Suppr超能文献

不同基于影像的操作程序之间是否存在基本心理运动技能的转移?

Do basic psychomotor skills transfer between different image-based procedures?

机构信息

Faculty of Industrial Design Engineering, Delft University of Technology, Landbergstraat 15, 2628 CE, Delft, The Netherlands.

出版信息

World J Surg. 2010 May;34(5):933-40. doi: 10.1007/s00268-010-0432-5.

Abstract

BACKGROUND

Surgical techniques that draw from multiple types of image-based procedures (IBP) are increasing, such as Natural Orifice Transluminal Endoscopic Surgery, fusing laparoscopy and flexible endoscopy. However, little is known about the relation between psychomotor skills for performing different types of IBP. For example, do basic psychomotor colonoscopy and laparoscopy skills interact?

METHODS

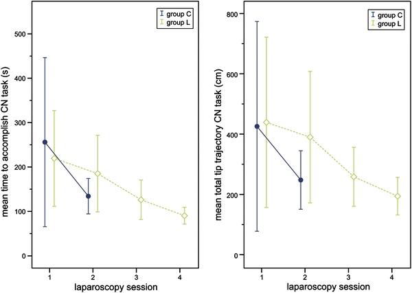
Following a cross-over study design, 29 naïve endoscopists were trained on the Simbionix GI Mentor and the SimSurgery SEP simulators. Group C (n = 15) commenced with a laparoscopy session, followed by four colonoscopy sessions and a second laparoscopy session. Group L (n = 14) started with a colonoscopy session, followed by four laparoscopy sessions and a second colonoscopy session.

RESULTS

No significant differences were found between the performances of group L and group C in their first training sessions on either technique. With additional colonoscopy training, group C outperformed group L in the second laparoscopy training session on the camera navigation task.

CONCLUSIONS

Overall, training in the basic colonoscopy tasks does not affect performance of basic laparoscopy tasks (and vice versa). However, to limited extent, training of basic psychomotor skills for colonoscopy do appear to contribute to the performance of angled laparoscope navigation tasks. Thus, training and assessment of IBP type-specific skills should focus on each type of tasks independently. Future research should further investigate the influence of psychometric abilities on the performance of IBP and the transfer of skills for physicians who are experienced in one IBP type and would like to become proficient in another type of IBP.

摘要

背景

越来越多的外科技术借鉴了多种基于图像的程序(IBP),例如经自然腔道内镜外科手术,将腹腔镜和软性内镜融合在一起。然而,对于执行不同类型的 IBP 的心理运动技能之间的关系,人们知之甚少。例如,基本的结肠镜和腹腔镜心理运动技能是否相互影响?

方法

采用交叉研究设计,29 名新手内镜医师在 Simbionix GI Mentor 和 SimSurgery SEP 模拟器上接受培训。C 组(n = 15)首先进行腹腔镜手术,然后进行四次结肠镜手术,最后再进行第二次腹腔镜手术。L 组(n = 14)首先进行结肠镜手术,然后进行四次腹腔镜手术,最后再进行第二次结肠镜手术。

结果

在首次接受两种技术的培训中,L 组和 C 组的表现没有明显差异。在进行更多的结肠镜培训后,C 组在第二次腹腔镜手术的摄像导航任务中表现优于 L 组。

结论

总体而言,基本结肠镜任务的培训不会影响基本腹腔镜任务的表现(反之亦然)。然而,在有限的程度上,基本结肠镜心理运动技能的培训似乎有助于角式腹腔镜导航任务的表现。因此,IBP 类型特定技能的培训和评估应独立关注每种类型的任务。未来的研究应进一步调查心理测量能力对 IBP 性能和对已熟练掌握一种 IBP 类型的医生的技能转移的影响。

https://cdn.ncbi.nlm.nih.gov/pmc/blobs/b9f5/2848730/217af3427e56/268_2010_432_Fig1_HTML.jpg

文献AI研究员

20分钟写一篇综述,助力文献阅读效率提升50倍。

立即体验

用中文搜PubMed

大模型驱动的PubMed中文搜索引擎

马上搜索

文档翻译

学术文献翻译模型,支持多种主流文档格式。

立即体验