Suppr超能文献

HIV重组形式的出现:动态变化与规模

Emergence of recombinant forms of HIV: dynamics and scaling.

作者信息

Suryavanshi Gajendra W, Dixit Narendra M

机构信息

Department of Chemical Engineering, Indian Institute of Science, Bangalore, India.

出版信息

PLoS Comput Biol. 2007 Oct;3(10):2003-18. doi: 10.1371/journal.pcbi.0030205. Epub 2007 Sep 6.

Abstract

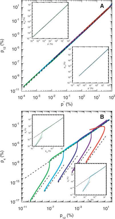
The ability to accelerate the accumulation of favorable combinations of mutations renders recombination a potent force underlying the emergence of forms of HIV that escape multi-drug therapy and specific host immune responses. We present a mathematical model that describes the dynamics of the emergence of recombinant forms of HIV following infection with diverse viral genomes. Mimicking recent in vitro experiments, we consider target cells simultaneously exposed to two distinct, homozygous viral populations and construct dynamical equations that predict the time evolution of populations of uninfected, singly infected, and doubly infected cells, and homozygous, heterozygous, and recombinant viruses. Model predictions capture several recent experimental observations quantitatively and provide insights into the role of recombination in HIV dynamics. From analyses of data from single-round infection experiments with our description of the probability with which recombination accumulates distinct mutations present on the two genomic strands in a virion, we estimate that approximately 8 recombinational strand transfer events occur on average (95% confidence interval: 6-10) during reverse transcription of HIV in T cells. Model predictions of virus and cell dynamics describe the time evolution and the relative prevalence of various infected cell subpopulations following the onset of infection observed experimentally. Remarkably, model predictions are in quantitative agreement with the experimental scaling relationship that the percentage of cells infected with recombinant genomes is proportional to the percentage of cells coinfected with the two genomes employed at the onset of infection. Our model thus presents an accurate description of the influence of recombination on HIV dynamics in vitro. When distinctions between different viral genomes are ignored, our model reduces to the standard model of viral dynamics, which successfully predicts viral load changes in HIV patients undergoing therapy. Our model may thus serve as a useful framework to predict the emergence of multi-drug-resistant forms of HIV in infected individuals.

摘要

加速有利突变组合积累的能力使重组成为HIV出现逃避多药治疗和特定宿主免疫反应形式的潜在强大力量。我们提出了一个数学模型,该模型描述了感染不同病毒基因组后HIV重组形式出现的动力学。模仿最近的体外实验,我们考虑靶细胞同时暴露于两种不同的纯合病毒群体,并构建动力学方程,以预测未感染、单感染和双感染细胞群体以及纯合、杂合和重组病毒的时间演变。模型预测定量地捕捉了最近的几个实验观察结果,并深入了解了重组在HIV动力学中的作用。通过对单轮感染实验数据的分析以及我们对重组在病毒粒子中积累两条基因组链上不同突变的概率的描述,我们估计在T细胞中HIV逆转录过程中平均发生约8次重组链转移事件(95%置信区间:6 - 10)。病毒和细胞动力学的模型预测描述了实验观察到的感染开始后各种感染细胞亚群的时间演变和相对流行率。值得注意的是,模型预测与实验比例关系在数量上一致,即感染重组基因组的细胞百分比与感染开始时使用的两种基因组共感染的细胞百分比成正比。因此,我们的模型准确描述了重组对体外HIV动力学的影响。当忽略不同病毒基因组之间的差异时,我们的模型简化为病毒动力学的标准模型,该模型成功预测了接受治疗的HIV患者的病毒载量变化。因此,我们的模型可作为预测感染个体中多药耐药HIV形式出现的有用框架。

https://cdn.ncbi.nlm.nih.gov/pmc/blobs/ca0e/2041978/ad2a25384875/pcbi.0030205.g001.jpg

相似文献

1
Emergence of recombinant forms of HIV: dynamics and scaling.
PLoS Comput Biol. 2007 Oct;3(10):2003-18. doi: 10.1371/journal.pcbi.0030205. Epub 2007 Sep 6.
2
HIV dynamics with multiple infections of target cells.
Proc Natl Acad Sci U S A. 2005 Jun 7;102(23):8198-203. doi: 10.1073/pnas.0407498102. Epub 2005 May 31.
3
Timing the emergence of resistance to anti-HIV drugs with large genetic barriers.
PLoS Comput Biol. 2009 Mar;5(3):e1000305. doi: 10.1371/journal.pcbi.1000305. Epub 2009 Mar 13.
4
Recombination and drug resistance in HIV: population dynamics and stochasticity.
Epidemics. 2009 Mar;1(1):58-69. doi: 10.1016/j.epidem.2008.11.001. Epub 2008 Dec 16.
5
Increased burst size in multiply infected cells can alter basic virus dynamics.
Biol Direct. 2012 May 8;7:16. doi: 10.1186/1745-6150-7-16.
6
Implications of recombination for HIV diversity.
Virus Res. 2008 Jun;134(1-2):64-73. doi: 10.1016/j.virusres.2008.01.007. Epub 2008 Mar 4.
7
The role of recombination for the coevolutionary dynamics of HIV and the immune response.
PLoS One. 2011 Feb 18;6(2):e16052. doi: 10.1371/journal.pone.0016052.
9
Recombination increases human immunodeficiency virus fitness, but not necessarily diversity.
J Gen Virol. 2008 Jun;89(Pt 6):1467-1477. doi: 10.1099/vir.0.83668-0.
10
Dynamics of HIV-1 coinfection in different susceptible target cell populations during cell-free infection.
J Theor Biol. 2018 Oct 14;455:39-46. doi: 10.1016/j.jtbi.2018.06.025. Epub 2018 Jul 7.

引用本文的文献

1
Antiviral capacity of the early CD8 T-cell response is predictive of natural control of SIV infection: Learning in vivo dynamics using ex vivo data.
PLoS Comput Biol. 2024 Sep 10;20(9):e1012434. doi: 10.1371/journal.pcbi.1012434. eCollection 2024 Sep.
2
Transmitted HIV-1 is more virulent in heterosexual individuals than men-who-have-sex-with-men.
PLoS Pathog. 2022 Mar 10;18(3):e1010319. doi: 10.1371/journal.ppat.1010319. eCollection 2022 Mar.
3
Pre-existing resistance in the latent reservoir can compromise VRC01 therapy during chronic HIV-1 infection.
PLoS Comput Biol. 2020 Nov 30;16(11):e1008434. doi: 10.1371/journal.pcbi.1008434. eCollection 2020 Nov.
4
Modeling sequence evolution in HIV-1 infection with recombination.
J Theor Biol. 2013 Jul 21;329:82-93. doi: 10.1016/j.jtbi.2013.03.026. Epub 2013 Apr 6.
5
Stochastic simulations suggest that HIV-1 survives close to its error threshold.
PLoS Comput Biol. 2012;8(9):e1002684. doi: 10.1371/journal.pcbi.1002684. Epub 2012 Sep 13.
6
Genetic architecture of HIV-1 genes circulating in north India & their functional implications.
Indian J Med Res. 2011 Dec;134(6):769-78. doi: 10.4103/0971-5916.92624.
9
Accurately measuring recombination between closely related HIV-1 genomes.
PLoS Comput Biol. 2010 Apr 29;6(4):e1000766. doi: 10.1371/journal.pcbi.1000766.
10
Timing the emergence of resistance to anti-HIV drugs with large genetic barriers.
PLoS Comput Biol. 2009 Mar;5(3):e1000305. doi: 10.1371/journal.pcbi.1000305. Epub 2009 Mar 13.

本文引用的文献

1
Recombination favors the evolution of drug resistance in HIV-1 during antiretroviral therapy.
Infect Genet Evol. 2007 Jul;7(4):476-83. doi: 10.1016/j.meegid.2007.02.001. Epub 2007 Feb 12.
2
Stochastic or deterministic: what is the effective population size of HIV-1?
Trends Microbiol. 2006 Dec;14(12):507-11. doi: 10.1016/j.tim.2006.10.001. Epub 2006 Oct 16.
3
HIV recombination: what is the impact on antiretroviral therapy?
J R Soc Interface. 2005 Dec 22;2(5):489-503. doi: 10.1098/rsif.2005.0064.
4
Global epidemiology of HIV.
J Med Virol. 2006;78 Suppl 1:S7-S12. doi: 10.1002/jmv.20599.
8
Mechanistic features of recombination in HIV.
AIDS Rev. 2005 Apr-Jun;7(2):92-102.
10
HIV dynamics with multiple infections of target cells.
Proc Natl Acad Sci U S A. 2005 Jun 7;102(23):8198-203. doi: 10.1073/pnas.0407498102. Epub 2005 May 31.

文献AI研究员

20分钟写一篇综述,助力文献阅读效率提升50倍。

立即体验

用中文搜PubMed

大模型驱动的PubMed中文搜索引擎

马上搜索

文档翻译

学术文献翻译模型,支持多种主流文档格式。

立即体验