Suppr超能文献

两种无标记全局定量方法(APEX和二维凝胶电泳)应用于痢疾志贺氏菌蛋白质组的比较。

Comparison of two label-free global quantitation methods, APEX and 2D gel electrophoresis, applied to the Shigella dysenteriae proteome.

作者信息

Kuntumalla Srilatha, Braisted John C, Huang Shih-Ting, Parmar Prashanth P, Clark David J, Alami Hamid, Zhang Quanshun, Donohue-Rolfe Arthur, Tzipori Saul, Fleischmann Robert D, Peterson Scott N, Pieper Rembert

机构信息

Pathogen Functional Genomics Resource Center, J Craig Venter Institute, Rockville, MD 20850, USA.

出版信息

Proteome Sci. 2009 Jun 29;7:22. doi: 10.1186/1477-5956-7-22.

Abstract

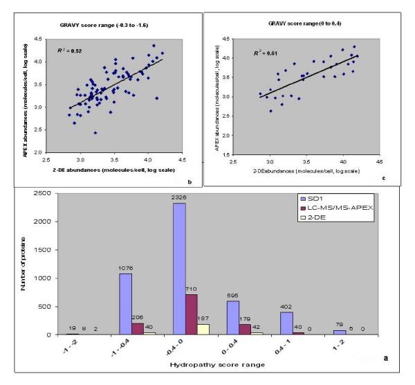
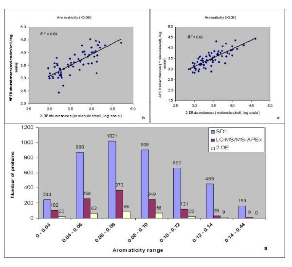
The in vitro stationary phase proteome of the human pathogen Shigella dysenteriae serotype 1 (SD1) was quantitatively analyzed in Coomassie Blue G250 (CBB)-stained 2D gels. More than four hundred and fifty proteins, of which 271 were associated with distinct gel spots, were identified. In parallel, we employed 2D-LC-MS/MS followed by the label-free computationally modified spectral counting method APEX for absolute protein expression measurements. Of the 4502 genome-predicted SD1 proteins, 1148 proteins were identified with a false positive discovery rate of 5% and quantitated using 2D-LC-MS/MS and APEX. The dynamic range of the APEX method was approximately one order of magnitude higher than that of CBB-stained spot intensity quantitation. A squared Pearson correlation analysis revealed a reasonably good correlation (R2 = 0.67) for protein quantities surveyed by both methods. The correlation was decreased for protein subsets with specific physicochemical properties, such as low Mr values and high hydropathy scores. Stoichiometric ratios of subunits of protein complexes characterized in E. coli were compared with APEX quantitative ratios of orthologous SD1 protein complexes. A high correlation was observed for subunits of soluble cellular protein complexes in several cases, demonstrating versatile applications of the APEX method in quantitative proteomics.

摘要

在考马斯亮蓝G250(CBB)染色的二维凝胶中对人类病原体痢疾志贺氏菌1型(SD1)的体外稳定期蛋白质组进行了定量分析。鉴定出四百五十多种蛋白质,其中271种与不同的凝胶斑点相关。同时,我们采用二维液相色谱-串联质谱(2D-LC-MS/MS),随后使用无标记计算修饰光谱计数方法APEX进行绝对蛋白质表达测量。在4502个基因组预测的SD1蛋白质中,鉴定出1148种蛋白质,其假阳性发现率为5%,并使用二维液相色谱-串联质谱和APEX进行定量。APEX方法的动态范围比CBB染色斑点强度定量法高约一个数量级。平方皮尔逊相关分析显示,两种方法测量的蛋白质数量具有相当好的相关性(R2 = 0.67)。对于具有特定物理化学性质的蛋白质亚组,如低分子量值和高亲水性评分,相关性降低。将大肠杆菌中表征的蛋白质复合物亚基的化学计量比与直系同源SD1蛋白质复合物的APEX定量比进行比较。在几种情况下,可溶性细胞蛋白质复合物的亚基观察到高度相关性,证明了APEX方法在定量蛋白质组学中的广泛应用。

https://cdn.ncbi.nlm.nih.gov/pmc/blobs/1bca/2716310/3d53b32dcacb/1477-5956-7-22-1.jpg

文献AI研究员

20分钟写一篇综述,助力文献阅读效率提升50倍。

立即体验

用中文搜PubMed

大模型驱动的PubMed中文搜索引擎

马上搜索

文档翻译

学术文献翻译模型,支持多种主流文档格式。

立即体验