Suppr超能文献

步行时的双重任务成本在老年人中对某些任务会增加,但对其他任务则不会:一项针对健康年轻人和老年人的实验研究。

Dual-task costs while walking increase in old age for some, but not for other tasks: an experimental study of healthy young and elderly persons.

作者信息

Bock Otmar

机构信息

Institute of Physiology and Anatomy, German Sport University, Köln, Germany.

出版信息

J Neuroeng Rehabil. 2008 Nov 13;5:27. doi: 10.1186/1743-0003-5-27.

Abstract

BACKGROUND

It has been suggested in the past that the ability to walk while concurrently engaging in a second task deteriorates in old age, and that this deficit is related to the high incidence of falls in the elderly. However, previous studies provided inconsistent findings about the existence of such an age-related dual-task deficit (ARD). In an effort to explain this inconsistency, we explored whether ARD while walking emerges for some, but not for other types of task.

METHODS

Healthy young and elderly subjects were tested under five different combinations of a walking and a non-walking task. The results were analysed jointly with those of a previous study from our lab, such that a total of 13 task combinations were evaluated. For each task combination and subject, we calculated the mean dual-task costs across both constituent tasks, and quantified ARD as the difference between those costs in elderly and in young subjects.

RESULTS

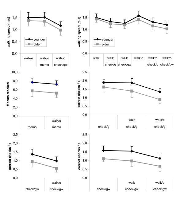
An analysis of covariance yielded no significant effects of obstacle presence and overall task difficulty on ARD, but a highly significant effect of visual demand: non-walking tasks which required ongoing visual observation led to ARD of more than 8%, while those without such requirements led to near-zero ARD. We therefore concluded that the visual demand of the non-walking task is critical for the emergence of ARD while walking.

CONCLUSION

Combinations of walking and concurrent visual observation, which are common in everyday life, may contribute towards disturbed gait and falls during daily activities in old age. Prevention and rehabilitation programs for seniors should therefore include training of such combinations.

摘要

背景

过去有人提出,老年人在同时进行第二项任务时行走的能力会下降,且这种缺陷与老年人跌倒的高发生率有关。然而,先前的研究对于这种与年龄相关的双重任务缺陷(ARD)的存在给出了不一致的结果。为了解释这种不一致性,我们探究了行走时的ARD是否在某些类型的任务中出现,而在其他类型的任务中不出现。

方法

健康的年轻和老年受试者在行走任务和非行走任务的五种不同组合下接受测试。结果与我们实验室之前一项研究的结果联合分析,从而总共评估了13种任务组合。对于每种任务组合和受试者,我们计算了两个组成任务的平均双重任务成本,并将ARD量化为老年受试者和年轻受试者这些成本之间的差异。

结果

协方差分析得出障碍物存在和总体任务难度对ARD没有显著影响,但视觉需求有高度显著影响:需要持续视觉观察的非行走任务导致ARD超过8%,而那些没有此类要求的任务导致ARD接近零。因此,我们得出结论,非行走任务的视觉需求对于行走时ARD的出现至关重要。

结论

在日常生活中常见的行走与同时进行视觉观察的组合,可能会导致老年人日常活动中的步态紊乱和跌倒。因此,针对老年人的预防和康复计划应包括对此类组合的训练。

https://cdn.ncbi.nlm.nih.gov/pmc/blobs/0f0f/2596160/52035aa08f05/1743-0003-5-27-1.jpg

文献检索

告别复杂PubMed语法,用中文像聊天一样搜索,搜遍4000万医学文献。AI智能推荐,让科研检索更轻松。

立即免费搜索

文件翻译

保留排版,准确专业,支持PDF/Word/PPT等文件格式,支持 12+语言互译。

免费翻译文档

深度研究

AI帮你快速写综述,25分钟生成高质量综述,智能提取关键信息,辅助科研写作。

立即免费体验