• 文献检索
  • 文档翻译
  • 深度研究
  • 学术资讯
  • Suppr Zotero 插件Zotero 插件
  • 邀请有礼
  • 套餐&价格
  • 历史记录
应用&插件
Suppr Zotero 插件Zotero 插件浏览器插件Mac 客户端Windows 客户端微信小程序
定价
高级版会员购买积分包购买API积分包
服务
文献检索文档翻译深度研究API 文档MCP 服务
关于我们
关于 Suppr公司介绍联系我们用户协议隐私条款
关注我们

Suppr 超能文献

核心技术专利:CN118964589B侵权必究
粤ICP备2023148730 号-1Suppr @ 2026

文献检索

告别复杂PubMed语法,用中文像聊天一样搜索,搜遍4000万医学文献。AI智能推荐,让科研检索更轻松。

立即免费搜索

文件翻译

保留排版,准确专业,支持PDF/Word/PPT等文件格式,支持 12+语言互译。

免费翻译文档

深度研究

AI帮你快速写综述,25分钟生成高质量综述,智能提取关键信息,辅助科研写作。

立即免费体验

脑微透析在动脉瘤性蛛网膜下腔出血患者中检测细菌性脑膜炎的队列研究。

Cerebral microdialysis for detection of bacterial meningitis in aneurysmal subarachnoid hemorrhage patients: a cohort study.

机构信息

Department of Neurosurgery, Charité - Universitätsmedizin Berlin, Campus Virchow Klinikum, Berlin, Germany.

出版信息

Crit Care. 2009;13(1):R2. doi: 10.1186/cc7689. Epub 2009 Jan 20.

DOI:10.1186/cc7689
PMID:19154580
原文链接:https://pmc.ncbi.nlm.nih.gov/articles/PMC2688112/
Abstract

INTRODUCTION

Bacterial meningitis (BM) is a severe complication in patients with aneurysmal subarachnoid haemorrhage (SAH). Clinical signs of meningitis are often masked by SAH-related symptoms, and routine cerebrospinal fluid (CSF) analysis fails to indicate BM. Microdialysis (MD) is a technique for monitoring cerebral metabolism in patients with SAH. A cohort study was performed to investigate the value of MD for the diagnosis of BM.

METHODS

Retrospectively, 167 patients with SAH in an ongoing investigation on cerebral metabolism monitored by MD were analysed for the presence of BM and related MD changes. Diagnosis of BM was based on microbiological CSF culture or clinical symptoms responding to antibiotic treatment, combined with an increased CSF cell count and/or fever. Levels of MD parameters before and after diagnosis of BM were analysed and compared with the spontaneous course in controls.

RESULTS

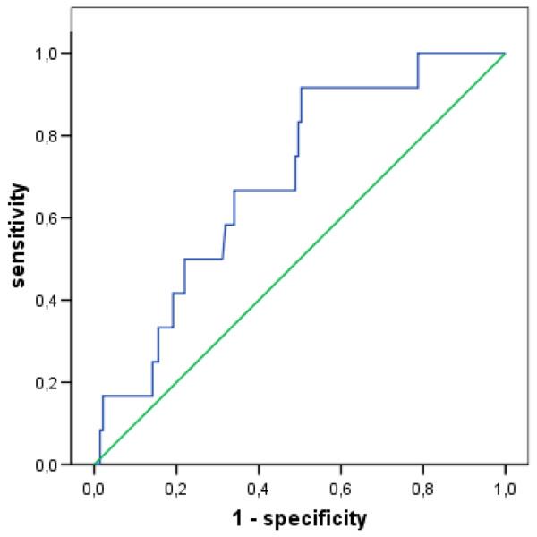
BM developed in 20 patients, of which 12 underwent MD monitoring at the time of diagnosis. A control group was formed using 147 patients with SAH not developing meningitis. On the day BM was diagnosed, cerebral glucose was lower compared with the value three days before (p = 0.012), and the extent of decrease was significantly higher than in controls (p = 0.044). A decrease in cerebral glucose by 1 mmol/L combined with the presence of fever >or= 38 degrees C indicated BM with a sensitivity of 69% and a specificity of 80%. CSF chemistry failed to indicate BM, but the cell count increased during the days before diagnosis (p < 0.05).

CONCLUSIONS

A decrease in MD glucose combined with the presence of fever detected BM with acceptable sensitivity and specificity, while CSF chemistry failed to indicate BM. In patients with SAH where CSF cell count is not available or helpful, MD might serve as an adjunct criterion for early diagnosis of BM.

摘要

简介

细菌性脑膜炎(BM)是动脉瘤性蛛网膜下腔出血(SAH)患者的严重并发症。脑膜炎的临床症状常被 SAH 相关症状所掩盖,常规脑脊液(CSF)分析无法提示 BM。微透析(MD)是监测 SAH 患者脑代谢的一种技术。进行了一项队列研究,以探讨 MD 对 BM 的诊断价值。

方法

回顾性分析了正在进行的 MD 监测脑代谢的 167 例 SAH 患者,以评估 BM 的存在及其相关 MD 变化。BM 的诊断基于微生物 CSF 培养或对抗生素治疗有反应的临床症状,同时伴有 CSF 细胞计数增加和/或发热。分析了 BM 诊断前后 MD 参数的水平,并与对照组的自发病程进行比较。

结果

20 例患者发生 BM,其中 12 例在诊断时接受了 MD 监测。使用未发生脑膜炎的 147 例 SAH 患者形成对照组。在 BM 诊断当天,脑葡萄糖水平较前三天(p = 0.012)下降,下降幅度明显高于对照组(p = 0.044)。脑葡萄糖下降 1mmol/L 合并发热>或=38 度可提示 BM,敏感性为 69%,特异性为 80%。CSF 化学未能提示 BM,但在诊断前几天细胞计数增加(p < 0.05)。

结论

MD 葡萄糖下降合并发热可提示 BM,具有可接受的敏感性和特异性,而 CSF 化学未能提示 BM。在 CSF 细胞计数不可用或无帮助的 SAH 患者中,MD 可能作为早期诊断 BM 的附加标准。

https://cdn.ncbi.nlm.nih.gov/pmc/blobs/1d3c/2688112/834988134a01/cc7689-5.jpg
https://cdn.ncbi.nlm.nih.gov/pmc/blobs/1d3c/2688112/ddfcc984393b/cc7689-1.jpg
https://cdn.ncbi.nlm.nih.gov/pmc/blobs/1d3c/2688112/5087da56d623/cc7689-2.jpg
https://cdn.ncbi.nlm.nih.gov/pmc/blobs/1d3c/2688112/626b1399e4eb/cc7689-3.jpg
https://cdn.ncbi.nlm.nih.gov/pmc/blobs/1d3c/2688112/c42162d1fba2/cc7689-4.jpg
https://cdn.ncbi.nlm.nih.gov/pmc/blobs/1d3c/2688112/834988134a01/cc7689-5.jpg
https://cdn.ncbi.nlm.nih.gov/pmc/blobs/1d3c/2688112/ddfcc984393b/cc7689-1.jpg
https://cdn.ncbi.nlm.nih.gov/pmc/blobs/1d3c/2688112/5087da56d623/cc7689-2.jpg
https://cdn.ncbi.nlm.nih.gov/pmc/blobs/1d3c/2688112/626b1399e4eb/cc7689-3.jpg
https://cdn.ncbi.nlm.nih.gov/pmc/blobs/1d3c/2688112/c42162d1fba2/cc7689-4.jpg
https://cdn.ncbi.nlm.nih.gov/pmc/blobs/1d3c/2688112/834988134a01/cc7689-5.jpg

相似文献

1
Cerebral microdialysis for detection of bacterial meningitis in aneurysmal subarachnoid hemorrhage patients: a cohort study.脑微透析在动脉瘤性蛛网膜下腔出血患者中检测细菌性脑膜炎的队列研究。
Crit Care. 2009;13(1):R2. doi: 10.1186/cc7689. Epub 2009 Jan 20.
2
Lack of value of routine analysis of cerebrospinal fluid for prediction and diagnosis of external drainage-related bacterial meningitis.脑脊液常规分析对预测和诊断外引流相关细菌性脑膜炎缺乏价值。
J Neurosurg. 2006 Jan;104(1):101-8. doi: 10.3171/jns.2006.104.1.101.
3
Cerebral microdialysis monitoring: determination of normal and ischemic cerebral metabolisms in patients with aneurysmal subarachnoid hemorrhage.脑微透析监测:动脉瘤性蛛网膜下腔出血患者正常和缺血性脑代谢的测定
J Neurosurg. 2000 Nov;93(5):808-14. doi: 10.3171/jns.2000.93.5.0808.
4
Cerebral metabolism and intracranial hypertension in high grade aneurysmal subarachnoid haemorrhage patients.高级别动脉瘤性蛛网膜下腔出血患者的脑代谢与颅内高压
Acta Neurochir Suppl. 2005;95:89-92. doi: 10.1007/3-211-32318-x_19.
5
Inpatient hyperglycemia following aneurysmal subarachnoid hemorrhage: relation to cerebral metabolism and outcome.动脉瘤性蛛网膜下腔出血后的住院患者高血糖:与脑代谢及预后的关系
Neurocrit Care. 2009;11(1):56-63. doi: 10.1007/s12028-009-9222-z. Epub 2009 May 6.
6
Bedside microdialysis: a tool to monitor cerebral metabolism in subarachnoid hemorrhage patients?床边微透析:一种监测蛛网膜下腔出血患者脑代谢的工具?
Crit Care Med. 2002 May;30(5):1062-70. doi: 10.1097/00003246-200205000-00018.
7
Poor-grade aneurysmal subarachnoid hemorrhage: relationship of cerebral metabolism to outcome.低级别动脉瘤性蛛网膜下腔出血:脑代谢与预后的关系
J Neurosurg. 2004 Mar;100(3):400-6. doi: 10.3171/jns.2004.100.3.0400.
8
Bedside cerebral microdialysis monitoring of delayed cerebral hypoperfusion in comatose patients with poor grade aneurysmal subarachnoid haemorrhage.昏迷且分级较差的动脉瘤性蛛网膜下腔出血患者的脑微透析监测迟发性脑灌注不足的床旁监测。
J Neurol Neurosurg Psychiatry. 2017 Apr;88(4):332-338. doi: 10.1136/jnnp-2016-313766. Epub 2016 Dec 7.
9
Acute focal neurological deficits in aneurysmal subarachnoid hemorrhage: relation of clinical course, CT findings, and metabolite abnormalities monitored with bedside microdialysis.动脉瘤性蛛网膜下腔出血的急性局灶性神经功能缺损:临床病程、CT表现及床边微透析监测的代谢物异常之间的关系
Stroke. 2003 Jun;34(6):1382-8. doi: 10.1161/01.STR.0000074036.97859.02. Epub 2003 May 15.
10
Bedside microdialysis reflects dysfunction of cerebral energy metabolism in patients with aneurysmal subarachnoid hemorrhage as confirmed by 15 O-H2 O-PET and 18 F-FDG-PET.床边微透析反映了动脉瘤性蛛网膜下腔出血患者脑能量代谢功能障碍,这已通过15 O-H2 O-PET和18 F-FDG-PET得到证实。
J Neuroradiol. 2005 Dec;32(5):348-51. doi: 10.1016/s0150-9861(05)83168-2.

引用本文的文献

1
Coagulase-negative staphylococci (CoNS) meningitis: a narrative review of the literature from 2000 to 2020.凝固酶阴性葡萄球菌(CoNS)脑膜炎:2000年至2020年文献的叙述性综述
New Microbes New Infect. 2020 Sep 7;37:100755. doi: 10.1016/j.nmni.2020.100755. eCollection 2020 Sep.
2
Post-Traumatic Meningitis Is a Diagnostic Challenging Time: A Systematic Review Focusing on Clinical and Pathological Features.创伤后脑膜炎是一个具有挑战性的诊断时期:一项侧重于临床和病理特征的系统评价。
Int J Mol Sci. 2020 Jun 10;21(11):4148. doi: 10.3390/ijms21114148.
3
Clinical Use of Cerebral Microdialysis in Patients with Aneurysmal Subarachnoid Hemorrhage-State of the Art.

本文引用的文献

1
Hyperglycemia and cerebral glucose in aneurysmal subarachnoid hemorrhage.动脉瘤性蛛网膜下腔出血中的高血糖与脑葡萄糖
Intensive Care Med. 2008 Jul;34(7):1200-7. doi: 10.1007/s00134-008-1044-5. Epub 2008 Mar 5.
2
Impact of nosocomial infectious complications after subarachnoid hemorrhage.蛛网膜下腔出血后医院感染性并发症的影响
Neurosurgery. 2008 Jan;62(1):80-7; discussion 87. doi: 10.1227/01.NEU.0000311064.18368.EA.
3
Variations in the response of interleukins in neurosurgical intensive care patients monitored using intracerebral microdialysis.
脑微透析在动脉瘤性蛛网膜下腔出血患者中的临床应用——最新进展
Front Neurol. 2017 Nov 3;8:565. doi: 10.3389/fneur.2017.00565. eCollection 2017.
4
Utility of Microdialysis in Infectious Disease Drug Development and Dose Optimization.微透析在传染病药物研发和剂量优化中的应用
AAPS J. 2017 Mar;19(2):334-342. doi: 10.1208/s12248-016-0020-1. Epub 2016 Dec 9.
5
Neuron-Specific Enolase Is Correlated to Compromised Cerebral Metabolism in Patients Suffering from Acute Bacterial Meningitis; An Observational Cohort Study.神经元特异性烯醇化酶与急性细菌性脑膜炎患者脑代谢受损相关;一项观察性队列研究。
PLoS One. 2016 Mar 28;11(3):e0152268. doi: 10.1371/journal.pone.0152268. eCollection 2016.
6
Dexamethasone retrodialysis attenuates microglial response to implanted probes in vivo.地塞米松逆向透析可减轻体内小胶质细胞对植入探针的反应。
Biomaterials. 2016 May;87:157-169. doi: 10.1016/j.biomaterials.2016.02.013. Epub 2016 Feb 10.
7
Shunt-dependent hydrocephalus after aneurysmal subarachnoid hemorrhage: the role of intrathecal interleukin-6.蛛网膜下腔出血后与分流相关的脑积水:鞘内白细胞介素-6的作用。
Neurocrit Care. 2014 Aug;21(1):78-84. doi: 10.1007/s12028-014-9991-x.
8
Cerebral microdialysis in traumatic brain injury and subarachnoid hemorrhage: state of the art.脑创伤和蛛网膜下腔出血的脑微透析:最新技术。
Neurocrit Care. 2014 Aug;21(1):152-62. doi: 10.1007/s12028-013-9884-4.
9
Effect of dexamethasone on gliosis, ischemia, and dopamine extraction during microdialysis sampling in brain tissue.地塞米松对脑组织微透析取样期间神经胶质增生、缺血和多巴胺提取的影响。
Anal Chem. 2011 Oct 15;83(20):7662-7. doi: 10.1021/ac200782h. Epub 2011 Sep 15.
10
Monitoring and detection of vasospasm II: EEG and invasive monitoring.血管痉挛的监测和检测 II:脑电图和有创监测。
Neurocrit Care. 2011 Sep;15(2):318-23. doi: 10.1007/s12028-011-9583-y.
使用脑微透析监测的神经外科重症监护患者白细胞介素反应的变化。
J Neurosurg. 2007 May;106(5):820-5. doi: 10.3171/jns.2007.106.5.820.
4
Emergency diagnosis and treatment of adult meningitis.成人脑膜炎的急诊诊断与治疗
Lancet Infect Dis. 2007 Mar;7(3):191-200. doi: 10.1016/S1473-3099(07)70050-6.
5
Performance of a predictive rule to distinguish bacterial and viral meningitis.一种用于区分细菌性和病毒性脑膜炎的预测规则的性能。
J Infect. 2007 Apr;54(4):328-36. doi: 10.1016/j.jinf.2006.06.009. Epub 2006 Aug 2.
6
Continuous monitoring of cerebral metabolism in traumatic brain injury: a focus on cerebral microdialysis.创伤性脑损伤中脑代谢的连续监测:聚焦于脑微透析
Curr Opin Crit Care. 2006 Apr;12(2):112-8. doi: 10.1097/01.ccx.0000216576.11439.df.
7
Lack of value of routine analysis of cerebrospinal fluid for prediction and diagnosis of external drainage-related bacterial meningitis.脑脊液常规分析对预测和诊断外引流相关细菌性脑膜炎缺乏价值。
J Neurosurg. 2006 Jan;104(1):101-8. doi: 10.3171/jns.2006.104.1.101.
8
Ventriculostomy-related infections in critically ill patients: a 6-year experience.重症患者脑室造口术相关感染:6年经验
J Neurosurg. 2005 Sep;103(3):468-72. doi: 10.3171/jns.2005.103.3.0468.
9
Effect of bacterial meningitis complicating severe head trauma upon brain microdialysis and cerebral perfusion.细菌性脑膜炎并发严重头部创伤对脑微透析和脑灌注的影响。
Neurocrit Care. 2005;2(3):282-7. doi: 10.1385/NCC:2:3:282.
10
Periodic surveillance of nosocomial infections in a neurosurgery intensive care unit.神经外科重症监护病房医院感染的定期监测
Infection. 2005 Jun;33(3):115-21. doi: 10.1007/s15010-005-3070-3.