Suppr超能文献

自然获得性流感病毒感染中的病毒脱落和临床疾病。

Viral shedding and clinical illness in naturally acquired influenza virus infections.

机构信息

Infectious Disease Epidemiology Group, School of Public Health, University of Hong Kong, Hong Kong, China.

出版信息

J Infect Dis. 2010 May 15;201(10):1509-16. doi: 10.1086/652241.

Abstract

BACKGROUND

Volunteer challenge studies have provided detailed data on viral shedding from the respiratory tract before and through the course of experimental influenza virus infection. There are no comparable quantitative data to our knowledge on naturally acquired infections.

METHODS

In a community-based study in Hong Kong in 2008, we followed up initially healthy individuals to quantify trends in viral shedding on the basis of cultures and reverse-transcription polymerase chain reaction (RT-PCR) through the course of illness associated with seasonal influenza A and B virus infection.

RESULTS

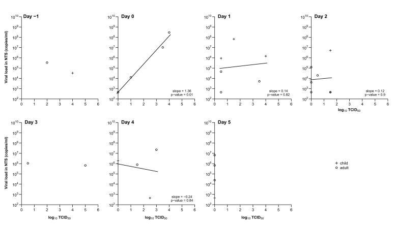
Trends in symptom scores more closely matched changes in molecular viral loads measured with RT-PCR for influenza A than for influenza B. For influenza A virus infections, the replicating viral loads determined with cultures decreased to undetectable levels earlier after illness onset than did molecular viral loads. Most viral shedding occurred during the first 2-3 days after illness onset, and we estimated that 1%-8% of infectiousness occurs prior to illness onset. Only 14% of infections with detectable shedding at RT-PCR were asymptomatic, and viral shedding was low in these cases.

CONCLUSIONS

Our results suggest that "silent spreaders" (ie, individuals who are infectious while asymptomatic or presymptomatic) may be less important in the spread of influenza epidemics than previously thought.

摘要

背景

志愿者挑战研究提供了在实验性流感病毒感染之前和期间从呼吸道排出病毒的详细数据。据我们所知,尚无关于自然获得性感染的可比定量数据。

方法

在 2008 年香港的一项基于社区的研究中,我们对最初健康的个体进行了随访,根据与季节性甲型和乙型流感病毒感染相关的疾病过程,通过培养和逆转录聚合酶链反应(RT-PCR)来量化病毒脱落的趋势。

结果

症状评分的趋势与使用 RT-PCR 测量的甲型流感的分子病毒载量变化更吻合。对于甲型流感病毒感染,与疾病发作后相比,培养物中确定的复制病毒载量更早地降至无法检测的水平。大多数病毒脱落发生在发病后第 2-3 天,我们估计 1%-8%的传染性发生在发病前。在 RT-PCR 可检测到脱落的感染中,仅有 14%无症状,并且这些病例中的病毒脱落量较低。

结论

我们的结果表明,“沉默传播者”(即无症状或发病前具有传染性的个体)在流感流行的传播中可能不如以前认为的那么重要。

https://cdn.ncbi.nlm.nih.gov/pmc/blobs/1cc7/7109770/2bdf6ea59f61/201-10-1509-fig006.jpg

文献AI研究员

20分钟写一篇综述,助力文献阅读效率提升50倍。

立即体验

用中文搜PubMed

大模型驱动的PubMed中文搜索引擎

马上搜索

文档翻译

学术文献翻译模型,支持多种主流文档格式。

立即体验