Suppr超能文献

在一只反复出现病毒血症和致命淋巴瘤的猫中,高度分化的猫白血病病毒 A 后代变异体占主导地位。

Dominance of highly divergent feline leukemia virus A progeny variants in a cat with recurrent viremia and fatal lymphoma.

机构信息

Clinical Laboratory, Vetsuisse Faculty, University of Zurich, Zurich, Switzerland.

出版信息

Retrovirology. 2010 Feb 19;7:14. doi: 10.1186/1742-4690-7-14.

Abstract

BACKGROUND

In a cat that had ostensibly recovered from feline leukemia virus (FeLV) infection, we observed the reappearance of the virus and the development of fatal lymphoma 8.5 years after the initial experimental exposure to FeLV-A/Glasgow-1. The goals of the present study were to investigate this FeLV reoccurrence and molecularly characterize the progeny viruses.

RESULTS

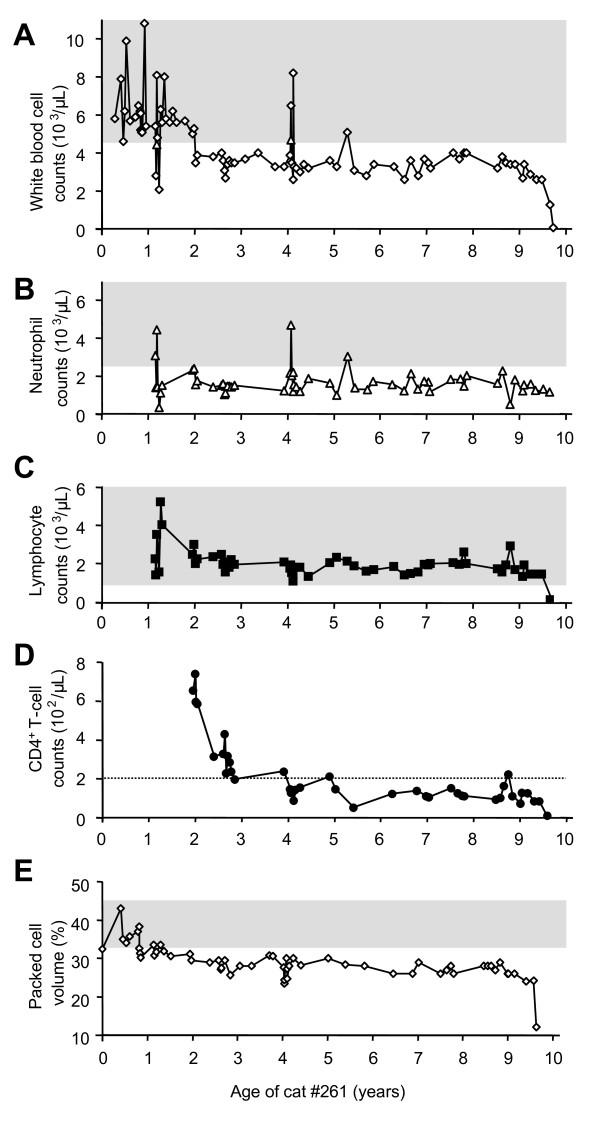
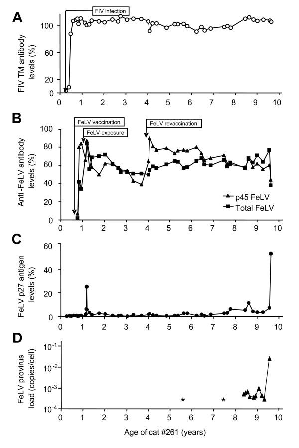
The FeLV reoccurrence was detected by the presence of FeLV antigen and RNA in the blood and saliva. The cat was feline immunodeficiency virus positive and showed CD4+ T-cell depletion, severe leukopenia, anemia and a multicentric monoclonal B-cell lymphoma. FeLV-A, but not -B or -C, was detectable. Sequencing of the envelope gene revealed three FeLV variants that were highly divergent from the virus that was originally inoculated (89-91% identity to FeLV-A/Glasgow-1). In the long terminal repeat 31 point mutations, some previously described in cats with lymphomas, were detected. The FeLV variant tissue provirus and viral RNA loads were significantly higher than the FeLV-A/Glasgow-1 loads. Moreover, the variant loads were significantly higher in lymphoma positive compared to lymphoma negative tissues. An increase in the variant provirus blood load was observed at the time of FeLV reoccurrence.

CONCLUSIONS

Our results demonstrate that ostensibly recovered FeLV provirus-positive cats may act as a source of infection following FeLV reactivation. The virus variants that had largely replaced the inoculation strain had unusually heavily mutated envelopes. The mutations may have led to increased viral fitness and/or changed the mutagenic characteristics of the virus.

摘要

背景

在一只表面上从猫白血病病毒(FeLV)感染中康复的猫中,我们观察到病毒重新出现,并在最初暴露于 FeLV-A/Glasgow-1 后 8.5 年发展为致命性淋巴瘤。本研究的目的是研究这种 FeLV 复发,并对衍生病毒进行分子特征分析。

结果

通过血液和唾液中存在 FeLV 抗原和 RNA 检测到 FeLV 复发。该猫感染了猫免疫缺陷病毒,表现出 CD4+T 细胞耗竭、严重白细胞减少、贫血和多中心单克隆 B 细胞淋巴瘤。可检测到 FeLV-A,但不能检测到 -B 或 -C。包膜基因测序显示,三种 FeLV 变体与最初接种的病毒高度不同(与 FeLV-A/Glasgow-1 的同源性为 89-91%)。在长末端重复 31 个点突变中,检测到一些先前在患有淋巴瘤的猫中描述过的突变。FeLV 变体组织前病毒和病毒 RNA 载量明显高于 FeLV-A/Glasgow-1 载量。此外,在淋巴瘤阳性组织中变体载量明显高于淋巴瘤阴性组织。在 FeLV 复发时观察到变体前病毒血液载量增加。

结论

我们的结果表明,表面上恢复的 FeLV 前病毒阳性猫在 FeLV 重新激活后可能成为感染源。已基本取代接种株的病毒变体具有异常大量突变的包膜。这些突变可能导致病毒适应性增加和/或改变病毒的诱变特征。

https://cdn.ncbi.nlm.nih.gov/pmc/blobs/f9c0/2837606/d7fc6212db29/1742-4690-7-14-1.jpg

文献检索

告别复杂PubMed语法,用中文像聊天一样搜索,搜遍4000万医学文献。AI智能推荐,让科研检索更轻松。

立即免费搜索

文件翻译

保留排版,准确专业,支持PDF/Word/PPT等文件格式,支持 12+语言互译。

免费翻译文档

深度研究

AI帮你快速写综述,25分钟生成高质量综述,智能提取关键信息,辅助科研写作。

立即免费体验