• 文献检索
  • 文档翻译
  • 深度研究
  • 学术资讯
  • Suppr Zotero 插件Zotero 插件
  • 邀请有礼
  • 套餐&价格
  • 历史记录
应用&插件
Suppr Zotero 插件Zotero 插件浏览器插件Mac 客户端Windows 客户端微信小程序
定价
高级版会员购买积分包购买API积分包
服务
文献检索文档翻译深度研究API 文档MCP 服务
关于我们
关于 Suppr公司介绍联系我们用户协议隐私条款
关注我们

Suppr 超能文献

核心技术专利:CN118964589B侵权必究
粤ICP备2023148730 号-1Suppr @ 2026

文献检索

告别复杂PubMed语法,用中文像聊天一样搜索,搜遍4000万医学文献。AI智能推荐,让科研检索更轻松。

立即免费搜索

文件翻译

保留排版,准确专业,支持PDF/Word/PPT等文件格式,支持 12+语言互译。

免费翻译文档

深度研究

AI帮你快速写综述,25分钟生成高质量综述,智能提取关键信息,辅助科研写作。

立即免费体验

细菌细胞质膜两种主要阴离子磷脂的包装行为。

Packing behaviour of two predominant anionic phospholipids of bacterial cytoplasmic membranes.

机构信息

Institute of Biophysics and Nanosystems Research, Austrian Academy of Sciences, Schmiedlstrasse 6, A-8042 Graz, Austria.

出版信息

Biophys Chem. 2010 Aug;150(1-3):129-35. doi: 10.1016/j.bpc.2010.04.004. Epub 2010 Apr 22.

DOI:10.1016/j.bpc.2010.04.004
PMID:20451316
原文链接:https://pmc.ncbi.nlm.nih.gov/articles/PMC2905515/
Abstract

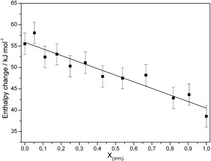
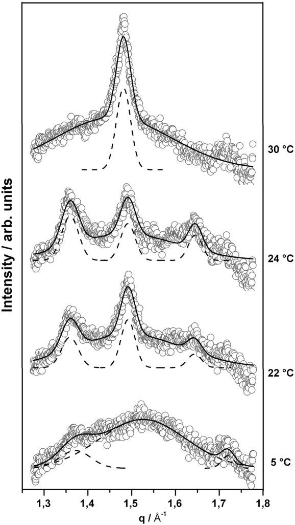
Phosphatidylglycerol and cardiolipin represent the most abundant anionic phospholipid components of cytoplasmic bacterial membranes and thus are used as constituents for membrane mimetic systems. In this study, we have characterized the temperature dependent phase behaviour of the binary system dipalmitoyl-phosphatidylglycerol (DPPG) and tetramyristoyl-cardiolipin (TMCL) using microcalorimetry and X-ray scattering techniques. Both lipids exhibited a very similar main transition temperature ( approximately 41 degrees C), showing a minimum (39.4 degrees C) for the binary mixtures at X(DPPG)=0.8, and exhibited low-temperature phase transitions, which were abolished by incorporation of small amounts (<or=10mol%) of the other lipid component. Therefore, over a wide temperature and composition range a lamellar L(beta) gel phase is the predominant structure below the chain melting transition, characterized by a relatively broad wide-angle peak for X(DPPG)<or=0.8. This observation suggests the existence of packing inconsistencies of the TMCL/DPPG hydrocarbon lattices in the gel phase, supported by the small average size of lipid clusters ( approximately 50 lipids) within this composition range. The bilayer thickness for the lamellar-gel phase showed a monotonic increase (56A for TMCL to about 58A for X(DPPG)=0.8 at 30 degrees C), which may be explained by different degrees of partial interdigitation of the acyl chains to compensate for the differences in the hydrocarbon lengths of DPPG and TMCL in the L(beta) phase.

摘要

磷脂酰甘油和心磷脂是细胞质细菌膜中最丰富的阴离子磷脂成分,因此被用作膜模拟系统的组成部分。在这项研究中,我们使用微量热法和 X 射线散射技术表征了二棕榈酰磷脂酰甘油(DPPG)和四肉豆蔻酰心磷脂(TMCL)的二元体系随温度的相行为。这两种脂质都表现出非常相似的主相变温度(约 41°C),在 X(DPPG)=0.8 的二元混合物中表现出最低值(39.4°C),并且表现出低温相变,这被少量(≤10mol%)其他脂质成分的掺入所消除。因此,在较宽的温度和组成范围内,层状 L(β)凝胶相是链熔融转变以下的主要结构,其特征是广角宽峰较宽,X(DPPG)≤0.8。这种观察结果表明,在凝胶相中 TMCL/DPPG 烃晶格的堆积不一致性存在,这得到了在该组成范围内脂质簇的平均大小(约 50 个脂质)较小的支持。层状-凝胶相的双层厚度呈单调增加(TMCL 为 56A,X(DPPG)=0.8 时约为 58A,温度为 30°C),这可以通过酰链的不同程度的部分互贯来解释,以补偿 L(β)相中 DPPG 和 TMCL 烃链长度的差异。

https://cdn.ncbi.nlm.nih.gov/pmc/blobs/9503/2905515/e7b64fa84d94/gr9.jpg
https://cdn.ncbi.nlm.nih.gov/pmc/blobs/9503/2905515/6d443dd707f9/gr1.jpg
https://cdn.ncbi.nlm.nih.gov/pmc/blobs/9503/2905515/562b0bc4ceb4/gr2.jpg
https://cdn.ncbi.nlm.nih.gov/pmc/blobs/9503/2905515/5ba51786908d/gr3.jpg
https://cdn.ncbi.nlm.nih.gov/pmc/blobs/9503/2905515/1cec2eb4004f/gr4.jpg
https://cdn.ncbi.nlm.nih.gov/pmc/blobs/9503/2905515/a92d5ab52e77/gr5.jpg
https://cdn.ncbi.nlm.nih.gov/pmc/blobs/9503/2905515/92067042e4ef/gr6.jpg
https://cdn.ncbi.nlm.nih.gov/pmc/blobs/9503/2905515/87893783be62/gr7.jpg
https://cdn.ncbi.nlm.nih.gov/pmc/blobs/9503/2905515/ccfedc345b55/gr8.jpg
https://cdn.ncbi.nlm.nih.gov/pmc/blobs/9503/2905515/e7b64fa84d94/gr9.jpg
https://cdn.ncbi.nlm.nih.gov/pmc/blobs/9503/2905515/6d443dd707f9/gr1.jpg
https://cdn.ncbi.nlm.nih.gov/pmc/blobs/9503/2905515/562b0bc4ceb4/gr2.jpg
https://cdn.ncbi.nlm.nih.gov/pmc/blobs/9503/2905515/5ba51786908d/gr3.jpg
https://cdn.ncbi.nlm.nih.gov/pmc/blobs/9503/2905515/1cec2eb4004f/gr4.jpg
https://cdn.ncbi.nlm.nih.gov/pmc/blobs/9503/2905515/a92d5ab52e77/gr5.jpg
https://cdn.ncbi.nlm.nih.gov/pmc/blobs/9503/2905515/92067042e4ef/gr6.jpg
https://cdn.ncbi.nlm.nih.gov/pmc/blobs/9503/2905515/87893783be62/gr7.jpg
https://cdn.ncbi.nlm.nih.gov/pmc/blobs/9503/2905515/ccfedc345b55/gr8.jpg
https://cdn.ncbi.nlm.nih.gov/pmc/blobs/9503/2905515/e7b64fa84d94/gr9.jpg

相似文献

1
Packing behaviour of two predominant anionic phospholipids of bacterial cytoplasmic membranes.细菌细胞质膜两种主要阴离子磷脂的包装行为。
Biophys Chem. 2010 Aug;150(1-3):129-35. doi: 10.1016/j.bpc.2010.04.004. Epub 2010 Apr 22.
2
Calorimetric, x-ray diffraction, and spectroscopic studies of the thermotropic phase behavior and organization of tetramyristoyl cardiolipin membranes.四肉豆蔻酰心磷脂膜的热致相行为和结构的量热法、X射线衍射法及光谱学研究
Biophys J. 2007 May 1;92(9):3166-77. doi: 10.1529/biophysj.106.094003. Epub 2007 Feb 9.
3
On the miscibility of cardiolipin with 1,2-diacyl phosphoglycerides: Binary mixtures of dimyristoylphosphatidylglycerol and tetramyristoylcardiolipin.关于心磷脂与1,2 - 二酰基磷酸甘油酯的混溶性:二肉豆蔻酰磷脂酰甘油和四肉豆蔻酰心磷脂的二元混合物
Biochim Biophys Acta. 2015 Nov;1848(11 Pt A):2878-88. doi: 10.1016/j.bbamem.2015.08.003. Epub 2015 Aug 11.
4
On the miscibility of cardiolipin with 1,2-diacyl phosphoglycerides: binary mixtures of dimyristoylphosphatidylethanolamine and tetramyristoylcardiolipin.关于心磷脂与1,2 - 二酰基磷酸甘油酯的混溶性:二肉豆蔻酰磷脂酰乙醇胺与四肉豆蔻酰心磷脂的二元混合物
Biochim Biophys Acta. 2011 Mar;1808(3):774-83. doi: 10.1016/j.bbamem.2010.12.010. Epub 2010 Dec 21.
5
X-ray structure, thermodynamics, elastic properties and MD simulations of cardiolipin/dimyristoylphosphatidylcholine mixed membranes.心磷脂/二肉豆蔻酰磷脂酰胆碱混合膜的 X 射线结构、热力学、弹性性质和 MD 模拟。
Chem Phys Lipids. 2014 Feb;178:1-10. doi: 10.1016/j.chemphyslip.2013.12.010. Epub 2013 Dec 28.
6
Structure and thermotropic behavior of the Staphylococcus aureus lipid lysyl-dipalmitoylphosphatidylglycerol.金黄色葡萄球菌脂质赖氨酰 - 二棕榈酰磷脂酰甘油的结构与热致行为
Biophys J. 2008 Mar 15;94(6):2150-9. doi: 10.1529/biophysj.107.123422. Epub 2007 Nov 30.
7
Polymyxin B-induced phase separation and acyl chain interdigitation in phosphatidylcholine/phosphatidylglycerol mixtures.多粘菌素B诱导磷脂酰胆碱/磷脂酰甘油混合物中的相分离和酰基链交叉。
Biochim Biophys Acta. 1983 Aug 10;732(3):499-508. doi: 10.1016/0005-2736(83)90226-2.
8
Effects of poly(L-lysine) on the structural and thermotropic properties of dipalmitoylphosphatidylglycerol bilayers.聚(L-赖氨酸)对二棕榈酰磷脂酰甘油双层膜的结构和热致性质的影响。
Biochim Biophys Acta. 1992 Sep 21;1110(1):29-36. doi: 10.1016/0005-2736(92)90290-3.
9
Cardiolipin packing ability studied by grazing incidence X-ray diffraction.通过掠入射X射线衍射研究的心磷脂堆积能力
Chem Phys Lipids. 2008 Mar;152(1):13-23. doi: 10.1016/j.chemphyslip.2007.12.002. Epub 2007 Dec 28.
10
The cyclic antimicrobial peptide RTD-1 induces stabilized lipid-peptide domains more efficiently than its open-chain analogue.环状抗菌肽RTD-1比其开链类似物更有效地诱导稳定的脂质-肽结构域。
FEBS Lett. 2004 May 21;566(1-3):301-6. doi: 10.1016/j.febslet.2004.03.112.

引用本文的文献

1
Lysyl-Phosphatidylglycerol: A Lipid Involved in the Resistance of to Antimicrobial Peptide Activity.赖氨酰磷脂酰甘油:一种参与对抗抗菌肽活性的脂质。
Antibiotics (Basel). 2025 Mar 28;14(4):349. doi: 10.3390/antibiotics14040349.
2
Interaction of Arginine-Rich Surfactant-like Peptide Nanotubes with Liposomes.精氨酸丰富的表面活性剂样肽纳米管与脂质体的相互作用。
Biomacromolecules. 2024 Nov 11;25(11):7410-7420. doi: 10.1021/acs.biomac.4c01072. Epub 2024 Oct 29.
3
In Bacterial Membranes Lipid II Changes the Stability of Pores Formed by the Antimicrobial Peptide Nisin.

本文引用的文献

1
New strategies for novel antibiotics: peptides targeting bacterial cell membranes.新型抗生素的新策略:靶向细菌细胞膜的肽
Gen Physiol Biophys. 2009 Jun;28(2):105-16. doi: 10.4149/gpb_2009_02_105.
2
Peptide induced demixing in PG/PE lipid mixtures: a mechanism for the specificity of antimicrobial peptides towards bacterial membranes?肽诱导PG/PE脂质混合物中的相分离:抗菌肽对细菌膜具有特异性的一种机制?
Biochim Biophys Acta. 2009 Mar;1788(3):650-9. doi: 10.1016/j.bbamem.2008.11.022. Epub 2008 Dec 11.
3
Lipid domains in bacterial membranes and the action of antimicrobial agents.
在细菌膜中,脂质 II 改变了抗菌肽乳链菌肽形成的孔的稳定性。
J Phys Chem B. 2024 May 16;128(19):4741-4750. doi: 10.1021/acs.jpcb.4c01249. Epub 2024 May 2.
4
Specific Binding of the α-Component of the Lantibiotic Lichenicidin to the Peptidoglycan Precursor Lipid II Predetermines Its Antimicrobial Activity.兰尼丁类抗生素的 α-组分与肽聚糖前体脂质 II 的特异性结合决定了其抗菌活性。
Int J Mol Sci. 2023 Jan 10;24(2):1332. doi: 10.3390/ijms24021332.
5
Amphiphilic Aminoglycosides as Medicinal Agents.两亲性氨基糖苷类药物作为药物。
Int J Mol Sci. 2020 Oct 8;21(19):7411. doi: 10.3390/ijms21197411.
6
Environmental and dynamic effects explain how nisin captures membrane-bound lipid II.环境和动态效应解释了乳链菌肽如何捕获膜结合态脂质 II。
Sci Rep. 2020 Jun 1;10(1):8821. doi: 10.1038/s41598-020-65522-y.
7
The role of cardiolipin concentration and acyl chain composition on mitochondrial inner membrane molecular organization and function.心磷脂浓度和酰基链组成对线粒体内膜分子组织和功能的作用。
Biochim Biophys Acta Mol Cell Biol Lipids. 2019 Jul;1864(7):1039-1052. doi: 10.1016/j.bbalip.2019.03.012. Epub 2019 Apr 2.
8
Could Cardiolipin Protect Membranes against the Action of Certain Antimicrobial Peptides? Aurein 1.2, a Case Study.心磷脂能否保护细胞膜免受某些抗菌肽的作用?以奥瑞因1.2为例的研究。
ACS Omega. 2018 Dec 31;3(12):16453-16464. doi: 10.1021/acsomega.8b02710. Epub 2018 Dec 3.
9
Antimicrobial Peptides Targeting Gram-Positive Bacteria.靶向革兰氏阳性菌的抗菌肽
Pharmaceuticals (Basel). 2016 Sep 20;9(3):59. doi: 10.3390/ph9030059.
10
Response mechanisms of bacterial degraders to environmental contaminants on the level of cell walls and cytoplasmic membrane.细菌降解菌在细胞壁和细胞质膜水平上对环境污染物的响应机制。
Int J Microbiol. 2014;2014:873081. doi: 10.1155/2014/873081. Epub 2014 Jun 26.
细菌细胞膜中的脂质结构域与抗菌剂的作用
Biochim Biophys Acta. 2009 Jan;1788(1):289-94. doi: 10.1016/j.bbamem.2008.08.023. Epub 2008 Sep 10.
4
Dual mechanism of bacterial lethality for a cationic sequence-random copolymer that mimics host-defense antimicrobial peptides.一种模拟宿主防御抗菌肽的阳离子序列随机共聚物的细菌致死双重机制。
J Mol Biol. 2008 May 23;379(1):38-50. doi: 10.1016/j.jmb.2008.03.047. Epub 2008 Mar 28.
5
Interaction of LL-37 with model membrane systems of different complexity: influence of the lipid matrix.LL-37与不同复杂程度的模型膜系统的相互作用:脂质基质的影响。
Biophys J. 2008 Jun;94(12):4688-99. doi: 10.1529/biophysj.107.123620. Epub 2008 Mar 7.
6
Cardiolipin synthesis for the assembly of bacterial and mitochondrial membranes.用于细菌和线粒体膜组装的心磷脂合成。
J Lipid Res. 2008 Aug;49(8):1607-20. doi: 10.1194/jlr.R700018-JLR200. Epub 2007 Dec 12.
7
Rigidification of neutral lipid bilayers in the presence of salts.在盐存在的情况下中性脂质双层的硬化
Biophys J. 2007 Oct 15;93(8):2688-96. doi: 10.1529/biophysj.107.112615. Epub 2007 Jun 22.
8
Subcellular localization of Escherichia coli osmosensory transporter ProP: focus on cardiolipin membrane domains.大肠杆菌渗透感应转运蛋白ProP的亚细胞定位:聚焦于心磷脂膜结构域
Mol Microbiol. 2007 Jun;64(6):1419-22. doi: 10.1111/j.1365-2958.2007.05766.x.
9
On the propensity of phosphatidylglycerols to form interdigitated phases.关于磷脂酰甘油形成交错相的倾向。
Biophys J. 2007 Jul 15;93(2):513-25. doi: 10.1529/biophysj.106.101592. Epub 2007 Apr 20.
10
Calorimetric, x-ray diffraction, and spectroscopic studies of the thermotropic phase behavior and organization of tetramyristoyl cardiolipin membranes.四肉豆蔻酰心磷脂膜的热致相行为和结构的量热法、X射线衍射法及光谱学研究
Biophys J. 2007 May 1;92(9):3166-77. doi: 10.1529/biophysj.106.094003. Epub 2007 Feb 9.