Suppr超能文献

一种整合了正常稳态和与年龄相关衰退的泛素-蛋白酶体系统的计算机模拟模型。

An in silico model of the ubiquitin-proteasome system that incorporates normal homeostasis and age-related decline.

作者信息

Proctor Carole J, Tsirigotis Maria, Gray Douglas A

机构信息

School of Clinical and Medical Sciences-Gerontology, Newcastle University, UK.

出版信息

BMC Syst Biol. 2007 Mar 21;1:17. doi: 10.1186/1752-0509-1-17.

Abstract

BACKGROUND

The ubiquitin-proteasome system is responsible for homeostatic degradation of intact protein substrates as well as the elimination of damaged or misfolded proteins that might otherwise aggregate. During ageing there is a decline in proteasome activity and an increase in aggregated proteins. Many neurodegenerative diseases are characterised by the presence of distinctive ubiquitin-positive inclusion bodies in affected regions of the brain. These inclusions consist of insoluble, unfolded, ubiquitinated polypeptides that fail to be targeted and degraded by the proteasome. We are using a systems biology approach to try and determine the primary event in the decline in proteolytic capacity with age and whether there is in fact a vicious cycle of inhibition, with accumulating aggregates further inhibiting proteolysis, prompting accumulation of aggregates and so on. A stochastic model of the ubiquitin-proteasome system has been developed using the Systems Biology Mark-up Language (SBML). Simulations are carried out on the BASIS (Biology of Ageing e-Science Integration and Simulation) system and the model output is compared to experimental data wherein levels of ubiquitin and ubiquitinated substrates are monitored in cultured cells under various conditions. The model can be used to predict the effects of different experimental procedures such as inhibition of the proteasome or shutting down the enzyme cascade responsible for ubiquitin conjugation.

RESULTS

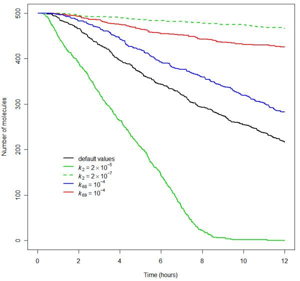
The model output shows good agreement with experimental data under a number of different conditions. However, our model predicts that monomeric ubiquitin pools are always depleted under conditions of proteasome inhibition, whereas experimental data show that monomeric pools were depleted in IMR-90 cells but not in ts20 cells, suggesting that cell lines vary in their ability to replenish ubiquitin pools and there is the need to incorporate ubiquitin turnover into the model. Sensitivity analysis of the model revealed which parameters have an important effect on protein turnover and aggregation kinetics.

CONCLUSION

We have developed a model of the ubiquitin-proteasome system using an iterative approach of model building and validation against experimental data. Using SBML to encode the model ensures that it can be easily modified and extended as more data become available. Important aspects to be included in subsequent models are details of ubiquitin turnover, models of autophagy, the inclusion of a pool of short-lived proteins and further details of the aggregation process.

摘要

背景

泛素 - 蛋白酶体系统负责完整蛋白质底物的稳态降解以及清除可能聚集的受损或错误折叠的蛋白质。在衰老过程中,蛋白酶体活性下降,聚集蛋白增加。许多神经退行性疾病的特征是在大脑受影响区域存在独特的泛素阳性包涵体。这些包涵体由不溶性、未折叠、泛素化的多肽组成,无法被蛋白酶体靶向和降解。我们正在使用系统生物学方法来尝试确定随着年龄增长蛋白水解能力下降的主要事件,以及实际上是否存在抑制的恶性循环,即积累的聚集体进一步抑制蛋白水解,促使聚集体积累等等。已使用系统生物学标记语言(SBML)开发了泛素 - 蛋白酶体系统的随机模型。在BASIS(衰老生物学电子科学整合与模拟)系统上进行模拟,并将模型输出与实验数据进行比较,在各种条件下监测培养细胞中泛素和泛素化底物的水平。该模型可用于预测不同实验程序的效果,例如蛋白酶体抑制或关闭负责泛素缀合的酶级联反应。

结果

在许多不同条件下,模型输出与实验数据显示出良好的一致性。然而,我们的模型预测在蛋白酶体抑制条件下单体泛素池总是会耗尽,而实验数据表明IMR - 90细胞中的单体池被耗尽,但ts20细胞中未耗尽,这表明细胞系在补充泛素池的能力上存在差异,并且需要将泛素周转纳入模型。对模型的敏感性分析揭示了哪些参数对蛋白质周转和聚集动力学有重要影响。

结论

我们使用模型构建和针对实验数据验证的迭代方法开发了泛素 - 蛋白酶体系统模型。使用SBML对模型进行编码可确保随着更多数据可用,它可以轻松修改和扩展。后续模型中要纳入的重要方面包括泛素周转的细节、自噬模型、短命蛋白质池的纳入以及聚集过程的更多细节。

https://cdn.ncbi.nlm.nih.gov/pmc/blobs/678f/1847462/1f4cd61b383c/1752-0509-1-17-1.jpg

文献AI研究员

20分钟写一篇综述,助力文献阅读效率提升50倍。

立即体验

用中文搜PubMed

大模型驱动的PubMed中文搜索引擎

马上搜索

文档翻译

学术文献翻译模型,支持多种主流文档格式。

立即体验