• 文献检索
  • 文档翻译
  • 深度研究
  • 学术资讯
  • Suppr Zotero 插件Zotero 插件
  • 邀请有礼
  • 套餐&价格
  • 历史记录
应用&插件
Suppr Zotero 插件Zotero 插件浏览器插件Mac 客户端Windows 客户端微信小程序
定价
高级版会员购买积分包购买API积分包
服务
文献检索文档翻译深度研究API 文档MCP 服务
关于我们
关于 Suppr公司介绍联系我们用户协议隐私条款
关注我们

Suppr 超能文献

核心技术专利:CN118964589B侵权必究
粤ICP备2023148730 号-1Suppr @ 2026

文献检索

告别复杂PubMed语法,用中文像聊天一样搜索,搜遍4000万医学文献。AI智能推荐,让科研检索更轻松。

立即免费搜索

文件翻译

保留排版,准确专业,支持PDF/Word/PPT等文件格式,支持 12+语言互译。

免费翻译文档

深度研究

AI帮你快速写综述,25分钟生成高质量综述,智能提取关键信息,辅助科研写作。

立即免费体验

对参加印度南部四个邦哨点监测的孕妇中高危人群参数与 HIV 流行率之间关联的生态学分析。

Ecological analysis of the association between high-risk population parameters and HIV prevalence among pregnant women enrolled in sentinel surveillance in four Southern India states.

机构信息

URESP, Centre de recherche FRSQ du Centre de recherche du CHA universitaire de Québec, Québec, Canada.

出版信息

Sex Transm Infect. 2010 Feb;86 Suppl 1(Suppl_1):i10-6. doi: 10.1136/sti.2009.038323.

DOI:10.1136/sti.2009.038323
PMID:20167724
原文链接:https://pmc.ncbi.nlm.nih.gov/articles/PMC3252620/
Abstract

BACKGROUND

The HIV epidemic is very heterogeneous at the district level in the four Southern states of India most affected by the epidemic and where transmission is mainly heterosexual. The authors carried out an ecological study of the relationship between high-risk population parameters and HIV prevalence among pregnant women (ANC HIV prevalence).

METHODS

The data used in this study included: ANC HIV prevalence available from the National AIDS Control Organization (dependent variable); data on prevalence of HIV and other sexually transmitted infections among female sex workers (FSWs), their clients and high-risk men who have sex with men (HR-MSM) from studies carried out in 24 districts under Avahan; data on clients' volume reported by FSWs and on the size estimates of FSWs and HR-MSM in each district; and census data. The latter two sets of data were used to estimate the percentage of female (male) adults who are FSWs (HR-MSM). The latter was also multiplied by HIV prevalence in FSWs (HR-MSM) to obtain the percentage of HIV-positive FSWs (HR-MSM) in the adult female (male) population. Linear regression was used for statistical analyses.

RESULTS

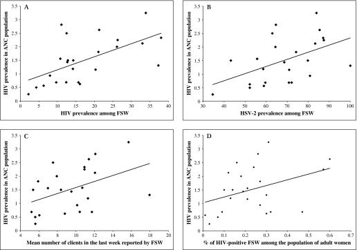
In univariate analyses, HIV (r=0.59, p=0.002) and HSV-2 (r=0.49, p=0.014) prevalence among FSWs and mean number of clients in the last week reported by FSWs (r=0.43, p=0.036) were significant predictors of ANC HIV prevalence. In multivariate analysis, only FSW HIV prevalence remained significant.

CONCLUSIONS

This ecological study suggests that there is a link between HIV prevalence among FSWs and the spread of HIV to the general population in Southern India. Such an observation supports the rationale of interventions targeted at the sex industry.

摘要

背景

在受艾滋病影响最严重的印度南部四个邦,艾滋病疫情在地区层面上呈现出高度异质性,传播途径主要为异性传播。作者对高危人群参数与孕妇(ANC 艾滋病病毒感染率)中艾滋病流行率之间的关系进行了生态研究。

方法

本研究使用的数据包括:国家艾滋病控制组织提供的 ANC 艾滋病病毒感染率(因变量);在阿瓦汉项目下对 24 个地区的女性性工作者(FSW)、其客户以及男男性行为者(MSM)中 HIV 和其他性传播感染的流行率进行研究的数据;FSW 报告的客户数量数据以及每个地区 FSW 和 MSM 规模的估计数据;以及人口普查数据。后两组数据用于估计女性(男性)成年人中 FSW(MSM)的百分比。后者还乘以 FSW(MSM)中的 HIV 流行率,以获得成年女性(男性)人口中 HIV 阳性 FSW(MSM)的百分比。采用线性回归进行统计分析。

结果

在单变量分析中,FSW 中的 HIV(r=0.59,p=0.002)和 HSV-2(r=0.49,p=0.014)流行率以及 FSW 报告的上周平均客户数量(r=0.43,p=0.036)是 ANC 艾滋病病毒感染率的显著预测因素。在多变量分析中,只有 FSW 的 HIV 流行率仍然显著。

结论

这项生态研究表明,FSW 中的 HIV 流行率与印度南部艾滋病向普通人群的传播之间存在联系。这种观察结果支持了针对性产业的干预措施的基本原理。

https://cdn.ncbi.nlm.nih.gov/pmc/blobs/ae5a/3252620/7e879cf7040c/sti038323.f1.jpg
https://cdn.ncbi.nlm.nih.gov/pmc/blobs/ae5a/3252620/7e879cf7040c/sti038323.f1.jpg
https://cdn.ncbi.nlm.nih.gov/pmc/blobs/ae5a/3252620/7e879cf7040c/sti038323.f1.jpg

相似文献

1
Ecological analysis of the association between high-risk population parameters and HIV prevalence among pregnant women enrolled in sentinel surveillance in four Southern India states.对参加印度南部四个邦哨点监测的孕妇中高危人群参数与 HIV 流行率之间关联的生态学分析。
Sex Transm Infect. 2010 Feb;86 Suppl 1(Suppl_1):i10-6. doi: 10.1136/sti.2009.038323.
2
Multilevel Analysis of the Predictors of HIV Prevalence among Pregnant Women Enrolled in Annual HIV Sentinel Surveillance in Four States in Southern India.印度南部四个邦参加年度艾滋病毒哨点监测的孕妇中艾滋病毒流行率预测因素的多水平分析
PLoS One. 2015 Jul 6;10(7):e0131629. doi: 10.1371/journal.pone.0131629. eCollection 2015.
3
To what extent is the HIV epidemic in southern India driven by commercial sex? A modelling analysis.印度南部的艾滋病疫情在多大程度上是由商业性交易驱动的?一项建模分析。
AIDS. 2010 Oct 23;24(16):2563-72. doi: 10.1097/QAD.0b013e32833e8663.
4
Interim modelling analysis to validate reported increases in condom use and assess HIV infections averted among female sex workers and clients in southern India following a targeted HIV prevention programme.针对印度南部一项以目标人群为基础的艾滋病预防规划,开展了中期模型分析,以验证所报告的避孕套使用率提高和女性性工作者及嫖客中艾滋病感染减少情况。
Sex Transm Infect. 2010 Feb;86 Suppl 1(Suppl 1):i33-43. doi: 10.1136/sti.2009.038950.
5
Programme coverage, condom use and STI treatment among FSWs in a large-scale HIV prevention programme: results from cross-sectional surveys in 22 districts in southern India.在印度南部 22 个地区进行的大规模艾滋病毒预防规划中,性工作者的方案覆盖范围、避孕套使用和性传播感染治疗情况:横断面调查结果。
Sex Transm Infect. 2010 Feb;86 Suppl 1(Suppl_1):i62-8. doi: 10.1136/sti.2009.038760.
6
Assessment of levels and trends of HIV infections among different subgroup populations of Gujarat State - Prioritization of the districts.古吉拉特邦不同亚人群体中艾滋病毒感染水平及趋势评估——各地区的优先排序
Indian J Public Health. 2023 Jul-Sep;67(3):364-369. doi: 10.4103/ijph.ijph_65_23.
7
Targeted interventions of the Avahan program and their association with intermediate outcomes among female sex workers in Maharashtra, India.印度马哈拉施特拉邦“阿瓦安”项目的针对性干预及其与女性性工作者中间结局的关系。
BMC Public Health. 2011 Dec 29;11 Suppl 6(Suppl 6):S2. doi: 10.1186/1471-2458-11-S6-S2.
8
Declining Inconsistent Condom Use but Increasing HIV and Syphilis Prevalence Among Older Male Clients of Female Sex Workers: Analysis From Sentinel Surveillance Sites (2010-2015), Guangxi, China.女性性工作者老年男性客户中不一致使用避孕套的情况有所下降,但艾滋病毒和梅毒患病率却在上升:来自中国广西哨点监测点的分析(2010 - 2015年)
Medicine (Baltimore). 2016 May;95(22):e3726. doi: 10.1097/MD.0000000000003726.
9
Using mathematical modelling to investigate the plausibility of attributing observed antenatal clinic declines to a female sex worker intervention in Karnataka state, India.利用数学模型研究将印度卡纳塔克邦产前诊所就诊人数的下降归因于女性性工作者干预措施的合理性。
AIDS. 2008 Dec;22 Suppl 5:S149-64. doi: 10.1097/01.aids.0000343773.59776.5b.
10
Sexual practices, HIV and sexually transmitted infections among self-identified men who have sex with men in four high HIV prevalence states of India.印度四个艾滋病高流行邦中自我认定的男男性行为者的性行为、艾滋病毒及性传播感染情况
AIDS. 2008 Dec;22 Suppl 5:S45-57. doi: 10.1097/01.aids.0000343763.54831.15.

引用本文的文献

1
An Analysis of Levels and Trends in HIV Prevalence Among Pregnant Women Attending Antenatal Clinics in Karnataka, South India, 2003-2019.2003 - 2019年印度南部卡纳塔克邦产前诊所就诊孕妇中艾滋病毒流行水平及趋势分析
Int J MCH AIDS. 2021;10(2):198-209. doi: 10.21106/ijma.520. Epub 2021 Nov 1.
2
Determinants of consistently high HIV prevalence in Indian Districts: A multi-level analysis.印度各地区 HIV 持续高流行率的决定因素:一项多层次分析。
PLoS One. 2019 May 7;14(5):e0216321. doi: 10.1371/journal.pone.0216321. eCollection 2019.
3
Descriptive Epidemiology of Factors Associated with HIV Infections Among Men and Transgender Women Who Have Sex with Men in South India.

本文引用的文献

1
Determinants of HIV prevalence among female sex workers in four south Indian states: analysis of cross-sectional surveys in twenty-three districts.印度南部四个邦女性性工作者中艾滋病毒流行率的决定因素:对23个地区横断面调查的分析
AIDS. 2008 Dec;22 Suppl 5:S35-44. doi: 10.1097/01.aids.0000343762.54831.5c.
2
Appropriateness and execution challenges of three formal size estimation methods for high-risk populations in India.印度针对高风险人群的三种正式规模估计方法的适用性及实施挑战。
AIDS. 2008 Dec;22 Suppl 5:S137-48. doi: 10.1097/01.aids.0000343772.82647.2d.
3
Commercial sex and HIV transmission in mature epidemics: a study of five African countries.
描述性流行病学研究印度南部男男性行为者和跨性别女性中与 HIV 感染相关的因素。
LGBT Health. 2016 Aug;3(4):292-9. doi: 10.1089/lgbt.2015.0023. Epub 2016 Apr 8.
4
Multilevel Analysis of the Predictors of HIV Prevalence among Pregnant Women Enrolled in Annual HIV Sentinel Surveillance in Four States in Southern India.印度南部四个邦参加年度艾滋病毒哨点监测的孕妇中艾滋病毒流行率预测因素的多水平分析
PLoS One. 2015 Jul 6;10(7):e0131629. doi: 10.1371/journal.pone.0131629. eCollection 2015.
5
Increased HIV prevention program coverage and decline in HIV prevalence among female sex workers in south India.印度南部女性性工作者中艾滋病预防项目覆盖范围扩大,艾滋病流行率下降。
Sex Transm Dis. 2014 Jun;41(6):380-7. doi: 10.1097/OLQ.0000000000000138.
6
Two cross-sectional studies in south India assessing the effect of an HIV prevention programme for female sex workers on reducing syphilis among their clients.在印度南部开展的两项横断面研究,评估一项针对女性性工作者的艾滋病毒预防项目对减少其嫖客梅毒感染的效果。
Sex Transm Infect. 2014 Nov;90(7):556-62. doi: 10.1136/sextrans-2013-051301. Epub 2014 May 7.
7
The Association between Noncommercial Partnerships and Risk of HIV among Female Sex Workers: Evidences from a Cross-Sectional Behavioral and Biological Survey in Southern India.非商业伙伴关系与女性性工作者感染艾滋病毒风险之间的关联:来自印度南部一项横断面行为与生物学调查的证据
AIDS Res Treat. 2013;2013:108630. doi: 10.1155/2013/108630. Epub 2013 Mar 4.
8
The Intersection between Sex Work and Reproductive Health in Northern Karnataka, India: Identifying Gaps and Opportunities in the Context of HIV Prevention.印度北卡纳塔克邦性工作与生殖健康的交叉领域:在艾滋病预防背景下识别差距与机遇
AIDS Res Treat. 2012;2012:842576. doi: 10.1155/2012/842576. Epub 2012 Dec 30.
9
Heterogeneity of the HIV epidemic in the general population of Karnataka state, south India.印度南部卡纳塔克邦普通人群中 HIV 流行的异质性。
BMC Public Health. 2011 Dec 29;11 Suppl 6(Suppl 6):S13. doi: 10.1186/1471-2458-11-S6-S13.
10
Condom use within non-commercial partnerships of female sex workers in southern India.印度南部女性性工作者中非商业性伴侣间的 condom 使用情况。
BMC Public Health. 2011 Dec 29;11 Suppl 6(Suppl 6):S11. doi: 10.1186/1471-2458-11-S6-S11.
成熟疫情中的商业性行为与艾滋病毒传播:对五个非洲国家的研究
Int J STD AIDS. 2008 Oct;19(10):660-4. doi: 10.1258/ijsa.2008.008099.
4
Size matters: the number of prostitutes and the global HIV/AIDS pandemic.规模很重要:妓女数量与全球艾滋病大流行。
PLoS One. 2007 Jun 20;2(6):e543. doi: 10.1371/journal.pone.0000543.
5
Male circumcision for HIV prevention in men in Rakai, Uganda: a randomised trial.乌干达拉凯地区男性包皮环切术预防男性感染艾滋病毒的随机试验。
Lancet. 2007 Feb 24;369(9562):657-66. doi: 10.1016/S0140-6736(07)60313-4.
6
Male circumcision for HIV prevention in young men in Kisumu, Kenya: a randomised controlled trial.肯尼亚基苏木年轻男性包皮环切术预防艾滋病病毒感染的随机对照试验。
Lancet. 2007 Feb 24;369(9562):643-56. doi: 10.1016/S0140-6736(07)60312-2.
7
What is the achievable effectiveness of the India AIDS Initiative intervention among female sex workers under target coverage? Model projections from southern India.在目标覆盖范围内,印度艾滋病防治倡议对女性性工作者的干预措施可取得怎样的成效?来自印度南部的模型预测。
Sex Transm Infect. 2006 Oct;82(5):372-80. doi: 10.1136/sti.2006.020875.
8
Containing HIV/AIDS in India: the unfinished agenda.在印度控制艾滋病毒/艾滋病:未竟议程。
Lancet Infect Dis. 2006 Aug;6(8):508-21. doi: 10.1016/S1473-3099(06)70551-5.
9
Estimates of the number of female sex workers in different regions of the world.对世界不同地区女性性工作者数量的估计。
Sex Transm Infect. 2006 Jun;82 Suppl 3(Suppl 3):iii18-25. doi: 10.1136/sti.2006.020081.
10
Trends in HIV-1 in young adults in south India from 2000 to 2004: a prevalence study.2000年至2004年印度南部年轻成年人中HIV-1的流行趋势:一项患病率研究。
Lancet. 2006 Apr 8;367(9517):1164-72. doi: 10.1016/S0140-6736(06)68435-3.