Suppr超能文献

顶端膜抗原1基因座的多态性反映了间日疟原虫的全球种群历史。

Polymorphism at the apical membrane antigen 1 locus reflects the world population history of Plasmodium vivax.

作者信息

Grynberg Priscila, Fontes Cor Jesus F, Hughes Austin L, Braga Erika M

机构信息

Departamento de Parasitologia, Instituto de Ciências Biológicas, Universidade Federal de Minas Gerais, Av. Antônio Carlos 6627, 31270-901 Belo Horizonte, (MG), Brazil.

出版信息

BMC Evol Biol. 2008 Apr 29;8:123. doi: 10.1186/1471-2148-8-123.

Abstract

BACKGROUND

In malaria parasites (genus Plasmodium), ama-1 is a highly polymorphic locus encoding the Apical Membrane Protein-1, and there is evidence that the polymorphism at this locus is selectively maintained. We tested the hypothesis that polymorphism at the ama-1 locus reflects population history in Plasmodium vivax, which is believed to have originated in Southeast Asia and is widely geographically distributed. In particular, we tested for a signature of the introduction of P. vivax into the New World at the time of the European conquest and African slave trade and subsequent population expansion.

RESULTS

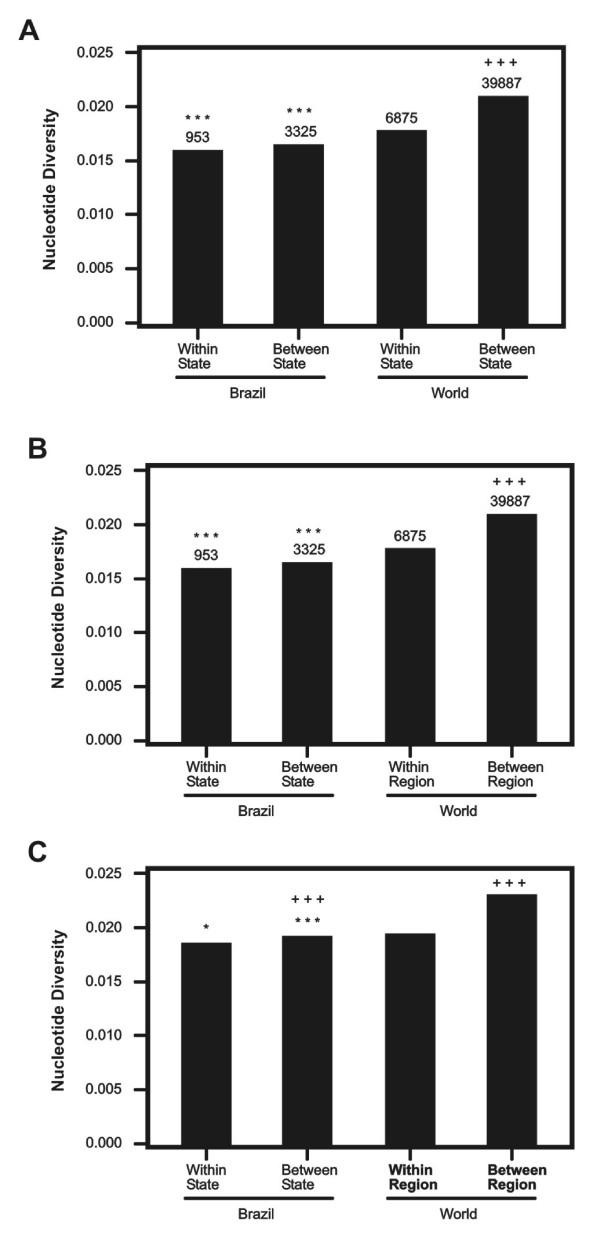
One hundred and five ama-1 sequences were generated and analyzed from samples from six different Brazilian states and compared with database sequences from the Old World. Old World populations of P. vivax showed substantial evidence of population substructure, with high sequence divergence among localities at both synonymous and nonsynonymous sites, while Brazilian isolates showed reduced diversity and little population substructure.

CONCLUSION

These results show that genetic diversity in P. vivax AMA-1 reflects population history, with population substructure characterizing long-established Old World populations, whereas Brazilian populations show evidence of loss of diversity and recent population expansion. NOTE: Nucleotide sequence data reported is this paper are available in the GenBanktrade mark database under the accession numbers EF031154 - EF031216 and EF057446 - EF057487.

摘要

背景

在疟原虫(疟原虫属)中,ama-1是一个高度多态性的基因座,编码顶端膜蛋白-1,并且有证据表明该基因座的多态性是被选择性维持的。我们检验了这样一个假设,即ama-1基因座的多态性反映了间日疟原虫的种群历史,间日疟原虫被认为起源于东南亚,并且在地理上广泛分布。特别是,我们检验了在欧洲征服和非洲奴隶贸易时期间日疟原虫引入新大陆以及随后种群扩张的特征。

结果

从巴西六个不同州的样本中生成并分析了105个ama-1序列,并与来自旧大陆的数据库序列进行了比较。旧大陆的间日疟原虫种群显示出明显的种群亚结构证据,在同义位点和非同义位点的不同地点之间存在高度的序列差异,而巴西分离株的多样性降低且几乎没有种群亚结构。

结论

这些结果表明,间日疟原虫AMA-1的遗传多样性反映了种群历史,种群亚结构是长期存在的旧大陆种群的特征,而巴西种群显示出多样性丧失和近期种群扩张的证据。注意:本文报道的核苷酸序列数据可在GenBank商标数据库中获取,登录号为EF031154 - EF031216和EF057446 - EF057487。

https://cdn.ncbi.nlm.nih.gov/pmc/blobs/d0b6/2394524/64f203bed913/1471-2148-8-123-1.jpg

文献检索

告别复杂PubMed语法,用中文像聊天一样搜索,搜遍4000万医学文献。AI智能推荐,让科研检索更轻松。

立即免费搜索

文件翻译

保留排版,准确专业,支持PDF/Word/PPT等文件格式,支持 12+语言互译。

免费翻译文档

深度研究

AI帮你快速写综述,25分钟生成高质量综述,智能提取关键信息,辅助科研写作。

立即免费体验