Suppr超能文献

结核病患者和健康个体对结核分枝杆菌分泌蛋白Erp的T细胞及血清学反应。

T-cell and serological responses to Erp, an exported Mycobacterium tuberculosis protein, in tuberculosis patients and healthy individuals.

作者信息

Martinez Valérie, Carcelain Guislaine, Badell Edgar, Jouan Marc, Mauger Isabelle, Sellier Pierre, Truffot Chantal, Bricaire François, Arend Sandra M, Ottenhoff Tom, Autran Brigitte, Gicquel Brigitte

机构信息

Laboratoire d'Immunologie Cellulaire, INSERM U543, Hôpital Pitié-Salpêtrière, Paris Cedex 13, France.

出版信息

BMC Infect Dis. 2007 Jul 26;7:83. doi: 10.1186/1471-2334-7-83.

Abstract

BACKGROUND

The identification of antigens able to differentiate tuberculosis (TB) disease from TB infection would be valuable. Cellular and humoral immune responses to Erp (Exported repetitive protein)--a recently identified M. tuberculosis protein--have not yet been investigated in humans and may contribute to this aim.

METHODS

We analyzed the cellular and humoral immune responses to Erp, ESAT-6, Ag85B and PPD in TB patients, in BCG+ individuals without infection, BCG+ individuals with latent TB infection (LTBI) and BCG- controls. We used lymphoproliferation, ELISpot IFN-gamma, cytokine production assays and detection of specific human antibodies against recombinant M. tuberculosis proteins.

RESULTS

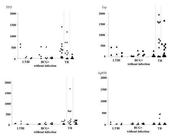
We included 22 TB patients, 9 BCG+ individuals without TB infection, 7 LTBI and 7 BCG- controls. Erp-specific T cell counts were higher in LTBI than in the other groups. Erp-specific T cell counts were higher in LTBI subjects than TB patients (median positive frequency of 211 SFC/106 PBMC (range 118-2000) for LTBI subjects compared to 80 SFC/106 PBMC (range 50-191), p = 0.019); responses to PPD and ESAT-6 antigens did not differ between these groups. IFN-gamma secretion after Erp stimulation differed between TB patients and LTBI subjects (p = 0.02). Moreover, LTBI subjects but not TB patients or healthy subjects produced IgG3 against Erp.

CONCLUSION

The frequencies of IFN-gamma-producing specific T cells, the IFN-gamma secretion and the production of IgG3 after Erp stimulation are higher in LTBI subjects than in TB patients, whereas PPD and ESAT-6 are not.

摘要

背景

鉴定能够区分结核病(TB)与结核感染的抗原具有重要价值。对Erp(输出重复蛋白)——一种最近鉴定出的结核分枝杆菌蛋白——的细胞免疫和体液免疫反应尚未在人体中进行研究,可能有助于实现这一目标。

方法

我们分析了结核病患者、未感染的卡介苗接种者、潜伏性结核感染(LTBI)的卡介苗接种者和未接种卡介苗的对照者对Erp、ESAT-6、Ag85B和PPD的细胞免疫和体液免疫反应。我们使用了淋巴细胞增殖、ELISpot IFN-γ、细胞因子产生测定以及针对重组结核分枝杆菌蛋白的特异性人抗体检测。

结果

我们纳入了22例结核病患者、9例未感染的卡介苗接种者、7例LTBI患者和7例未接种卡介苗的对照者。LTBI患者中Erp特异性T细胞计数高于其他组。LTBI受试者的Erp特异性T细胞计数高于结核病患者(LTBI受试者的中位阳性频率为211 SFC/106 PBMC(范围118 - 2000),而结核病患者为80 SFC/106 PBMC(范围50 - 191),p = 0.019);这些组对PPD和ESAT-6抗原的反应无差异。Erp刺激后IFN-γ分泌在结核病患者和LTBI受试者之间存在差异(p = 0.02)。此外,LTBI受试者而非结核病患者或健康受试者产生了针对Erp的IgG3。

结论

LTBI受试者中Erp刺激后产生IFN-γ的特异性T细胞频率、IFN-γ分泌以及IgG3产生均高于结核病患者,而PPD和ESAT-6则不然。

https://cdn.ncbi.nlm.nih.gov/pmc/blobs/2180/1963334/ed682018a133/1471-2334-7-83-1.jpg

文献检索

告别复杂PubMed语法,用中文像聊天一样搜索,搜遍4000万医学文献。AI智能推荐,让科研检索更轻松。

立即免费搜索

文件翻译

保留排版,准确专业,支持PDF/Word/PPT等文件格式,支持 12+语言互译。

免费翻译文档

深度研究

AI帮你快速写综述,25分钟生成高质量综述,智能提取关键信息,辅助科研写作。

立即免费体验