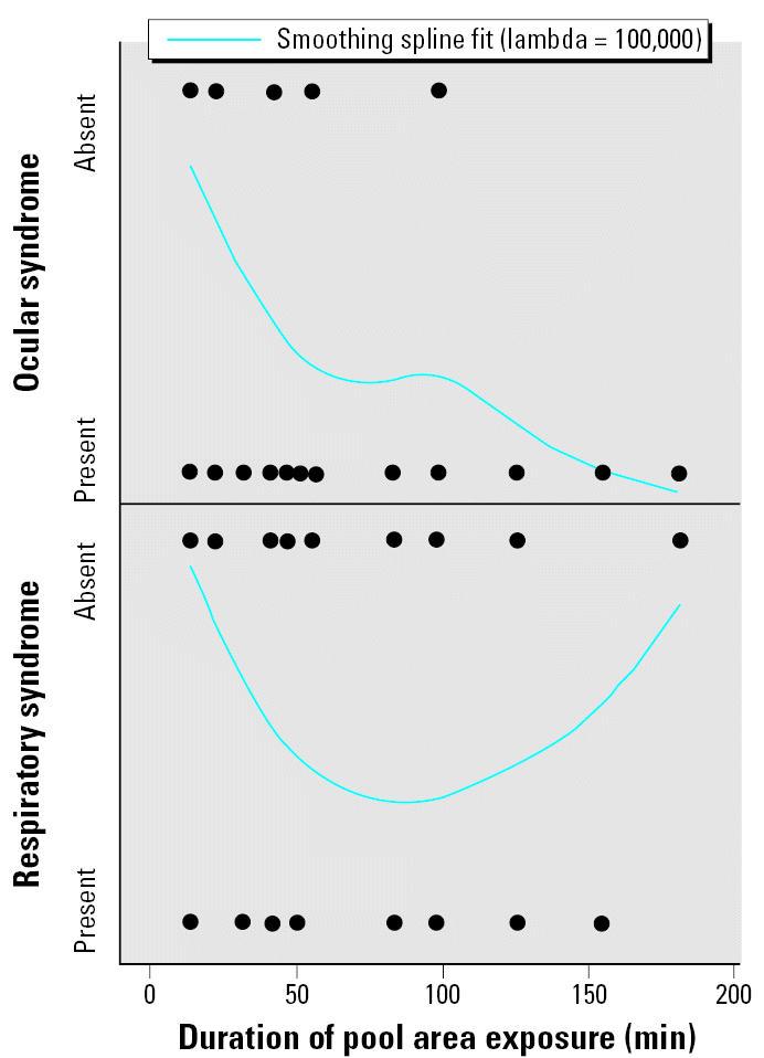
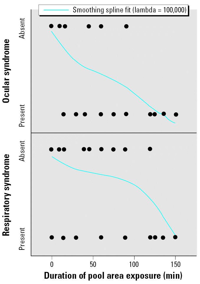
Of 77 guests at hotel X, 47 (61%) completed questionnaires. Among persons exposed to the indoor pool area, 22 (71%) of 31 developed ocular symptoms [RR = 24; 95% confidence interval (CI), 1.5-370], and 14 (45%) developed respiratory symptoms (RR = 6.8; 95% CI, 1.0-47) with a median duration of 10 hr (0.25-24 hr). We interviewed 30 (39%) of 77 registered persons and 59 unregistered companions at hotel Y. Among persons exposed to the indoor pool area, 41 (59%) of 69 developed ocular symptoms (RR = 24; 95% CI, 1.5-370), and 28 (41%) developed respiratory symptoms (RR = 17; 95% CI, 1.1-260) with a median duration of 2.5 hr (2 min-14 days). Four persons sought medical care. During the outbreak, the hotel X's ventilation system malfunctioned. Appropriate water and air samples were not available for laboratory analysis. CONCLUSIONS AND RELEVANCE TO PROFESSIONAL PRACTICE: Indoor pool areas were associated with illness in these outbreaks. A large proportion of bathers were affected; symptoms were consistent with chloramine exposure and were sometimes severe. Improved staff training, pool maintenance, and pool area ventilation could prevent future outbreaks.
氯化处理可杀灭游泳池水中的病原体,但氯化副产物可导致人类患病。我们调查了两家酒店内与室内氯化游泳池相关的眼部和呼吸道症状暴发情况。
我们对在疫情暴发后2天内入住X酒店和Y酒店的登记客人及同伴进行了访谈。我们进行了双变量和分层分析,计算了相对风险(RR),并对室内泳池区域进行了环境调查。
在X酒店的77名客人中,47名(61%)完成了问卷调查。在接触室内泳池区域的人员中,31人中有22人(71%)出现了眼部症状[RR = 24;95%置信区间(CI),1.5 - 370],14人(45%)出现了呼吸道症状(RR = 6.8;95% CI,1.0 - 47),症状持续时间中位数为10小时(0.25 - 24小时)。我们对Y酒店77名登记人员中的30名(39%)和59名未登记同伴进行了访谈。在接触室内泳池区域的人员中,69人中有41人(59%)出现了眼部症状(RR = 24;95% CI,1.5 - 370),28人(41%)出现了呼吸道症状(RR = 17;95% CI,1.1 - 260),症状持续时间中位数为2.5小时(2分钟 - 14天)。有4人寻求了医疗护理。在疫情暴发期间,X酒店的通风系统出现故障。没有可用于实验室分析的合适水样和空气样本。结论及与专业实践的相关性:在这些疫情暴发中,室内泳池区域与疾病有关。很大一部分游泳者受到影响;症状与氯胺暴露一致,有时较为严重。加强员工培训、泳池维护和泳池区域通风可预防未来的疫情暴发。