• 文献检索
  • 文档翻译
  • 深度研究
  • 学术资讯
  • Suppr Zotero 插件Zotero 插件
  • 邀请有礼
  • 套餐&价格
  • 历史记录
应用&插件
Suppr Zotero 插件Zotero 插件浏览器插件Mac 客户端Windows 客户端微信小程序
定价
高级版会员购买积分包购买API积分包
服务
文献检索文档翻译深度研究API 文档MCP 服务
关于我们
关于 Suppr公司介绍联系我们用户协议隐私条款
关注我们

Suppr 超能文献

核心技术专利:CN118964589B侵权必究
粤ICP备2023148730 号-1Suppr @ 2026

文献检索

告别复杂PubMed语法,用中文像聊天一样搜索,搜遍4000万医学文献。AI智能推荐,让科研检索更轻松。

立即免费搜索

文件翻译

保留排版,准确专业,支持PDF/Word/PPT等文件格式,支持 12+语言互译。

免费翻译文档

深度研究

AI帮你快速写综述,25分钟生成高质量综述,智能提取关键信息,辅助科研写作。

立即免费体验

最大努力水平和垂直跳跃动作的最佳协调——一项计算机模拟研究

Optimal coordination of maximal-effort horizontal and vertical jump motions--a computer simulation study.

作者信息

Nagano Akinori, Komura Taku, Fukashiro Senshi

机构信息

Institute of Medical Sciences, University of Aberdeen, Aberdeen, UK.

出版信息

Biomed Eng Online. 2007 Jun 1;6:20. doi: 10.1186/1475-925X-6-20.

DOI:10.1186/1475-925X-6-20
PMID:17543118
原文链接:https://pmc.ncbi.nlm.nih.gov/articles/PMC1896168/
Abstract

BACKGROUND

The purpose of this study was to investigate the coordination strategy of maximal-effort horizontal jumping in comparison with vertical jumping, using the methodology of computer simulation.

METHODS

A skeletal model that has nine rigid body segments and twenty degrees of freedom was developed. Thirty-two Hill-type lower limb muscles were attached to the model. The excitation-contraction dynamics of the contractile element, the tissues around the joints to limit the joint range of motion, as well as the foot-ground interaction were implemented. Simulations were initiated from an identical standing posture for both motions. Optimal pattern of the activation input signal was searched through numerical optimization. For the horizontal jumping, the goal was to maximize the horizontal distance traveled by the body's center of mass. For the vertical jumping, the goal was to maximize the height reached by the body's center of mass.

RESULTS

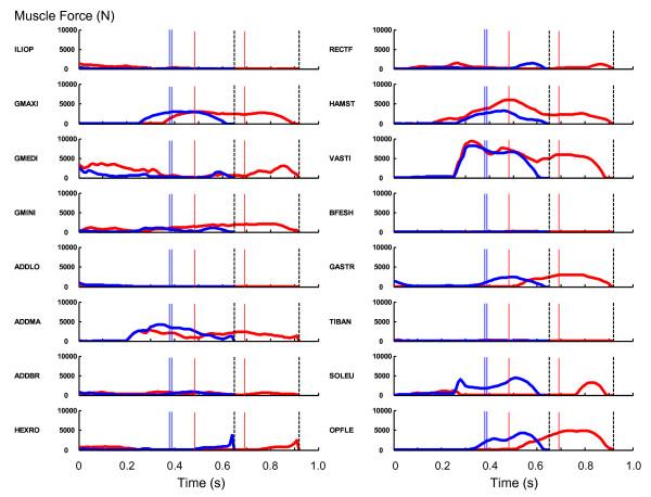
As a result, it was found that the hip joint was utilized more vigorously in the horizontal jumping than in the vertical jumping. The muscles that have a function of joint flexion such as the m. iliopsoas, m. rectus femoris and m. tibialis anterior were activated to a greater level during the countermovement in the horizontal jumping with an effect of moving the body's center of mass in the forward direction. Muscular work was transferred to the mechanical energy of the body's center of mass more effectively in the horizontal jump, which resulted in a greater energy gain of the body's center of mass throughout the motion.

CONCLUSION

These differences in the optimal coordination strategy seem to be caused from the requirement that the body's center of mass needs to be located above the feet in a vertical jumping, whereas this requirement is not so strict in a horizontal jumping.

摘要

背景

本研究旨在采用计算机模拟方法,研究最大努力水平跳跃与垂直跳跃相比的协调策略。

方法

开发了一个具有九个刚体节段和二十个自由度的骨骼模型。三十二块希尔型下肢肌肉附着在该模型上。实现了收缩元件的兴奋 - 收缩动力学、限制关节运动范围的关节周围组织以及脚与地面的相互作用。两种运动均从相同的站立姿势开始进行模拟。通过数值优化搜索激活输入信号的最佳模式。对于水平跳跃,目标是使身体重心移动的水平距离最大化。对于垂直跳跃,目标是使身体重心达到的高度最大化。

结果

结果发现,水平跳跃时髋关节的使用比垂直跳跃时更活跃。在水平跳跃的反向运动过程中,具有关节屈曲功能的肌肉,如髂腰肌、股直肌和胫骨前肌,被激活到更高水平,从而产生将身体重心向前移动的效果。在水平跳跃中,肌肉功更有效地转化为身体重心的机械能,这导致在整个运动过程中身体重心获得更大的能量增益。

结论

最佳协调策略的这些差异似乎是由于垂直跳跃时身体重心需要位于双脚上方的要求,而水平跳跃时这一要求不那么严格所致。

https://cdn.ncbi.nlm.nih.gov/pmc/blobs/83a6/1896168/51ebaecffda3/1475-925X-6-20-5.jpg
https://cdn.ncbi.nlm.nih.gov/pmc/blobs/83a6/1896168/b92a07259e89/1475-925X-6-20-1.jpg
https://cdn.ncbi.nlm.nih.gov/pmc/blobs/83a6/1896168/1a9a36fbce77/1475-925X-6-20-2.jpg
https://cdn.ncbi.nlm.nih.gov/pmc/blobs/83a6/1896168/6dc410df915d/1475-925X-6-20-3.jpg
https://cdn.ncbi.nlm.nih.gov/pmc/blobs/83a6/1896168/e7f2d6502e29/1475-925X-6-20-4.jpg
https://cdn.ncbi.nlm.nih.gov/pmc/blobs/83a6/1896168/51ebaecffda3/1475-925X-6-20-5.jpg
https://cdn.ncbi.nlm.nih.gov/pmc/blobs/83a6/1896168/b92a07259e89/1475-925X-6-20-1.jpg
https://cdn.ncbi.nlm.nih.gov/pmc/blobs/83a6/1896168/1a9a36fbce77/1475-925X-6-20-2.jpg
https://cdn.ncbi.nlm.nih.gov/pmc/blobs/83a6/1896168/6dc410df915d/1475-925X-6-20-3.jpg
https://cdn.ncbi.nlm.nih.gov/pmc/blobs/83a6/1896168/e7f2d6502e29/1475-925X-6-20-4.jpg
https://cdn.ncbi.nlm.nih.gov/pmc/blobs/83a6/1896168/51ebaecffda3/1475-925X-6-20-5.jpg

相似文献

1
Optimal coordination of maximal-effort horizontal and vertical jump motions--a computer simulation study.最大努力水平和垂直跳跃动作的最佳协调——一项计算机模拟研究
Biomed Eng Online. 2007 Jun 1;6:20. doi: 10.1186/1475-925X-6-20.
2
Force, work and power output of lower limb muscles during human maximal-effort countermovement jumping.人类最大努力反向运动跳跃过程中下肢肌肉的力、功和功率输出。
J Electromyogr Kinesiol. 2005 Aug;15(4):367-76. doi: 10.1016/j.jelekin.2004.12.006.
3
Contribution of non-extensor muscles of the leg to maximal-effort countermovement jumping.腿部非伸肌对最大努力反向运动跳跃的贡献。
Biomed Eng Online. 2005 Sep 6;4:52. doi: 10.1186/1475-925X-4-52.
4
Is energy expenditure taken into account in human sub-maximal jumping?--A simulation study.人体次最大强度跳跃中是否考虑了能量消耗?——一项模拟研究。
J Electromyogr Kinesiol. 2008 Feb;18(1):108-15. doi: 10.1016/j.jelekin.2006.09.006. Epub 2006 Nov 7.
5
Mechanical and muscular factors influencing the performance in maximal vertical jumping after different prestretch loads.不同预拉伸负荷后影响最大垂直跳跃表现的机械和肌肉因素。
J Biomech. 1995 Mar;28(3):293-307. doi: 10.1016/0021-9290(94)00062-9.
6
Optimizing the Distribution of Leg Muscles for Vertical Jumping.优化腿部肌肉分布以实现垂直跳跃
PLoS One. 2016 Feb 26;11(2):e0150019. doi: 10.1371/journal.pone.0150019. eCollection 2016.
7
Temporal and kinetic analysis of unilateral jumping in the vertical, horizontal, and lateral directions.垂直、水平和侧向单足跳的时-动分析。
J Sports Sci. 2010 Mar;28(5):545-54. doi: 10.1080/02640411003628048.
8
Differential effects of countermovement magnitude and volitional effort on vertical jumping.反动作幅度和意志努力对垂直跳跃的影响差异。
Eur J Appl Physiol. 2011 Mar;111(3):441-8. doi: 10.1007/s00421-010-1665-6. Epub 2010 Sep 30.
9
Optimal compliant-surface jumping: a multi-segment model of springboard standing jumps.最佳顺应性表面跳跃:跳板立定跳远的多节段模型
J Biomech. 2005 Sep;38(9):1822-9. doi: 10.1016/j.jbiomech.2004.08.023.
10
The relationship between joint strength and standing vertical jump performance.关节力量与立定垂直跳成绩之间的关系。
J Appl Biomech. 2008 Aug;24(3):224-33. doi: 10.1123/jab.24.3.224.

引用本文的文献

1
Exploring the accuracy of palaeobiological modelling procedures in forward-dynamics simulations of maximum-effort vertical jumping.探索古生物学建模程序在最大努力垂直跳跃正向动力学模拟中的准确性。
R Soc Open Sci. 2025 May 21;12(5):242109. doi: 10.1098/rsos.242109. eCollection 2025 May.
2
The relationship between off-ice testing and on-ice performance in male youth Ice hockey players.男性青少年冰球运动员的冰上外测试与冰上表现之间的关系。
Front Sports Act Living. 2024 Aug 15;6:1418713. doi: 10.3389/fspor.2024.1418713. eCollection 2024.
3
Effect of vertical, horizontal, and combined plyometric training on jump, sprint and change of direction performance in male soccer players.

本文引用的文献

1
The heat of activation and the heat of shortening in a muscle twitch.肌肉收缩时的活化热与缩短热。
Proc R Soc Lond B Biol Sci. 1949 Jun 23;136(883):195-211. doi: 10.1098/rspb.1949.0019.
2
Contribution of non-extensor muscles of the leg to maximal-effort countermovement jumping.腿部非伸肌对最大努力反向运动跳跃的贡献。
Biomed Eng Online. 2005 Sep 6;4:52. doi: 10.1186/1475-925X-4-52.
3
Force, work and power output of lower limb muscles during human maximal-effort countermovement jumping.人类最大努力反向运动跳跃过程中下肢肌肉的力、功和功率输出。
垂直、水平和综合增强式训练对男性足球运动员跳跃、冲刺和变向能力的影响。
PLoS One. 2024 May 23;19(5):e0295786. doi: 10.1371/journal.pone.0295786. eCollection 2024.
4
Spatiotemporal variables comparison between drop jump and horizontal drop jump in elite jumpers and sprinters.优秀跳跃运动员和短跑运动员在垂直跳和水平跳中的时空变量比较。
PeerJ. 2024 Feb 26;12:e17026. doi: 10.7717/peerj.17026. eCollection 2024.
5
Musculoskeletal simulations to examine the effects of accentuated eccentric loading (AEL) on jump height.肌肉骨骼模拟研究强调的离心加载 (AEL) 对跳跃高度的影响。
PeerJ. 2023 Jan 23;11:e14687. doi: 10.7717/peerj.14687. eCollection 2023.
6
Are there sex differences in physiological parameters and reaction time responses to overload in firefighters?消防员在生理参数和反应时间对超负荷的反应中是否存在性别差异?
PLoS One. 2021 May 3;16(5):e0249559. doi: 10.1371/journal.pone.0249559. eCollection 2021.
7
Effects of Vertically and Horizontally Orientated Plyometric Training on Physical Performance: A Meta-analytical Comparison.垂直和水平式增强式训练对身体表现的影响:一项荟萃分析比较。
Sports Med. 2021 Jan;51(1):65-79. doi: 10.1007/s40279-020-01340-6.
8
Relationship of Performance Measures and Muscle Activity between a 180° Change of Direction Task and Different Countermovement Jumps.180°方向改变任务与不同反向跳跃之间的运动表现指标与肌肉活动的关系。
Sports (Basel). 2020 Apr 10;8(4):47. doi: 10.3390/sports8040047.
9
LOWER LIMB ASYMMETRIES IN RHYTHMIC GYMNASTICS ATHLETES.艺术体操运动员的下肢不对称性
Int J Sports Phys Ther. 2016 Feb;11(1):34-43.
10
Analysis of Jumping-Landing Manoeuvers after Different Speed Performances in Soccer Players.足球运动员不同速度表现后的跳跃着陆动作分析。
PLoS One. 2015 Nov 24;10(11):e0143323. doi: 10.1371/journal.pone.0143323. eCollection 2015.
J Electromyogr Kinesiol. 2005 Aug;15(4):367-76. doi: 10.1016/j.jelekin.2004.12.006.
4
Anthropometry, physical performance, and ultrasound patellar tendon abnormality in elite junior basketball players: a cross-sectional study.精英青少年篮球运动员的人体测量学、身体机能及超声检查髌腱异常情况:一项横断面研究
Br J Sports Med. 2004 Apr;38(2):206-9. doi: 10.1136/bjsm.2003.004747.
5
Effects of electromyostimulation training and volleyball practice on jumping ability.肌电刺激训练和排球练习对跳跃能力的影响。
J Strength Cond Res. 2003 Aug;17(3):573-9. doi: 10.1519/1533-4287(2003)017<0573:eoetav>2.0.co;2.
6
A Dynamic Optimization Solution for Vertical Jumping in Three Dimensions.三维垂直跳跃的动态优化解决方案
Comput Methods Biomech Biomed Engin. 1999;2(3):201-231. doi: 10.1080/10255849908907988.
7
In vivo human triceps surae and quadriceps femoris muscle function in a squat jump and counter movement jump.人体腓肠肌和股四头肌在深蹲跳和反向运动跳中的体内肌肉功能。
Eur J Appl Physiol. 2000 Nov;83(4 -5):416-26. doi: 10.1007/s004210000289.
8
Jumping for distance: control of the external force in squat jumps.跳远:深蹲跳中对外力的控制。
Med Sci Sports Exerc. 1999 Aug;31(8):1196-204. doi: 10.1097/00005768-199908000-00018.
9
Comparison of new approaches to estimate mechanical output of individual joints in vertical jumps.垂直跳跃中估算单个关节机械输出的新方法比较。
J Biomech. 1998 Oct;31(10):951-5. doi: 10.1016/s0021-9290(98)00094-3.
10
Feline caudofemoralis muscle. Muscle fibre properties, architecture, and motor innervation.猫的股二头肌。肌纤维特性、结构及运动神经支配。
Exp Brain Res. 1998 Jul;121(1):76-91. doi: 10.1007/s002210050439.