Department of Food and Nutrition, Nutraceutical Research Laboratories, University of Georgia, Athens, GA, USA.
J Inflamm (Lond). 2008 Feb 8;5:1. doi: 10.1186/1476-9255-5-1.
This study tested the ability of a characterized extract of Polygonum cuspidatum (PCE) to inhibit mouse ear inflammation in response to topical application of 12-O-tetradecanoylphorbol-13-acetate (TPA).
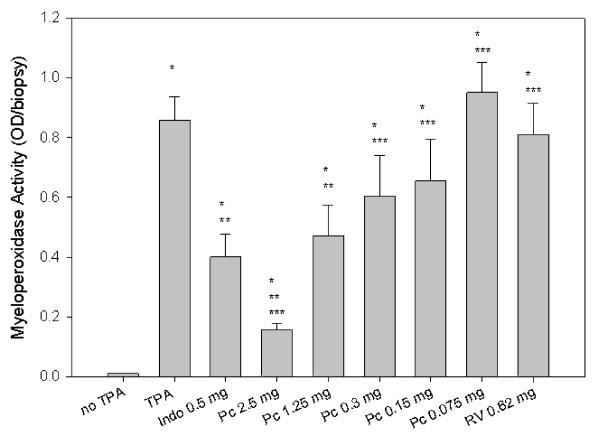
A 50% (wt:vol) ethanolic solution of commercial 200:1 PCE was applied to both ears of female Swiss mice (n = 8) at 0.075, 0.15, 0.3, 1.25 and 2.5 mg/ear 30 min after TPA administration (2 mug/ear). For comparison, 3 other groups were treated with TPA and either 1) the vehicle (50% ethanol) alone, 2) indomethacin (0.5 mg/ear), or 3) trans-resveratrol (0.62 mg/ear). Ear thickness was measured before TPA and at 4 and 24 h post-TPA administration to assess ear edema. Ear punch biopsies were collected at 24 h and weighed as a second index of edema. Myeloperoxidase activity was measured in each ear punch biopsy to assess neutrophil infiltration.
PCE treatment at all doses significantly reduced ear edema compared to the TPA control. The PCE response was dose-dependent and 2.5 mg PCE significantly inhibited all markers of inflammation to a greater extent than indomethacin (0.5 mg). MPO activity was inhibited at PCE doses >/= 1.25 mg/ear. Trans-resveratrol inhibited inflammation at comparable doses.
PCE inhibits development of edema and neutrophil infiltration in the TPA-treated mouse ear model of topical inflammation.
本研究测试了一种经鉴定的虎杖提取物(PCE)抑制 12-O-十四烷酰佛波醇-13-乙酸酯(TPA)局部应用后小鼠耳炎症的能力。
将商业 200:1 PCE 的 50%(wt:vol)乙醇溶液在 TPA 给药后 30 分钟(2μg/耳)施用于雌性瑞士小鼠的两只耳朵(n=8),剂量分别为 0.075、0.15、0.3、1.25 和 2.5 mg/耳。为了比较,另外 3 组分别用 TPA 加 1)载体(50%乙醇)单独、2)吲哚美辛(0.5 mg/耳)或 3)白藜芦醇(0.62 mg/耳)处理。在 TPA 给药前、给药后 4 和 24 小时测量耳朵厚度以评估耳朵水肿。在 24 小时收集耳朵穿孔活检并称重,作为水肿的第二个指标。测量每个耳朵穿孔活检中的髓过氧化物酶活性以评估中性粒细胞浸润。
与 TPA 对照组相比,所有剂量的 PCE 处理均显著减轻耳水肿。PCE 反应呈剂量依赖性,2.5mg PCE 抑制所有炎症标志物的程度明显大于吲哚美辛(0.5mg)。MPO 活性在 PCE 剂量≥1.25mg/耳时受到抑制。白藜芦醇在可比剂量下抑制炎症。
PCE 抑制 TPA 处理的小鼠耳局部炎症模型中水肿和中性粒细胞浸润的发展。