• 文献检索
  • 文档翻译
  • 深度研究
  • 学术资讯
  • Suppr Zotero 插件Zotero 插件
  • 邀请有礼
  • 套餐&价格
  • 历史记录
应用&插件
Suppr Zotero 插件Zotero 插件浏览器插件Mac 客户端Windows 客户端微信小程序
定价
高级版会员购买积分包购买API积分包
服务
文献检索文档翻译深度研究API 文档MCP 服务
关于我们
关于 Suppr公司介绍联系我们用户协议隐私条款
关注我们

Suppr 超能文献

核心技术专利:CN118964589B侵权必究
粤ICP备2023148730 号-1Suppr @ 2026

文献检索

告别复杂PubMed语法,用中文像聊天一样搜索,搜遍4000万医学文献。AI智能推荐,让科研检索更轻松。

立即免费搜索

文件翻译

保留排版,准确专业,支持PDF/Word/PPT等文件格式,支持 12+语言互译。

免费翻译文档

深度研究

AI帮你快速写综述,25分钟生成高质量综述,智能提取关键信息,辅助科研写作。

立即免费体验

2 型糖尿病自发模型大鼠胰岛素靶组织的全球 microRNA 表达谱。

Global microRNA expression profiles in insulin target tissues in a spontaneous rat model of type 2 diabetes.

机构信息

Wellcome Trust Centre for Human Genetics, University of Oxford, Roosevelt Drive, Oxford OX3 7BN, UK.

出版信息

Diabetologia. 2010 Jun;53(6):1099-109. doi: 10.1007/s00125-010-1667-2. Epub 2010 Mar 3.

DOI:10.1007/s00125-010-1667-2
PMID:20198361
原文链接:https://pmc.ncbi.nlm.nih.gov/articles/PMC2860560/
Abstract

AIMS/HYPOTHESIS: MicroRNAs regulate a broad range of biological mechanisms. To investigate the relationship between microRNA expression and type 2 diabetes, we compared global microRNA expression in insulin target tissues from three inbred rat strains that differ in diabetes susceptibility.

METHODS

Using microarrays, we measured the expression of 283 microRNAs in adipose, liver and muscle tissue from hyperglycaemic (Goto-Kakizaki), intermediate glycaemic (Wistar Kyoto) and normoglycaemic (Brown Norway) rats (n = 5 for each strain). Expression was compared across strains and validated using quantitative RT-PCR. Furthermore, microRNA expression variation in adipose tissue was investigated in 3T3-L1 adipocytes exposed to hyperglycaemic conditions.

RESULTS

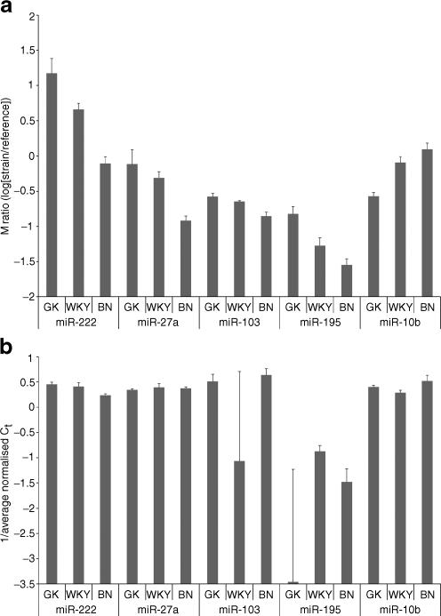
We found 29 significantly differentiated microRNAs (p(adjusted) < 0.05): nine in adipose tissue, 18 in liver and two in muscle. Of these, five microRNAs had expression patterns that correlated with the strain-specific glycaemic phenotype. MiR-222 (p(adjusted) = 0.0005) and miR-27a (p(adjusted) = 0.006) were upregulated in adipose tissue; miR-195 (p(adjusted) = 0.006) and miR-103 (p(adjusted) = 0.04) were upregulated in liver; and miR-10b (p(adjusted) = 0.004) was downregulated in muscle. Exposure of 3T3-L1 adipocytes to increased glucose concentration upregulated the expression of miR-222 (p = 0.008), miR-27a (p = 0.02) and the previously reported miR-29a (p = 0.02). Predicted target genes of these differentially expressed microRNAs are involved in pathways relevant to type 2 diabetes.

CONCLUSION

The expression patterns of miR-222, miR-27a, miR-195, miR-103 and miR-10b varied with hyperglycaemia, suggesting a role for these microRNAs in the pathophysiology of type 2 diabetes, as modelled by the Gyoto-Kakizaki rat. We observed similar patterns of expression of miR-222, miR-27a and miR-29a in adipocytes as a response to increased glucose levels, which supports our hypothesis that altered expression of microRNAs accompanies primary events related to the pathogenesis of type 2 diabetes.

摘要

目的/假设:MicroRNAs 调控广泛的生物学机制。为了研究 microRNA 表达与 2 型糖尿病之间的关系,我们比较了三种不同糖尿病易感性的近交系大鼠胰岛素靶组织中的全局 microRNA 表达。

方法

使用 microarrays,我们测量了高血糖(Goto-Kakizaki)、中间血糖(Wistar Kyoto)和正常血糖(Brown Norway)大鼠脂肪、肝脏和肌肉组织中 283 种 microRNAs 的表达(每种品系 n = 5)。我们比较了不同品系之间的表达情况,并使用定量 RT-PCR 进行了验证。此外,我们还研究了在暴露于高血糖条件下的 3T3-L1 脂肪细胞中脂肪组织中 microRNA 表达的变化。

结果

我们发现了 29 个显著差异表达的 microRNAs(p(adjusted) < 0.05):脂肪组织中有 9 个,肝脏中有 18 个,肌肉中有 2 个。其中,有 5 个 microRNAs 的表达模式与特定的血糖表型相关。miR-222(p(adjusted) = 0.0005)和 miR-27a(p(adjusted) = 0.006)在脂肪组织中上调;miR-195(p(adjusted) = 0.006)和 miR-103(p(adjusted) = 0.04)在肝脏中上调;miR-10b(p(adjusted) = 0.004)在肌肉中下调。3T3-L1 脂肪细胞暴露于高葡萄糖浓度下,miR-222(p = 0.008)、miR-27a(p = 0.02)和先前报道的 miR-29a(p = 0.02)的表达上调。这些差异表达的 microRNAs 的预测靶基因参与与 2 型糖尿病相关的途径。

结论

miR-222、miR-27a、miR-195、miR-103 和 miR-10b 的表达模式随高血糖而变化,表明这些 microRNAs 在 2 型糖尿病的病理生理学中发挥作用,正如 Goto-Kakizaki 大鼠模型所表明的那样。我们在脂肪细胞中观察到 miR-222、miR-27a 和 miR-29a 的相似表达模式,作为对葡萄糖水平升高的反应,这支持了我们的假设,即 microRNAs 的表达改变伴随着与 2 型糖尿病发病机制相关的原发性事件。

https://cdn.ncbi.nlm.nih.gov/pmc/blobs/1df0/2860560/525fa953ffa4/125_2010_1667_Fig5_HTML.jpg
https://cdn.ncbi.nlm.nih.gov/pmc/blobs/1df0/2860560/025dad42244e/125_2010_1667_Fig1_HTML.jpg
https://cdn.ncbi.nlm.nih.gov/pmc/blobs/1df0/2860560/16a8df882530/125_2010_1667_Fig2_HTML.jpg
https://cdn.ncbi.nlm.nih.gov/pmc/blobs/1df0/2860560/d4ee718c2477/125_2010_1667_Fig3_HTML.jpg
https://cdn.ncbi.nlm.nih.gov/pmc/blobs/1df0/2860560/0b68c2f2e4de/125_2010_1667_Fig4_HTML.jpg
https://cdn.ncbi.nlm.nih.gov/pmc/blobs/1df0/2860560/525fa953ffa4/125_2010_1667_Fig5_HTML.jpg
https://cdn.ncbi.nlm.nih.gov/pmc/blobs/1df0/2860560/025dad42244e/125_2010_1667_Fig1_HTML.jpg
https://cdn.ncbi.nlm.nih.gov/pmc/blobs/1df0/2860560/16a8df882530/125_2010_1667_Fig2_HTML.jpg
https://cdn.ncbi.nlm.nih.gov/pmc/blobs/1df0/2860560/d4ee718c2477/125_2010_1667_Fig3_HTML.jpg
https://cdn.ncbi.nlm.nih.gov/pmc/blobs/1df0/2860560/0b68c2f2e4de/125_2010_1667_Fig4_HTML.jpg
https://cdn.ncbi.nlm.nih.gov/pmc/blobs/1df0/2860560/525fa953ffa4/125_2010_1667_Fig5_HTML.jpg

相似文献

1
Global microRNA expression profiles in insulin target tissues in a spontaneous rat model of type 2 diabetes.2 型糖尿病自发模型大鼠胰岛素靶组织的全球 microRNA 表达谱。
Diabetologia. 2010 Jun;53(6):1099-109. doi: 10.1007/s00125-010-1667-2. Epub 2010 Mar 3.
2
MicroRNA-125a is over-expressed in insulin target tissues in a spontaneous rat model of Type 2 Diabetes.在2型糖尿病自发大鼠模型中,微小RNA-125a在胰岛素靶组织中过表达。
BMC Med Genomics. 2009 Aug 18;2:54. doi: 10.1186/1755-8794-2-54.
3
Adipocyte-Derived Exosomal MiR-27a Induces Insulin Resistance in Skeletal Muscle Through Repression of PPARγ.脂肪细胞衍生的外泌体 miR-27a 通过抑制 PPARγ 诱导骨骼肌胰岛素抵抗。
Theranostics. 2018 Mar 8;8(8):2171-2188. doi: 10.7150/thno.22565. eCollection 2018.
4
Overexpression of micro ribonucleic acid 29, highly up-regulated in diabetic rats, leads to insulin resistance in 3T3-L1 adipocytes.微小核糖核酸29在糖尿病大鼠中高度上调,其过表达会导致3T3-L1脂肪细胞产生胰岛素抵抗。
Mol Endocrinol. 2007 Nov;21(11):2785-94. doi: 10.1210/me.2007-0167. Epub 2007 Jul 24.
5
CHANGES IN microRNA (miR) profile and effects of miR-320 in insulin-resistant 3T3-L1 adipocytes.miR 谱的变化及 miR-320 在胰岛素抵抗 3T3-L1 脂肪细胞中的作用。
Clin Exp Pharmacol Physiol. 2009 Sep;36(9):e32-9. doi: 10.1111/j.1440-1681.2009.05207.x. Epub 2009 May 19.
6
Adipose tissue macrophages-derived exosomal MiR-500a-5p under high glucose promotes adipocytes inflammation by suppressing Nrf2 expression.高糖条件下脂肪组织巨噬细胞来源的外泌体MiR-500a-5p通过抑制Nrf2表达促进脂肪细胞炎症。
Int J Biochem Cell Biol. 2025 Jan;178:106713. doi: 10.1016/j.biocel.2024.106713. Epub 2024 Nov 29.
7
MicroRNA-194 Modulates Glucose Metabolism and Its Skeletal Muscle Expression Is Reduced in Diabetes.微小RNA-194调节葡萄糖代谢,且其在骨骼肌中的表达在糖尿病中降低。
PLoS One. 2016 May 10;11(5):e0155108. doi: 10.1371/journal.pone.0155108. eCollection 2016.
8
Picalm, a novel regulator of GLUT4-trafficking in adipose tissue.皮卡尔姆,一种脂肪组织中 GLUT4 运输的新型调节剂。
Mol Metab. 2024 Oct;88:102014. doi: 10.1016/j.molmet.2024.102014. Epub 2024 Aug 28.
9
MicroRNA 144 impairs insulin signaling by inhibiting the expression of insulin receptor substrate 1 in type 2 diabetes mellitus.微小 RNA 144 通过抑制胰岛素受体底物 1 的表达来损害 2 型糖尿病患者的胰岛素信号。
PLoS One. 2011;6(8):e22839. doi: 10.1371/journal.pone.0022839. Epub 2011 Aug 1.
10
Differential glucose-regulation of microRNAs in pancreatic islets of non-obese type 2 diabetes model Goto-Kakizaki rat.非肥胖 2 型糖尿病模型 Goto-Kakizaki 大鼠胰岛中 microRNAs 的差异葡萄糖调节。
PLoS One. 2011 Apr 7;6(4):e18613. doi: 10.1371/journal.pone.0018613.

引用本文的文献

1
Epigenetic Mechanisms in the Transfer of Metabolic Disorders: A Comprehensive Review.代谢紊乱传递中的表观遗传机制:综述
Cureus. 2025 Mar 11;17(3):e80418. doi: 10.7759/cureus.80418. eCollection 2025 Mar.
2
Association of MicroRNA-103 expression with type 2 diabetes mellitus.微小RNA-103表达与2型糖尿病的关联
Caspian J Intern Med. 2024 Oct 19;16(1):106-113. doi: 10.22088/cjim.16.1.106. eCollection 2025 Winter.
3
Targeting the Epigenetic Marks in Type 2 Diabetes Mellitus: Will Epigenetic Therapy Be a Valuable Adjunct to Pharmacotherapy?

本文引用的文献

1
Widespread changes in protein synthesis induced by microRNAs.微小RNA诱导的蛋白质合成的广泛变化。
Nature. 2008 Sep 4;455(7209):58-63. doi: 10.1038/nature07228. Epub 2008 Jul 30.
2
The impact of microRNAs on protein output.微小RNA对蛋白质产出的影响。
Nature. 2008 Sep 4;455(7209):64-71. doi: 10.1038/nature07242. Epub 2008 Jul 30.
3
SNP and haplotype mapping for genetic analysis in the rat.用于大鼠遗传分析的单核苷酸多态性(SNP)和单倍型图谱分析
针对2型糖尿病中的表观遗传标记:表观遗传疗法会成为药物治疗的有效辅助手段吗?
Diabetes Metab Syndr Obes. 2024 Sep 21;17:3557-3576. doi: 10.2147/DMSO.S479077. eCollection 2024.
4
Relationship between circulating thrombospondin-1 messenger ribonucleic acid and microribonucleic acid-194 levels in Chinese patients with type 2 diabetic kidney disease: The outcomes of a case-control study.中国 2 型糖尿病肾病患者循环血栓反应蛋白 1 信使核糖核酸与 microRNA-194 水平的关系:一项病例对照研究的结果。
J Diabetes Investig. 2024 Sep;15(9):1248-1258. doi: 10.1111/jdi.14252. Epub 2024 Jun 26.
5
Early Life Programming of Adipose Tissue Remodeling and Browning Capacity by Micronutrients and Bioactive Compounds as a Potential Anti-Obesity Strategy.微量营养素和生物活性化合物对脂肪组织重塑和棕色化能力的早期生活编程作为一种潜在的抗肥胖策略。
Cells. 2024 May 18;13(10):870. doi: 10.3390/cells13100870.
6
miR-369-3p ameliorates diabetes-associated atherosclerosis by regulating macrophage succinate-GPR91 signalling.miR-369-3p 通过调节巨噬细胞琥珀酸-GPR91 信号改善糖尿病相关动脉粥样硬化。
Cardiovasc Res. 2024 Nov 25;120(14):1693-1712. doi: 10.1093/cvr/cvae102.
7
Molecular micromanagement: DNA nanotechnology establishes spatio-temporal control for precision medicine.分子微观管理:DNA纳米技术为精准医学建立时空控制。
Biophys Rev (Melville). 2020 Dec 24;1(1):011305. doi: 10.1063/5.0033378. eCollection 2020 Dec.
8
The serum small non-coding RNA (SncRNA) landscape as a molecular biomarker of age associated muscle dysregulation and insulin resistance in older adults.血清小非编码 RNA(SncRNA)谱作为与年龄相关的肌肉失调和老年人胰岛素抵抗的分子生物标志物。
FASEB J. 2024 Feb 15;38(3):e23423. doi: 10.1096/fj.202301089RR.
9
miR-499a rs3746444 A>G Polymorphism Is Correlated with Type 2 Diabetes Mellitus and Diabetic Polyneuropathy in a Romanian Cohort: A Preliminary Study.miR-499a rs3746444 A>G 多态性与罗马尼亚队列 2 型糖尿病及糖尿病周围神经病变相关:一项初步研究。
Genes (Basel). 2023 Jul 27;14(8):1543. doi: 10.3390/genes14081543.
10
Novel insights regarding the role of noncoding RNAs in diabetes.关于非编码RNA在糖尿病中作用的新见解。
World J Diabetes. 2023 Jul 15;14(7):958-976. doi: 10.4239/wjd.v14.i7.958.
Nat Genet. 2008 May;40(5):560-6. doi: 10.1038/ng.124.
4
MicroRNA expression profiling of thyroid tumors: biological significance and diagnostic utility.甲状腺肿瘤的微小RNA表达谱分析:生物学意义及诊断效用
J Clin Endocrinol Metab. 2008 May;93(5):1600-8. doi: 10.1210/jc.2007-2696. Epub 2008 Feb 12.
5
Altered retinal microRNA expression profile in a mouse model of retinitis pigmentosa.视网膜色素变性小鼠模型中视网膜微小RNA表达谱的改变
Genome Biol. 2007;8(11):R248. doi: 10.1186/gb-2007-8-11-r248.
6
Distinctive patterns of microRNA expression in primary muscular disorders.原发性肌肉疾病中微小RNA表达的独特模式。
Proc Natl Acad Sci U S A. 2007 Oct 23;104(43):17016-21. doi: 10.1073/pnas.0708115104. Epub 2007 Oct 17.
7
microRNAs and the regulation of glucose and lipid metabolism.微小RNA与葡萄糖和脂质代谢的调节
Diabetes Obes Metab. 2007 Nov;9 Suppl 2:67-73. doi: 10.1111/j.1463-1326.2007.00775.x.
8
MicroRNAs (miR)-221 and miR-222, both overexpressed in human thyroid papillary carcinomas, regulate p27Kip1 protein levels and cell cycle.微小RNA(miR)-221和miR-222在人甲状腺乳头状癌中均过表达,它们调节p27Kip1蛋白水平和细胞周期。
Endocr Relat Cancer. 2007 Sep;14(3):791-8. doi: 10.1677/ERC-07-0129.
9
MicroRNA expression is required for pancreatic islet cell genesis in the mouse.小鼠胰岛细胞发生需要MicroRNA表达。
Diabetes. 2007 Dec;56(12):2938-45. doi: 10.2337/db07-0175. Epub 2007 Sep 5.
10
Overexpression of micro ribonucleic acid 29, highly up-regulated in diabetic rats, leads to insulin resistance in 3T3-L1 adipocytes.微小核糖核酸29在糖尿病大鼠中高度上调,其过表达会导致3T3-L1脂肪细胞产生胰岛素抵抗。
Mol Endocrinol. 2007 Nov;21(11):2785-94. doi: 10.1210/me.2007-0167. Epub 2007 Jul 24.