Suppr超能文献

用于测定药物制剂中氟西汀的新分光光度法和荧光分析法。

New spectrophotometric and fluorimetric methods for determination of fluoxetine in pharmaceutical formulations.

作者信息

Darwish Ibrahim A, Amer Sawsan M, Abdine Heba H, Al-Rayes Lama I

机构信息

Department of Pharmaceutical Chemistry, College of Pharmacy, King Saud University, P.O. Box 2457, Riyadh 11451, Saudi Arabia.

出版信息

Int J Anal Chem. 2009;2009:257306. doi: 10.1155/2009/257306. Epub 2009 Aug 16.

Abstract

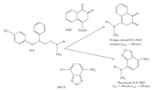
New simple and sensitive spectrophotometric and fluorimetric methods have been developed and validated for the determination of fluoxetine hydrochloride (FLX) in its pharmaceutical formulations. The spectrophotometric method was based on the reaction of FLX with 1,2-naphthoquinone-4-sulphonate (NQS) in an alkaline medium (pH 11) to form an orange-colored product that was measured at 490 nm. The fluorimetric method was based on the reaction of FLX with 4-chloro-7-nitrobenzo-2-oxa-1,3-diazole (NBD-Cl) in an alkaline medium (pH 8) to form a highly fluorescent product that was measured at 545 nm after excitation at 490 nm. The variables affecting the reactions of FLX with both NQS and NBD-Cl were carefully studied and optimized. The kinetics of the reactions were investigated, and the reaction mechanisms were presented. Under the optimum reaction conditions, good linear relationships were found between the readings and the concentrations of FLX in the ranges of 0.3-6 and 0.035-0.5 mug mL(-1) for the spectrophotometric and fluorimetric methods, respectively. The limits of detection were 0.1 and 0.01 mug mL(-1) for the spectrophotometric and fluorimetric methods, respectively. Both methods were successfully applied to the determination of FLX in its pharmaceutical formulations.

摘要

已开发并验证了用于测定盐酸氟西汀(FLX)药物制剂的新的简单、灵敏的分光光度法和荧光分析法。分光光度法基于FLX与1,2-萘醌-4-磺酸盐(NQS)在碱性介质(pH 11)中反应形成橙色产物,于490 nm处进行测定。荧光分析法基于FLX与4-氯-7-硝基苯并-2-恶唑-1,3-二唑(NBD-Cl)在碱性介质(pH 8)中反应形成高荧光产物,在490 nm激发后于545 nm处进行测定。仔细研究并优化了影响FLX与NQS和NBD-Cl反应的变量。研究了反应动力学并提出了反应机理。在最佳反应条件下,分光光度法和荧光分析法中,读数与FLX浓度在0.3 - 6和0.035 - 0.5 μg mL⁻¹范围内分别呈现良好的线性关系。分光光度法和荧光分析法的检测限分别为0.1和0.01 μg mL⁻¹。两种方法均成功应用于FLX药物制剂的测定。

https://cdn.ncbi.nlm.nih.gov/pmc/blobs/d0fe/2809328/78376c4cedd1/IJAC2009-257306.001.jpg

文献AI研究员

20分钟写一篇综述,助力文献阅读效率提升50倍。

立即体验

用中文搜PubMed

大模型驱动的PubMed中文搜索引擎

马上搜索

文档翻译

学术文献翻译模型,支持多种主流文档格式。

立即体验