• 文献检索
  • 文档翻译
  • 深度研究
  • 学术资讯
  • Suppr Zotero 插件Zotero 插件
  • 邀请有礼
  • 套餐&价格
  • 历史记录
应用&插件
Suppr Zotero 插件Zotero 插件浏览器插件Mac 客户端Windows 客户端微信小程序
定价
高级版会员购买积分包购买API积分包
服务
文献检索文档翻译深度研究API 文档MCP 服务
关于我们
关于 Suppr公司介绍联系我们用户协议隐私条款
关注我们

Suppr 超能文献

核心技术专利:CN118964589B侵权必究
粤ICP备2023148730 号-1Suppr @ 2026

文献检索

告别复杂PubMed语法,用中文像聊天一样搜索,搜遍4000万医学文献。AI智能推荐,让科研检索更轻松。

立即免费搜索

文件翻译

保留排版,准确专业,支持PDF/Word/PPT等文件格式,支持 12+语言互译。

免费翻译文档

深度研究

AI帮你快速写综述,25分钟生成高质量综述,智能提取关键信息,辅助科研写作。

立即免费体验

利用休眠无能突变体鉴定与生长停止和芽休眠进入相关的基因。

Identification of genes associated with growth cessation and bud dormancy entrance using a dormancy-incapable tree mutant.

机构信息

Department of Horticulture, Clemson University, Clemson, SC 29634-0319, USA.

出版信息

BMC Plant Biol. 2010 Feb 9;10:25. doi: 10.1186/1471-2229-10-25.

DOI:10.1186/1471-2229-10-25
PMID:20144228
原文链接:https://pmc.ncbi.nlm.nih.gov/articles/PMC2829590/
Abstract

BACKGROUND

In many tree species the perception of short days (SD) can trigger growth cessation, dormancy entrance, and the establishment of a chilling requirement for bud break. The molecular mechanisms connecting photoperiod perception, growth cessation and dormancy entrance in perennials are not clearly understood. The peach [Prunus persica (L.) Batsch] evergrowing (evg) mutant fails to cease growth and therefore cannot enter dormancy under SD. We used the evg mutant to filter gene expression associated with growth cessation after exposure to SD. Wild-type and evg plants were grown under controlled conditions of long days (16 h/8 h) followed by transfer to SD (8 h/16 h) for eight weeks. Apical tissues were sampled at zero, one, two, four, and eight weeks of SD and suppression subtractive hybridization was performed between genotypes at the same time points.

RESULTS

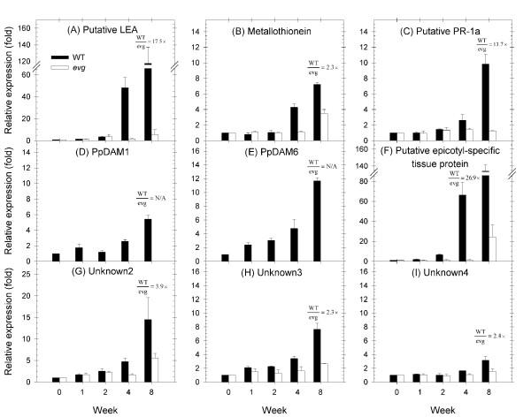
We identified 23 up-regulated genes in the wild-type with respect to the mutant during SD exposure. We used quantitative real-time PCR to verify the expression of the differentially expressed genes in wild-type tissues following the transition to SD treatment. Three general expression patterns were evident: one group of genes decreased at the time of growth cessation (after 2 weeks in SD), another that increased immediately after the SD exposure and then remained steady, and another that increased throughout SD exposure.

CONCLUSIONS

The use of the dormancy-incapable mutant evg has allowed us to reduce the number of genes typically detected by differential display techniques for SD experiments. These genes are candidates for involvement in the signalling pathway leading from photoperiod perception to growth cessation and dormancy entrance and will be the target of future investigations.

摘要

背景

在许多树种中,对短日照(SD)的感知可以触发生长停止、休眠进入和打破休眠的需冷要求。连接光周期感知、生长停止和休眠进入的多年生植物的分子机制尚不清楚。桃[Prunus persica (L.) Batsch]常绿(evg)突变体不能停止生长,因此不能在 SD 下进入休眠。我们使用 evg 突变体来筛选与 SD 暴露后生长停止相关的基因表达。野生型和 evg 植物在长日(16 h/8 h)的受控条件下生长,然后转移到 SD(8 h/16 h)8 周。在 SD 零、一、二、四和八周时,从顶端组织取样,并在相同的时间点在基因型之间进行抑制性消减杂交。

结果

我们在 SD 暴露期间鉴定了 23 个在野生型中相对于突变体上调的基因。我们使用定量实时 PCR 验证了在 SD 处理后野生型组织中差异表达基因的表达。有三种明显的表达模式:一组基因在生长停止时减少(在 SD 2 周后),另一组基因在 SD 暴露后立即增加,然后保持稳定,另一组基因在整个 SD 暴露过程中增加。

结论

使用休眠能力丧失的突变体 evg 使我们能够减少通常通过 SD 实验差异显示技术检测到的基因数量。这些基因是参与从光周期感知到生长停止和休眠进入的信号通路的候选基因,将成为未来研究的目标。

https://cdn.ncbi.nlm.nih.gov/pmc/blobs/0095/2829590/f26b8b79cb58/1471-2229-10-25-5.jpg
https://cdn.ncbi.nlm.nih.gov/pmc/blobs/0095/2829590/fc29da7976bd/1471-2229-10-25-1.jpg
https://cdn.ncbi.nlm.nih.gov/pmc/blobs/0095/2829590/48d3e6a69d1c/1471-2229-10-25-2.jpg
https://cdn.ncbi.nlm.nih.gov/pmc/blobs/0095/2829590/594d36d190e5/1471-2229-10-25-3.jpg
https://cdn.ncbi.nlm.nih.gov/pmc/blobs/0095/2829590/32816236a1e8/1471-2229-10-25-4.jpg
https://cdn.ncbi.nlm.nih.gov/pmc/blobs/0095/2829590/f26b8b79cb58/1471-2229-10-25-5.jpg
https://cdn.ncbi.nlm.nih.gov/pmc/blobs/0095/2829590/fc29da7976bd/1471-2229-10-25-1.jpg
https://cdn.ncbi.nlm.nih.gov/pmc/blobs/0095/2829590/48d3e6a69d1c/1471-2229-10-25-2.jpg
https://cdn.ncbi.nlm.nih.gov/pmc/blobs/0095/2829590/594d36d190e5/1471-2229-10-25-3.jpg
https://cdn.ncbi.nlm.nih.gov/pmc/blobs/0095/2829590/32816236a1e8/1471-2229-10-25-4.jpg
https://cdn.ncbi.nlm.nih.gov/pmc/blobs/0095/2829590/f26b8b79cb58/1471-2229-10-25-5.jpg

相似文献

1
Identification of genes associated with growth cessation and bud dormancy entrance using a dormancy-incapable tree mutant.利用休眠无能突变体鉴定与生长停止和芽休眠进入相关的基因。
BMC Plant Biol. 2010 Feb 9;10:25. doi: 10.1186/1471-2229-10-25.
2
Dormancy-associated MADS genes from the EVG locus of peach [Prunus persica (L.) Batsch] have distinct seasonal and photoperiodic expression patterns.来自桃[Prunus persica (L.) Batsch] EVG位点的休眠相关MADS基因具有不同的季节性和光周期表达模式。
J Exp Bot. 2009;60(12):3521-30. doi: 10.1093/jxb/erp195. Epub 2009 Jun 24.
3
Meta-analysis of RNA-Seq studies reveals genes with dominant functions during flower bud endo- to eco-dormancy transition in Prunus species.RNA-Seq 研究的荟萃分析揭示了桃属植物芽内休眠向生态休眠过渡过程中具有主导功能的基因。
Sci Rep. 2021 Jun 23;11(1):13173. doi: 10.1038/s41598-021-92600-6.
4
Identification of genes associated with bud dormancy release in Prunus persica by suppression subtractive hybridization.利用抑制差减杂交技术鉴定桃芽休眠解除相关基因。
Tree Physiol. 2010 May;30(5):655-66. doi: 10.1093/treephys/tpq008. Epub 2010 Mar 15.
5
Gene expression of DAM5 and DAM6 is suppressed by chilling temperatures and inversely correlated with bud break rate.基因表达 DAM5 和 DAM6 受到冷温的抑制,与萌芽率呈负相关。
Plant Mol Biol. 2010 May;73(1-2):157-67. doi: 10.1007/s11103-010-9608-5. Epub 2010 Feb 9.
6
A deletion affecting several gene candidates is present in the Evergrowing peach mutant.在“Evergrowing”桃突变体中存在一个影响多个候选基因的缺失。
J Hered. 2004 Sep-Oct;95(5):436-44. doi: 10.1093/jhered/esh057.
7
RNA-Seq-based transcriptome analysis of dormant flower buds of Chinese cherry (Prunus pseudocerasus).基于RNA测序的中国樱桃(Prunus pseudocerasus)休眠花芽转录组分析
Gene. 2015 Jan 25;555(2):362-76. doi: 10.1016/j.gene.2014.11.032. Epub 2014 Nov 15.
8
A Tree Ortholog of SHORT VEGETATIVE PHASE Floral Repressor Mediates Photoperiodic Control of Bud Dormancy.一个拟南芥短日开花抑制子的同源基因通过光周期途径调控芽休眠。
Curr Biol. 2019 Jan 7;29(1):128-133.e2. doi: 10.1016/j.cub.2018.11.006. Epub 2018 Dec 13.
9
Components acting downstream of short day perception regulate differential cessation of cambial activity and associated responses in early and late clones of hybrid poplar.短日感知下游的作用元件调控杂种杨早期和晚期无性系中不同的形成层活动停止和相关反应。
Plant Physiol. 2010 Nov;154(3):1294-303. doi: 10.1104/pp.110.163907. Epub 2010 Sep 16.
10
Transcriptome analysis of seed dormancy after rinsing and chilling in ornamental peaches (Prunus persica (L.) Batsch).观赏桃(Prunus persica (L.) Batsch)漂洗和冷藏后种子休眠的转录组分析
BMC Genomics. 2016 Aug 8;17:575. doi: 10.1186/s12864-016-2973-y.

引用本文的文献

1
Altered expression of a raspberry homologue of VRN1 is associated with disruption of dormancy induction and misregulation of subsets of dormancy-associated genes.覆盆子同源物 VRN1 的表达改变与休眠诱导中断和休眠相关基因亚组的失调有关。
J Exp Bot. 2024 Oct 16;75(19):6167-6181. doi: 10.1093/jxb/erae371.
2
Ppe.CR.1 DNA test for predicting chilling requirement in peach.桃果实需冷量 CR.1 Ppe DNA 测定
Sci Rep. 2023 Jan 18;13(1):987. doi: 10.1038/s41598-023-27475-w.
3
Meta-analysis of RNA-Seq studies reveals genes with dominant functions during flower bud endo- to eco-dormancy transition in Prunus species.

本文引用的文献

1
Mapping quantitative trait loci associated with chilling requirement, heat requirement and bloom date in peach (Prunus persica).定位与桃(Prunus persica)的需冷量、需热量和开花期相关的数量性状基因座。
New Phytol. 2010 Mar;185(4):917-30. doi: 10.1111/j.1469-8137.2009.03119.x. Epub 2009 Dec 16.
2
Phylogenetic analysis and molecular evolution of the dormancy associated MADS-box genes from peach.桃中与休眠相关的MADS-box基因的系统发育分析与分子进化
BMC Plant Biol. 2009 Jun 27;9:81. doi: 10.1186/1471-2229-9-81.
3
Dormancy-associated MADS genes from the EVG locus of peach [Prunus persica (L.) Batsch] have distinct seasonal and photoperiodic expression patterns.
RNA-Seq 研究的荟萃分析揭示了桃属植物芽内休眠向生态休眠过渡过程中具有主导功能的基因。
Sci Rep. 2021 Jun 23;11(1):13173. doi: 10.1038/s41598-021-92600-6.
4
Elucidation of molecular and hormonal background of early growth cessation and endodormancy induction in two contrasting Populus hybrid cultivars.阐明两个不同的美洲黑杨杂交品种中早期生长停止和内休眠诱导的分子和激素背景。
BMC Plant Biol. 2021 Feb 24;21(1):111. doi: 10.1186/s12870-021-02828-7.
5
Dormant but Active: Chilling Accumulation Modulates the Epigenome and Transcriptome of During Bud Dormancy.休眠但活跃:低温积累对芽休眠期间的表观基因组和转录组的调控
Front Plant Sci. 2020 Jul 17;11:1115. doi: 10.3389/fpls.2020.01115. eCollection 2020.
6
Distinctive Gene Expression Patterns Define Endodormancy to Ecodormancy Transition in Apricot and Peach.独特的基因表达模式界定了杏和桃从内休眠到生态休眠的转变。
Front Plant Sci. 2020 Feb 28;11:180. doi: 10.3389/fpls.2020.00180. eCollection 2020.
7
I Want to (Bud) Break Free: The Potential Role of and -Like Genes in Regulating Dormancy Cycle in Temperate Fruit Trees.我想要(芽)挣脱束缚:与 - 样基因在调节温带果树休眠周期中的潜在作用。
Front Plant Sci. 2019 Jan 10;9:1990. doi: 10.3389/fpls.2018.01990. eCollection 2018.
8
Modulation of Dormancy and Growth Responses in Reproductive Buds of Temperate Trees.温带树木生殖芽中休眠与生长响应的调控
Front Plant Sci. 2018 Sep 13;9:1368. doi: 10.3389/fpls.2018.01368. eCollection 2018.
9
PmCBFs synthetically affect PmDAM6 by alternative promoter binding and protein complexes towards the dormancy of bud for Prunus mume.PmCBFs 通过替代启动子结合和蛋白质复合物对 PmDAM6 进行综合影响,从而影响梅花芽休眠。
Sci Rep. 2018 Mar 14;8(1):4527. doi: 10.1038/s41598-018-22537-w.
10
Comparative proteomics reveals the physiological differences between winter tender shoots and spring tender shoots of a novel tea (Camellia sinensis L.) cultivar evergrowing in winter.比较蛋白质组学揭示了冬季生长新型茶树(Camellia sinensis L.)冬芽和春芽之间的生理差异。
BMC Plant Biol. 2017 Nov 20;17(1):206. doi: 10.1186/s12870-017-1144-x.
来自桃[Prunus persica (L.) Batsch] EVG位点的休眠相关MADS基因具有不同的季节性和光周期表达模式。
J Exp Bot. 2009;60(12):3521-30. doi: 10.1093/jxb/erp195. Epub 2009 Jun 24.
4
Amplification efficiency: linking baseline and bias in the analysis of quantitative PCR data.扩增效率:定量PCR数据分析中基线与偏差的关联
Nucleic Acids Res. 2009 Apr;37(6):e45. doi: 10.1093/nar/gkp045. Epub 2009 Feb 22.
5
Plant responses to photoperiod.植物对光周期的反应。
New Phytol. 2009;181(3):517-31. doi: 10.1111/j.1469-8137.2008.02681.x.
6
Transcriptome analysis identifies novel responses and potential regulatory genes involved in seasonal dormancy transitions of leafy spurge (Euphorbia esula L.).转录组分析确定了与叶状大戟(Euphorbia esula L.)季节性休眠转变相关的新反应和潜在调控基因。
BMC Genomics. 2008 Nov 12;9:536. doi: 10.1186/1471-2164-9-536.
7
Transcript profiling in Vitis riparia during chilling requirement fulfillment reveals coordination of gene expression patterns with optimized bud break.河岸葡萄满足需冷量过程中的转录谱分析揭示了基因表达模式与优化萌芽的协调性。
Funct Integr Genomics. 2009 Feb;9(1):81-96. doi: 10.1007/s10142-008-0090-y. Epub 2008 Jul 17.
8
Silencing of acidic pathogenesis-related PR-1 genes increases extracellular beta-(1->3)-glucanase activity at the onset of tobacco defence reactions.酸性病程相关蛋白PR-1基因的沉默会在烟草防御反应开始时增加细胞外β-(1->3)-葡聚糖酶的活性。
J Exp Bot. 2008;59(6):1225-39. doi: 10.1093/jxb/ern044. Epub 2008 Apr 4.
9
LEA (late embryogenesis abundant) proteins and their encoding genes in Arabidopsis thaliana.拟南芥中的胚胎后期丰富(LEA)蛋白及其编码基因。
BMC Genomics. 2008 Mar 4;9:118. doi: 10.1186/1471-2164-9-118.
10
Transcriptional profiles of the annual growth cycle in Populus deltoides.美洲黑杨年度生长周期的转录谱
Tree Physiol. 2008 Mar;28(3):321-9. doi: 10.1093/treephys/28.3.321.