• 文献检索
  • 文档翻译
  • 深度研究
  • 学术资讯
  • Suppr Zotero 插件Zotero 插件
  • 邀请有礼
  • 套餐&价格
  • 历史记录
应用&插件
Suppr Zotero 插件Zotero 插件浏览器插件Mac 客户端Windows 客户端微信小程序
定价
高级版会员购买积分包购买API积分包
服务
文献检索文档翻译深度研究API 文档MCP 服务
关于我们
关于 Suppr公司介绍联系我们用户协议隐私条款
关注我们

Suppr 超能文献

核心技术专利:CN118964589B侵权必究
粤ICP备2023148730 号-1Suppr @ 2026

文献检索

告别复杂PubMed语法,用中文像聊天一样搜索,搜遍4000万医学文献。AI智能推荐,让科研检索更轻松。

立即免费搜索

文件翻译

保留排版,准确专业,支持PDF/Word/PPT等文件格式,支持 12+语言互译。

免费翻译文档

深度研究

AI帮你快速写综述,25分钟生成高质量综述,智能提取关键信息,辅助科研写作。

立即免费体验

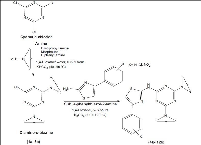
N-[4-(4-取代苯基)-1,3-噻唑-2-基]-1,3,5-三嗪-2-胺的合成与抗菌评估

Synthesis and Antibacterial Assessment of N-[4-(4-substituted phenyl)-1,3-thiazol-2-yl]-1,3,5-triazin-2-amine.

作者信息

Gahtori P, Das A, Bhatt H

机构信息

Department of Pharmacy, Kumaun University, Bhimtal-263 136, India.

出版信息

Indian J Pharm Sci. 2009 Jan;71(1):79-82. doi: 10.4103/0250-474X.51960.

DOI:10.4103/0250-474X.51960
PMID:20177467
原文链接:https://pmc.ncbi.nlm.nih.gov/articles/PMC2810059/
Abstract

In a wide search program towards new and efficient antibacterial agents, we assessed the extent to which physicochemical properties can be exploited to promote antibacterial activity associated with a series of substituted s-triazine. The synthesized compounds (1a-12b) were subsequently screened for their in vitro antibacterial activity against three gram positive (Bacillus subtilis, Bacillus cereus, Staphylococcus aureus) and three Gram-negative microorganism (Salmonella typhi, Escherichia coli, Klebsiella aerogenes) by the broth dilution technique, recommended by European Committee for antimicrobial susceptibility testing with reference to streptomycin.

摘要

在一项针对新型高效抗菌剂的广泛研究计划中,我们评估了利用物理化学性质来促进一系列取代 s-三嗪的抗菌活性的程度。随后,通过肉汤稀释技术,参照链霉素,按照欧洲抗菌药物敏感性试验委员会推荐的方法,对合成的化合物(1a - 12b)针对三种革兰氏阳性菌(枯草芽孢杆菌、蜡样芽孢杆菌、金黄色葡萄球菌)和三种革兰氏阴性菌(伤寒沙门氏菌、大肠杆菌、产气克雷伯菌)进行了体外抗菌活性筛选。

https://cdn.ncbi.nlm.nih.gov/pmc/blobs/320f/2810059/051777d5c413/IJPhS-71-79-g002.jpg
https://cdn.ncbi.nlm.nih.gov/pmc/blobs/320f/2810059/43ec65bb0fa3/IJPhS-71-79-g001.jpg
https://cdn.ncbi.nlm.nih.gov/pmc/blobs/320f/2810059/051777d5c413/IJPhS-71-79-g002.jpg
https://cdn.ncbi.nlm.nih.gov/pmc/blobs/320f/2810059/43ec65bb0fa3/IJPhS-71-79-g001.jpg
https://cdn.ncbi.nlm.nih.gov/pmc/blobs/320f/2810059/051777d5c413/IJPhS-71-79-g002.jpg

相似文献

1
Synthesis and Antibacterial Assessment of N-[4-(4-substituted phenyl)-1,3-thiazol-2-yl]-1,3,5-triazin-2-amine.N-[4-(4-取代苯基)-1,3-噻唑-2-基]-1,3,5-三嗪-2-胺的合成与抗菌评估
Indian J Pharm Sci. 2009 Jan;71(1):79-82. doi: 10.4103/0250-474X.51960.
2
Synthesis, SAR and antibacterial activity of hybrid chloro, dichloro-phenylthiazolyl-s-triazines.杂化氯、二氯苯基噻唑基-s-三嗪的合成、构效关系及抗菌活性。
Saudi Pharm J. 2012 Jan;20(1):35-43. doi: 10.1016/j.jsps.2011.05.003. Epub 2011 May 17.
3
Synthesis, Characterization and Bioassay of Novel Substituted 1-(3-(1,3-Thiazol-2-yl)phenyl)-5-oxopyrrolidines.新型取代 1-(3-(1,3-噻唑-2-基)苯基)-5-氧代吡咯烷的合成、表征和生物测定。
Molecules. 2020 May 22;25(10):2433. doi: 10.3390/molecules25102433.
4
Gas Chromatography-Mass Spectrometry Profiling of Volatile Metabolites Produced by Some spp. and Evaluation of Their Antibacterial and Antibiotic Activities.利用气相色谱-质谱联用技术对一些 spp.产生的挥发性代谢产物进行分析,并评估其抗菌和抗生素活性。
Molecules. 2023 Nov 12;28(22):7556. doi: 10.3390/molecules28227556.
5
Synthesis, anti-microbial activity, cytotoxicity of some novel substituted (5-(3-(1H-benzo[d]imidazol-2-yl)-4-hydroxybenzyl)benzofuran-2-yl)(phenyl)methanone analogs.一些新型取代的(5-(3-(1H-苯并[d]咪唑-2-基)-4-羟基苄基)苯并呋喃-2-基)(苯基)甲酮类似物的合成、抗菌活性及细胞毒性
Chem Cent J. 2018 Jan 9;12(1):1. doi: 10.1186/s13065-017-0364-3.
6
In Vitro Antibacterial Activity of 4-Phenyl-1-(2-phenyl-allyl)pyridinium bromide: A Novel Class of Pyridinium Based Antibacterial Compounds.4-苯基-1-(2-苯基-烯丙基)吡啶翁溴化物的体外抗菌活性:一类新型的吡啶翁类抗菌化合物。
Indian J Microbiol. 2012 Mar;52(1):83-7. doi: 10.1007/s12088-011-0234-y. Epub 2011 Sep 16.
7
Synthesis, Characterization, Antibacterial and Antioxidant Potency of NSubstituted- 2-Sulfanylidene-1,3-Thiazolidin-4-one Derivatives and QSAR Study.N-取代-2-硫代亚甲基-1,3-噻唑烷-4-酮衍生物的合成、表征、抗菌和抗氧化活性及 QSAR 研究。
Med Chem. 2019;15(8):840-849. doi: 10.2174/1573406415666181205163052.
8
Synthesis of s-triazine-based thiazolidinones as antimicrobial agents.三嗪基噻唑烷酮类化合物的合成及其抗菌活性研究。
Z Naturforsch C J Biosci. 2012 Mar-Apr;67(3-4):108-22.
9
Synthesis and antibacterial activity of a novel series of 2,3-diaryl-substituted-imidazo(2,1-b)-benzothiazole derivatives.合成及新型 2,3-二芳基取代的咪唑并[2,1-b]苯并噻唑衍生物的抗菌活性。
Arch Pharm (Weinheim). 2010 Jun;343(6):353-9. doi: 10.1002/ardp.200900260.
10
Synthesis, biological screening and in silico studies of new N-phenyl-4-(1,3-diaryl-1H-pyrazol-4-yl)thiazol-2-amine derivatives as potential antifungal and antitubercular agents.合成、生物筛选及新型 N-苯基-4-(1,3-二芳基-1H-吡唑-4-基)噻唑-2-胺衍生物的计算机辅助研究作为潜在的抗真菌和抗结核药物。
Eur J Med Chem. 2023 Oct 5;258:115548. doi: 10.1016/j.ejmech.2023.115548. Epub 2023 Jun 7.

引用本文的文献

1
Recent development of leucyl-tRNA synthetase inhibitors as antimicrobial agents.亮氨酰-tRNA合成酶抑制剂作为抗菌剂的最新进展。
Medchemcomm. 2019 May 27;10(8):1329-1341. doi: 10.1039/c9md00139e. eCollection 2019 Aug 1.
2
Hybrid phenylthiazole and 1,3,5-triazine target cytosolic leucyl-tRNA synthetase for antifungal action as revealed by molecular docking studies.分子对接研究表明,杂合苯基噻唑和1,3,5-三嗪靶向胞质亮氨酰-tRNA合成酶以发挥抗真菌作用。
In Silico Pharmacol. 2013 Feb 12;1:3. doi: 10.1186/2193-9616-1-3. eCollection 2013.
3
Synthesis, SAR and antibacterial activity of hybrid chloro, dichloro-phenylthiazolyl-s-triazines.

本文引用的文献

1
Structure-activity relationships of novel antibacterial translation inhibitors: 3,5-diamino-piperidinyl triazines.新型抗菌性翻译抑制剂的构效关系:3,5-二氨基哌啶基三嗪
Bioorg Med Chem Lett. 2006 Oct 15;16(20):5451-6. doi: 10.1016/j.bmcl.2006.07.052. Epub 2006 Aug 4.
2
Synthesis and antibacterial activity of various substituted s-triazines.各种取代均三嗪的合成及其抗菌活性
Eur J Med Chem. 2006 Nov;41(11):1240-6. doi: 10.1016/j.ejmech.2006.05.013. Epub 2006 Jul 11.
3
Synthesis and biological evaluation of some new 3 ,4-dihydropyrimidin-4-ones.
杂化氯、二氯苯基噻唑基-s-三嗪的合成、构效关系及抗菌活性。
Saudi Pharm J. 2012 Jan;20(1):35-43. doi: 10.1016/j.jsps.2011.05.003. Epub 2011 May 17.
一些新型3,4-二氢嘧啶-4-酮的合成与生物学评价
Farmaco. 2001 Sep;56(9):641-6. doi: 10.1016/s0014-827x(01)01118-1.
4
EUCAST Definitive Document E.DEF 3.1, June 2000: Determination of minimum inhibitory concentrations (MICs) of antibacterial agents by agar dilution.欧洲临床微生物与感染性疾病学会(EUCAST)权威文件E.DEF 3.1,2000年6月:用琼脂稀释法测定抗菌药物的最低抑菌浓度(MICs)
Clin Microbiol Infect. 2000 Sep;6(9):509-15. doi: 10.1046/j.1469-0691.2000.00142.x.
5
4-Phenylthiazole derivatives inhibit IL-6 secretion in osteoblastic cells and suppress bone weight loss in ovariectomized mice.4-苯基噻唑衍生物可抑制成骨细胞中白细胞介素-6的分泌,并抑制去卵巢小鼠的骨量流失。
Bioorg Med Chem Lett. 1999 Apr 5;9(7):957-60. doi: 10.1016/s0960-894x(99)00122-5.
6
Synthetic antibacterials. I. Nitrofurylvinyl-s-triazine derivatives.
J Med Chem. 1969 Jan;12(1):39-42. doi: 10.1021/jm00301a010.