Suppr超能文献

4-氮杂三环[5.2.2.02,6]十一烷-3,5,8-三酮作为潜在的药理活性剂。

4-Azatricyclo[5.2.2.02,6]undecane-3,5,8-triones as potential pharmacological agents.

作者信息

Kossakowski Jerzy, Bielenica Anna, Mirosław Barbara, Kozioł Anna E, Dybała Izabela, Struga Marta

机构信息

Department of Medical Chemistry, The Medical University of Warsaw, 3 Oczki Street, 02-007 Warsaw, Poland.

出版信息

Molecules. 2008 Aug 6;13(8):1570-83. doi: 10.3390/molecules13081570.

Abstract

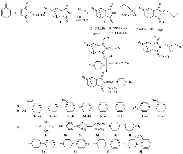
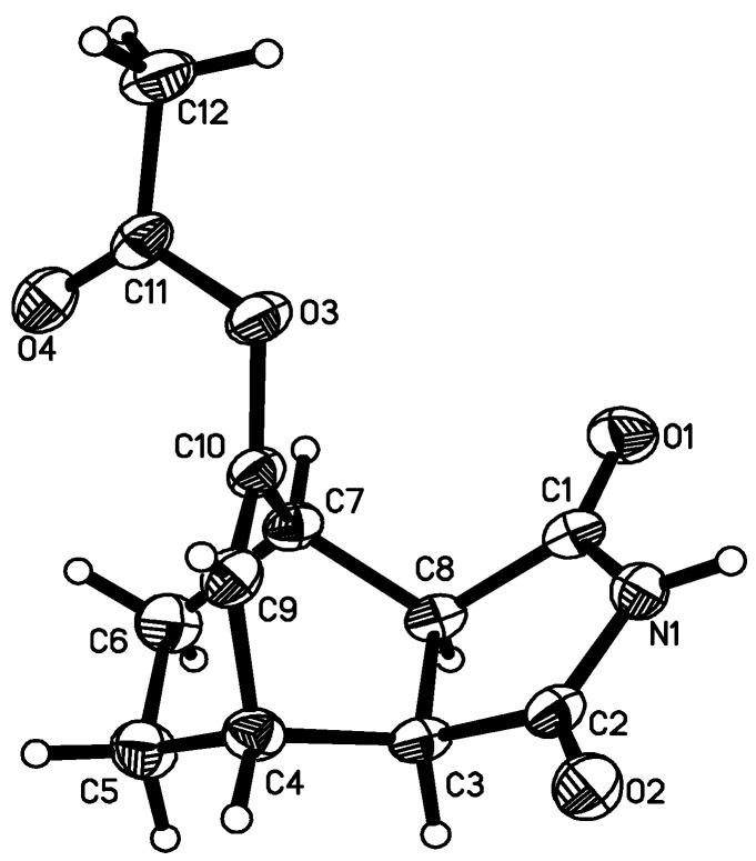
A series of twenty six arylpiperazine and aminoalkanol derivatives of 4-azatricyclo[5.2.2.0(2,6)]undecane-3,5,8-trione have been prepared. The synthesized compounds were evaluated for their cytotoxicity and anti-HIV-1 activity in MT-4 cells.

摘要

已制备了一系列26种4-氮杂三环[5.2.2.0(2,6)]十一烷-3,5,8-三酮的芳基哌嗪和氨基链烷醇衍生物。对合成的化合物在MT-4细胞中进行了细胞毒性和抗HIV-1活性评估。

https://cdn.ncbi.nlm.nih.gov/pmc/blobs/3820/6245055/0506890997b4/molecules-13-01570-g004.jpg

文献检索

告别复杂PubMed语法,用中文像聊天一样搜索,搜遍4000万医学文献。AI智能推荐,让科研检索更轻松。

立即免费搜索

文件翻译

保留排版,准确专业,支持PDF/Word/PPT等文件格式,支持 12+语言互译。

免费翻译文档

深度研究

AI帮你快速写综述,25分钟生成高质量综述,智能提取关键信息,辅助科研写作。

立即免费体验