San Miguel-Ruiz José E, García-Arrarás José E
Department of Biology, University of Puerto Rico, Rio Piedras, Puerto Rico.
BMC Dev Biol. 2007 Oct 18;7:115. doi: 10.1186/1471-213X-7-115.
All animals possess some type of tissue repair mechanism. In some species, the capacity to repair tissues is limited to the healing of wounds. Other species, such as echinoderms, posses a striking repair capability that can include the replacement of entire organs. It has been reported that some mechanisms, namely extracellular matrix remodeling, appear to occur in most repair processes. However, it remains unclear to what extent the process of organ regeneration, particularly in animals where loss and regeneration of complex structures is a programmed natural event, is similar to wound healing. We have now used the sea cucumber Holothuria glaberrima to address this question.
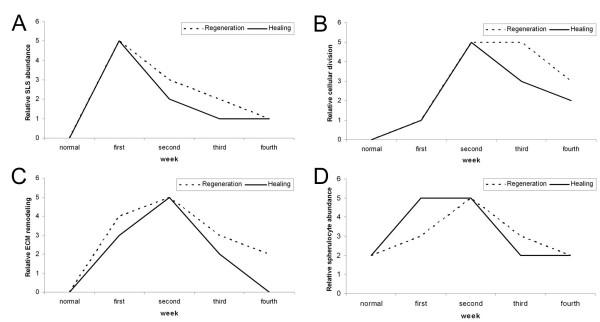
Animals were lesioned by making a 3-5 mm transverse incision between one of the longitudinal muscle pairs along the bodywall. Lesioned tissues included muscle, nerve, water canal and dermis. Animals were allowed to heal for up to four weeks (2, 6, 12, 20, and 28 days post-injury) before sacrificed. Tissues were sectioned in a cryostat and changes in cellular and tissue elements during repair were evaluated using classical dyes, immmuohistochemistry and phalloidin labeling. In addition, the temporal and spatial distribution of cell proliferation in the animals was assayed using BrdU incorporation. We found that cellular events associated with wound healing in H. glaberrima correspond to those previously shown to occur during intestinal regeneration. These include: (1) an increase in the number of spherule-containing cells, (2) remodeling of the extracellular matrix, (3) formation of spindle-like structures that signal dedifferentiation of muscle cells in the area flanking the lesion site and (4) intense cellular division occurring mainly in the coelomic epithelium after the first week of regeneration.
Our data indicate that H. glaberrima employs analogous cellular mechanisms during wound healing and organ regeneration. Thus, it is possible that regenerative limitations in some organisms are due either to the absence of particular mechanisms associated with repair or the inability of activating the repair process in some tissues or stages.
所有动物都拥有某种类型的组织修复机制。在某些物种中,组织修复能力仅限于伤口愈合。而其他物种,如棘皮动物,则具有显著的修复能力,包括整个器官的替换。据报道,一些机制,即细胞外基质重塑,似乎在大多数修复过程中都会发生。然而,器官再生过程,特别是在复杂结构的丢失和再生是一种程序化自然事件的动物中,与伤口愈合的相似程度仍不清楚。我们现在利用光滑海参来解决这个问题。
通过在沿着体壁的一对纵肌之间做一个3 - 5毫米的横向切口对动物进行损伤。损伤的组织包括肌肉、神经、水管和真皮。让动物愈合长达四周(受伤后2、6、12、20和28天),然后处死。组织在低温恒温器中切片,并使用经典染料、免疫组织化学和鬼笔环肽标记来评估修复过程中细胞和组织成分的变化。此外,使用溴脱氧尿苷掺入法检测动物体内细胞增殖的时间和空间分布。我们发现,光滑海参中与伤口愈合相关的细胞事件与先前在肠道再生过程中发生的事件相对应。这些事件包括:(1)含小球细胞数量增加;(2)细胞外基质重塑;(3)形成纺锤状结构,这表明损伤部位两侧区域的肌肉细胞去分化;(4)再生第一周后主要在体腔上皮发生强烈的细胞分裂。
我们的数据表明,光滑海参在伤口愈合和器官再生过程中采用了类似的细胞机制。因此,某些生物体中的再生限制可能是由于缺乏与修复相关的特定机制,或者是由于在某些组织或阶段无法激活修复过程。