Suppr超能文献

快速测定生物样本中三羧酸循环酶的活性。

Rapid determination of tricarboxylic acid cycle enzyme activities in biological samples.

机构信息

Inserm, U676, Paris, 75019 France.

出版信息

BMC Biochem. 2010 Jan 28;11:5. doi: 10.1186/1471-2091-11-5.

Abstract

BACKGROUND

In the last ten years, deficiencies in tricarboxylic acid cycle (TCAC) enzymes have been shown to cause a wide spectrum of human diseases, including malignancies and neurological and cardiac diseases. A prerequisite to the identification of disease-causing TCAC enzyme deficiencies is the availability of effective enzyme assays.

RESULTS

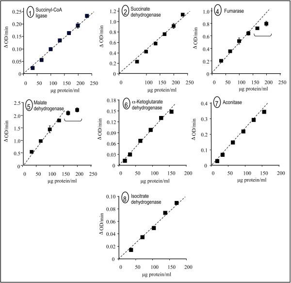
We developed three assays that measure the full set of TCAC enzymes. One assay relies on the sequential addition of reagents to measure succinyl-CoA ligase activity, followed by succinate dehydrogenase, fumarase and, finally, malate dehydrogenase. Another assay measures the activity of alpha-ketoglutarate dehydrogenase followed by aconitase and isocitrate dehydrogenase. The remaining assay measures citrate synthase activity using a standard procedure. We used these assays successfully on extracts of small numbers of human cells displaying various severe or partial TCAC deficiencies and on frozen heart homogenates from heterozygous mice harboring an SDHB gene deletion.

CONCLUSION

This set of assays is rapid and simple to use and can immediately detect even partial defects, as the activity of each enzyme can be readily compared with one or more other activities measured in the same sample.

摘要

背景

在过去的十年中,三羧酸循环(TCAC)酶的缺乏已被证明会导致广泛的人类疾病,包括恶性肿瘤以及神经和心脏疾病。确定导致 TCAC 酶缺乏的疾病的前提是要有有效的酶检测方法。

结果

我们开发了三种可测量整套 TCAC 酶的检测方法。一种方法依赖于试剂的顺序添加,以测量琥珀酰辅酶 A 连接酶的活性,然后是琥珀酸脱氢酶、延胡索酸酶,最后是苹果酸脱氢酶。另一种方法测量α-酮戊二酸脱氢酶的活性,然后是顺乌头酸酶和异柠檬酸脱氢酶。其余的检测方法使用标准程序测量柠檬酸合酶的活性。我们成功地在显示各种严重或部分 TCAC 缺乏的少量人类细胞提取物上,以及在携带 SDHB 基因缺失的杂合子小鼠的冷冻心脏匀浆上使用了这些检测方法。

结论

这套检测方法快速且易于使用,即使是部分缺陷也能立即检测到,因为每个酶的活性可以很容易地与在同一样本中测量的一个或多个其他活性进行比较。

https://cdn.ncbi.nlm.nih.gov/pmc/blobs/757a/2823639/8931a3646ce5/1471-2091-11-5-1.jpg

文献检索

告别复杂PubMed语法,用中文像聊天一样搜索,搜遍4000万医学文献。AI智能推荐,让科研检索更轻松。

立即免费搜索

文件翻译

保留排版,准确专业,支持PDF/Word/PPT等文件格式,支持 12+语言互译。

免费翻译文档

深度研究

AI帮你快速写综述,25分钟生成高质量综述,智能提取关键信息,辅助科研写作。

立即免费体验