Suppr超能文献

一项探索性临床试验,旨在检测突变型 von Hippel-Lindau 肽作为一种新型免疫疗法在转移性肾细胞癌中的疗效。

A pilot clinical trial testing mutant von Hippel-Lindau peptide as a novel immune therapy in metastatic renal cell carcinoma.

机构信息

Vaccine Branch, NCI, NIH, Bethesda, MD, USA.

出版信息

J Transl Med. 2010 Jan 28;8:8. doi: 10.1186/1479-5876-8-8.

Abstract

BACKGROUND

Due to the lack of specific tumor antigens, the majority of tested cancer vaccines for renal cell carcinoma (RCC) are based on tumor cell lysate. The identification of the von Hippel-Lindau (VHL) gene mutations in RCC patients provided the potential for developing a novel targeted vaccine for RCC. In this pilot study, we tested the feasibility of vaccinating advanced RCC patients with the corresponding mutant VHL peptides.

METHODS

Six patients with advanced RCC and mutated VHL genes were vaccinated with the relevant VHL peptides. Patients were injected with the peptide mixed with Montanide subcutaneously (SQ) every 4 weeks until disease progression or until the utilization of all available peptide stock.

RESULTS

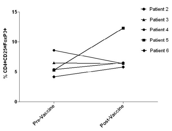
Four out of five evaluable patients (80%) generated specific immune responses against the corresponding mutant VHL peptides. The vaccine was well tolerated. No grade III or IV toxicities occurred. The median overall survival (OS) and median progression-free survival (PFS) were 30.5 and 6.5 months, respectively.

CONCLUSIONS

The vaccine demonstrated safety and proved efficacy in generating specific immune response to the mutant VHL peptide. Despite the fact that the preparation of these custom-made vaccines is time consuming, the utilization of VHL as a vaccine target presents a promising approach because of the lack of other specific targets for RCC. Accordingly, developing mutant VHL peptides as vaccines for RCC warrants further investigation in larger trials.

TRIAL REGISTRATION

98C0139.

摘要

背景

由于缺乏特异性肿瘤抗原,大多数经测试的肾细胞癌(RCC)癌症疫苗都是基于肿瘤细胞裂解物。在 RCC 患者中鉴定出 von Hippel-Lindau(VHL)基因突变,为开发用于 RCC 的新型靶向疫苗提供了可能。在这项初步研究中,我们测试了用相应的突变 VHL 肽对晚期 RCC 患者进行疫苗接种的可行性。

方法

6 名携带 VHL 基因突变的晚期 RCC 患者接受了相关 VHL 肽的疫苗接种。患者每 4 周接受一次与 Montanide 混合的皮下注射(SQ),直到疾病进展或用尽所有可用的肽库存。

结果

5 名可评估患者中有 4 名(80%)对相应的突变 VHL 肽产生了特异性免疫反应。疫苗具有良好的耐受性。未发生 3 级或 4 级毒性。中位总生存期(OS)和中位无进展生存期(PFS)分别为 30.5 个月和 6.5 个月。

结论

该疫苗具有安全性,能够在产生针对突变 VHL 肽的特异性免疫反应方面证明疗效。尽管制备这些定制疫苗需要花费时间,但由于缺乏 RCC 的其他特异性靶标,因此将 VHL 用作疫苗靶标具有很大的潜力。因此,进一步在更大规模的试验中研究突变 VHL 肽作为 RCC 疫苗是值得的。

试验注册号

98C0139。

https://cdn.ncbi.nlm.nih.gov/pmc/blobs/501f/2843651/bbb199d33577/1479-5876-8-8-1.jpg

文献检索

告别复杂PubMed语法,用中文像聊天一样搜索,搜遍4000万医学文献。AI智能推荐,让科研检索更轻松。

立即免费搜索

文件翻译

保留排版,准确专业,支持PDF/Word/PPT等文件格式,支持 12+语言互译。

免费翻译文档

深度研究

AI帮你快速写综述,25分钟生成高质量综述,智能提取关键信息,辅助科研写作。

立即免费体验