Suppr超能文献

尼古丁诱导的焦虑和抑郁相关行为症状的时间重叠发生:抗焦虑药和大麻素类药物的作用

Chronologically overlapping occurrences of nicotine-induced anxiety- and depression-related behavioral symptoms: effects of anxiolytic and cannabinoid drugs.

作者信息

Hayase Tamaki

机构信息

Department of Legal Medicine, Kyoto University, Kyoto 606-8501, Japan.

出版信息

BMC Neurosci. 2007 Sep 18;8:76. doi: 10.1186/1471-2202-8-76.

Abstract

BACKGROUND

Anxiety and depression are among the most frequently-observed psychiatric symptoms associated with nicotine (NC). In addition to the similarity to other addictive drugs, these NC-induced symptoms are characteristic in that the opposite behavioral effects, i.e. anxiolytic and antidepressant effects, which may reinforce the habitual use of NC, have also been reported. In the present study, the time course of anxiety- and depression-related behavioral alterations was examined in mice. Furthermore, based on the reported similarity in the mechanisms responsible for NC-induced anxiety- and depression-related symptoms, as well as the contribution of brain cannabinoid (CB) receptors to these behavioral symptoms, the effects of anxiolytics and CB receptor ligands (CBs) against these behavioral symptoms were investigated.

RESULTS

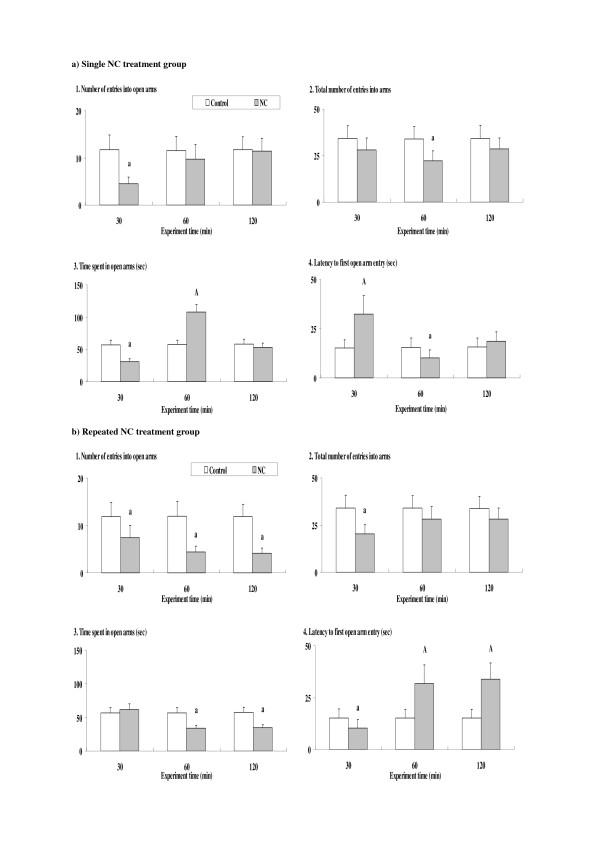
Repeated subcutaneous NC treatments (0.3 mg/kg, 4 days), compared with a single treatment (0.5 mg/kg), caused both prolonged anxiogenic effects in the elevated plus-maze test, and prolonged depressive effects in the forced swimming test, even at 120 min time point after the last NC treatment. A transient anxiolytic preference for open arms was also observed in the elevated plus-maze test. Among the anxiolytics and CBs, the serotonin 1A (5-HT1A) antagonist WAY 100135 and the endogenous mixed CB agonist/antagonist virodhamine (VD), when administered intraperitoneally before each NC treatment, provided the strongest antagonistic effects against the anxiety-related symptoms. However, against the depression-related symptoms, only VD provided significant antagonistic effects in both single and repeated treatment groups.

CONCLUSION

The present results support the presence of a chronological overlap of NC-induced anxiety- and depression-related behavioral symptoms, and the contribution of brain CB receptors to these behavioral symptoms. The repeated NC-induced prolongation of these behavioral symptoms and the early transient anxiolytic behavioral alterations support an increased possibility of the habitual use of NC. Furthermore, based on the antagonistic effects of VD, one can predict that the characteristic effects on brain CB receptors as a mixed CB agonist/antagonist contributed to its therapeutic effects as both an anxiolytic and an antidepressant.

摘要

背景

焦虑和抑郁是与尼古丁(NC)相关的最常见的精神症状。除了与其他成瘾性药物相似外,这些由NC引起的症状的特点是,也有相反的行为效应,即抗焦虑和抗抑郁作用,这可能会强化NC的习惯性使用。在本研究中,检测了小鼠中与焦虑和抑郁相关的行为改变的时间进程。此外,基于所报道的导致NC诱导的焦虑和抑郁相关症状的机制的相似性,以及脑大麻素(CB)受体对这些行为症状的作用,研究了抗焦虑药和CB受体配体(CBs)对这些行为症状的影响。

结果

与单次给药(0.5mg/kg)相比,重复皮下注射NC(0.3mg/kg,4天),即使在最后一次NC给药后120分钟时间点,在高架十字迷宫试验中也会导致抗焦虑作用延长,在强迫游泳试验中导致抑郁作用延长。在高架十字迷宫试验中还观察到对开放臂的短暂抗焦虑偏好。在抗焦虑药和CBs中,5-羟色胺1A(5-HT1A)拮抗剂WAY 100135和内源性混合CB激动剂/拮抗剂维罗达明(VD),在每次NC给药前腹腔注射时,对焦虑相关症状提供了最强的拮抗作用。然而,对于抑郁相关症状,只有VD在单次和重复给药组中均提供了显著的拮抗作用。

结论

目前的结果支持NC诱导的焦虑和抑郁相关行为症状存在时间上的重叠,以及脑CB受体对这些行为症状的作用。重复的NC诱导的这些行为症状的延长和早期短暂的抗焦虑行为改变支持了NC习惯性使用可能性的增加。此外,基于VD的拮抗作用,可以预测,作为混合CB激动剂/拮抗剂对脑CB受体的独特作用有助于其作为抗焦虑药和抗抑郁药的治疗效果。

https://cdn.ncbi.nlm.nih.gov/pmc/blobs/b3c0/2075518/9dc5c247d319/1471-2202-8-76-1.jpg

文献AI研究员

20分钟写一篇综述,助力文献阅读效率提升50倍。

立即体验

用中文搜PubMed

大模型驱动的PubMed中文搜索引擎

马上搜索

文档翻译

学术文献翻译模型,支持多种主流文档格式。

立即体验