• 文献检索
  • 文档翻译
  • 深度研究
  • 学术资讯
  • Suppr Zotero 插件Zotero 插件
  • 邀请有礼
  • 套餐&价格
  • 历史记录
应用&插件
Suppr Zotero 插件Zotero 插件浏览器插件Mac 客户端Windows 客户端微信小程序
定价
高级版会员购买积分包购买API积分包
服务
文献检索文档翻译深度研究API 文档MCP 服务
关于我们
关于 Suppr公司介绍联系我们用户协议隐私条款
关注我们

Suppr 超能文献

核心技术专利:CN118964589B侵权必究
粤ICP备2023148730 号-1Suppr @ 2026

文献检索

告别复杂PubMed语法,用中文像聊天一样搜索,搜遍4000万医学文献。AI智能推荐,让科研检索更轻松。

立即免费搜索

文件翻译

保留排版,准确专业,支持PDF/Word/PPT等文件格式,支持 12+语言互译。

免费翻译文档

深度研究

AI帮你快速写综述,25分钟生成高质量综述,智能提取关键信息,辅助科研写作。

立即免费体验

寒冷暴露会加剧大鼠糖尿病性多发性神经病变的发展。

Cold exposure exacerbates the development of diabetic polyneuropathy in the rat.

作者信息

Kasselman Lora J, Veves Aristidis, Gibbons Christopher H, Rutkove Seward B

机构信息

Division of Neuromuscular Diseases, Department of Neurology, Beth Israel Deaconess Medical Center, 330 Brookline Avenue, Boston, MA 02215, USA.

出版信息

Exp Diabetes Res. 2009;2009:827943. doi: 10.1155/2009/827943. Epub 2010 Jan 14.

DOI:10.1155/2009/827943
PMID:20130819
原文链接:https://pmc.ncbi.nlm.nih.gov/articles/PMC2814234/
Abstract

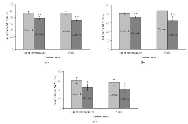
Diabetic polyneuropathy (DPN) and cold-induced nerve injury share several pathogenic mechanisms. This study explores whether cold exposure contributes to the development of DPN. Streptozotocin-induced diabetic rats and controls were exposed to a room temperature (23 degrees C) or cold environment (10 degrees C). H-reflex, tail and sciatic motor, and sensory nerve conduction studies were performed. Analyses of sural nerve, intraepidermal nerve fibers, and skin and nerve nitrotyrosine ELISAs were performed. Diabetic animals exposed to a cold environment had an increased H-reflex four weeks earlier than diabetic room temperature animals (P = .03). Cold-exposed diabetic animals also had greater reduction in motor conduction velocities at 20 weeks (P = .017), decreased skin nerve fiber density (P = .037), and increased skin nitrotyrosine levels (P = .047). Cold exposure appears to hasten the development of DPN in the rat STZ model of diabetes. These findings support that further study into the relationship between ambient temperature and DPN is warranted.

摘要

糖尿病性多发性神经病变(DPN)与冷诱导神经损伤具有若干共同的致病机制。本研究探讨寒冷暴露是否会促使DPN的发生发展。将链脲佐菌素诱导的糖尿病大鼠及对照大鼠暴露于室温(23摄氏度)或寒冷环境(10摄氏度)中。进行了H反射、尾部及坐骨神经运动和感觉神经传导研究。对腓肠神经、表皮内神经纤维以及皮肤和神经硝基酪氨酸酶联免疫吸附测定(ELISA)进行了分析。暴露于寒冷环境的糖尿病动物比处于室温的糖尿病动物早四周出现H反射增强(P = 0.03)。暴露于寒冷环境的糖尿病动物在20周时运动传导速度的降低也更明显(P = 0.017),皮肤神经纤维密度降低(P = 0.037),皮肤硝基酪氨酸水平升高(P = 0.047)。在大鼠糖尿病链脲佐菌素模型中,寒冷暴露似乎会加速DPN的发生发展。这些发现支持有必要进一步研究环境温度与DPN之间的关系。

https://cdn.ncbi.nlm.nih.gov/pmc/blobs/4d46/2814234/0e26ee39036a/EDR2009-827943.004.jpg
https://cdn.ncbi.nlm.nih.gov/pmc/blobs/4d46/2814234/18eca03d2114/EDR2009-827943.001.jpg
https://cdn.ncbi.nlm.nih.gov/pmc/blobs/4d46/2814234/faff288e399f/EDR2009-827943.002.jpg
https://cdn.ncbi.nlm.nih.gov/pmc/blobs/4d46/2814234/47c88d78c2c0/EDR2009-827943.003.jpg
https://cdn.ncbi.nlm.nih.gov/pmc/blobs/4d46/2814234/0e26ee39036a/EDR2009-827943.004.jpg
https://cdn.ncbi.nlm.nih.gov/pmc/blobs/4d46/2814234/18eca03d2114/EDR2009-827943.001.jpg
https://cdn.ncbi.nlm.nih.gov/pmc/blobs/4d46/2814234/faff288e399f/EDR2009-827943.002.jpg
https://cdn.ncbi.nlm.nih.gov/pmc/blobs/4d46/2814234/47c88d78c2c0/EDR2009-827943.003.jpg
https://cdn.ncbi.nlm.nih.gov/pmc/blobs/4d46/2814234/0e26ee39036a/EDR2009-827943.004.jpg

相似文献

1
Cold exposure exacerbates the development of diabetic polyneuropathy in the rat.寒冷暴露会加剧大鼠糖尿病性多发性神经病变的发展。
Exp Diabetes Res. 2009;2009:827943. doi: 10.1155/2009/827943. Epub 2010 Jan 14.
2
Ranirestat Improved Nerve Conduction Velocities, Sensory Perception, and Intraepidermal Nerve Fiber Density in Rats with Overt Diabetic Polyneuropathy.雷那度胺改善了显性糖尿病多发性神经病大鼠的神经传导速度、感觉知觉和表皮内神经纤维密度。
J Diabetes Res. 2019 Nov 18;2019:2756020. doi: 10.1155/2019/2756020. eCollection 2019.
3
Peripheral neuropathy in mice with neuronal nitric oxide synthase gene deficiency.神经元型一氧化氮合酶基因缺陷小鼠的周围神经病变
Int J Mol Med. 2009 May;23(5):571-80. doi: 10.3892/ijmm_00000166.
4
A quantitative comparison of motor and sensory conduction velocities in short- and long-term streptozotocin- and alloxan-diabetic rats.短期和长期链脲佐菌素及四氧嘧啶糖尿病大鼠运动和感觉传导速度的定量比较
J Neurol Sci. 1980 Oct;48(1):133-52. doi: 10.1016/0022-510x(80)90156-2.
5
A peroxynitrite decomposition catalyst counteracts sensory neuropathy in streptozotocin-diabetic mice.一种过氧亚硝酸盐分解催化剂可对抗链脲佐菌素诱导的糖尿病小鼠的感觉神经病变。
Eur J Pharmacol. 2007 Aug 13;569(1-2):48-58. doi: 10.1016/j.ejphar.2007.05.055. Epub 2007 Jun 9.
6
The role of activated partial thrombin time in mediating the impact of poorly glycemic control on diabetic peripheral neuropathy in patients with type 2 diabetes mellitus.活化部分凝血活酶时间在介导血糖控制不佳对2型糖尿病患者糖尿病周围神经病变影响中的作用。
Front Endocrinol (Lausanne). 2025 Jan 23;16:1501323. doi: 10.3389/fendo.2025.1501323. eCollection 2025.
7
Characterization of diabetic neuropathy in the Zucker diabetic Sprague-Dawley rat: a new animal model for type 2 diabetes.Zucker糖尿病Sprague-Dawley大鼠糖尿病神经病变的特征:一种2型糖尿病的新动物模型。
J Diabetes Res. 2014;2014:714273. doi: 10.1155/2014/714273. Epub 2014 Oct 13.
8
Transplantation of bone marrow-derived mononuclear cells improves mechanical hyperalgesia, cold allodynia and nerve function in diabetic neuropathy.骨髓源单核细胞移植可改善糖尿病神经病变的机械性痛觉过敏、冷感觉异常和神经功能。
PLoS One. 2011;6(11):e27458. doi: 10.1371/journal.pone.0027458. Epub 2011 Nov 18.
9
Prevention and reversal of motor and sensory peripheral nerve conduction abnormalities in streptozotocin-diabetic rats by the prostacyclin analogue iloprost.前列环素类似物伊洛前列素对链脲佐菌素诱导的糖尿病大鼠运动和感觉性周围神经传导异常的预防及逆转作用
Naunyn Schmiedebergs Arch Pharmacol. 1993 May;347(5):534-40. doi: 10.1007/BF00166747.
10
Treatment with Actovegin® improves sensory nerve function and pathology in streptozotocin-diabetic rats via mechanisms involving inhibition of PARP activation.用爱维治®治疗可通过抑制聚(ADP-核糖)聚合酶(PARP)激活的机制改善链脲佐菌素诱导的糖尿病大鼠的感觉神经功能和病理状态。
Exp Clin Endocrinol Diabetes. 2012 Mar;120(3):132-8. doi: 10.1055/s-0031-1291248. Epub 2011 Oct 21.

引用本文的文献

1
Seasonal Variation in the Prevalence of Common Orthopaedic Upper Extremity Conditions.常见上肢骨科疾病患病率的季节性变化
J Wrist Surg. 2018 Jul;7(3):232-236. doi: 10.1055/s-0037-1612637. Epub 2017 Dec 19.
2
Limb regeneration is impaired in an adult zebrafish model of diabetes mellitus.糖尿病成年斑马鱼模型中肢体再生受损。
Wound Repair Regen. 2010 Sep-Oct;18(5):532-42. doi: 10.1111/j.1524-475X.2010.00613.x.

本文引用的文献

1
Therapeutic hypothermia for spinal cord injury.脊髓损伤的治疗性低温疗法。
Crit Care Med. 2009 Jul;37(7 Suppl):S238-42. doi: 10.1097/CCM.0b013e3181aa5d85.
2
Impaired distal thermoregulation in diabetes and diabetic polyneuropathy.糖尿病及糖尿病性多发性神经病变中远端体温调节受损。
Diabetes Care. 2009 Apr;32(4):671-6. doi: 10.2337/dc08-1844. Epub 2009 Feb 5.
3
Effects of acrylamide on the nervous tissue antioxidant system and sciatic nerve electrophysiology in the rat.丙烯酰胺对大鼠神经组织抗氧化系统及坐骨神经电生理学的影响。
Neurochem Res. 2008 Nov;33(11):2310-7. doi: 10.1007/s11064-008-9730-9. Epub 2008 May 10.
4
Intra-articular temperatures of the knee in sports - an in-vivo study of jogging and alpine skiing.运动中膝关节的关节内温度——慢跑和高山滑雪的体内研究
BMC Musculoskelet Disord. 2008 Apr 11;9:46. doi: 10.1186/1471-2474-9-46.
5
PARP inhibition or gene deficiency counteracts intraepidermal nerve fiber loss and neuropathic pain in advanced diabetic neuropathy.聚(ADP-核糖)聚合酶(PARP)抑制或基因缺陷可对抗晚期糖尿病性神经病变中的表皮内神经纤维丢失和神经性疼痛。
Free Radic Biol Med. 2008 Mar 15;44(6):972-81. doi: 10.1016/j.freeradbiomed.2007.09.013. Epub 2007 Oct 3.
6
Role of nitrosative stress in early neuropathy and vascular dysfunction in streptozotocin-diabetic rats.亚硝化应激在链脲佐菌素诱导的糖尿病大鼠早期神经病变和血管功能障碍中的作用。
Am J Physiol Endocrinol Metab. 2007 Dec;293(6):E1645-55. doi: 10.1152/ajpendo.00479.2007. Epub 2007 Oct 2.
7
Protective effects of cyclooxygenase-2 gene inactivation against peripheral nerve dysfunction and intraepidermal nerve fiber loss in experimental diabetes.环氧化酶-2基因失活对实验性糖尿病外周神经功能障碍和表皮内神经纤维损失的保护作用。
Diabetes. 2007 Dec;56(12):2997-3005. doi: 10.2337/db07-0740. Epub 2007 Aug 24.
8
Induced hypothermia for acute stroke.急性卒中的诱导性低温治疗
Stroke. 2007 Feb;38(2 Suppl):794-9. doi: 10.1161/01.STR.0000247920.15708.fa.
9
F-wave and H-reflex alterations in recently diagnosed diabetic patients.新诊断糖尿病患者的F波和H反射改变
J Clin Neurosci. 2005 Sep;12(7):763-6. doi: 10.1016/j.jocn.2004.09.018.
10
Intraepidermal nerve fiber density in rat foot pad: neuropathologic-neurophysiologic correlation.大鼠足垫表皮内神经纤维密度:神经病理学与神经生理学的相关性
J Peripher Nerv Syst. 2005 Jun;10(2):202-8. doi: 10.1111/j.1085-9489.2005.0010210.x.