Suppr超能文献

蚊虫蛋白互作网络对登革热感染的响应。

Response of the mosquito protein interaction network to dengue infection.

机构信息

Department of Entomology and Genetics Program, Michigan State University, East Lansing, Michigan 48824, USA.

出版信息

BMC Genomics. 2010 Jun 16;11:380. doi: 10.1186/1471-2164-11-380.

Abstract

BACKGROUND

Two fifths of the world's population is at risk from dengue. The absence of effective drugs and vaccines leaves vector control as the primary intervention tool. Understanding dengue virus (DENV) host interactions is essential for the development of novel control strategies. The availability of genome sequences for both human and mosquito host greatly facilitates genome-wide studies of DENV-host interactions.

RESULTS

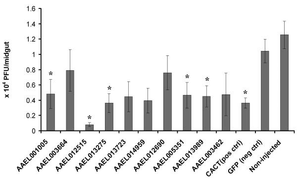
We developed the first draft of the mosquito protein interaction network using a computational approach. The weighted network includes 4,214 Aedes aegypti proteins with 10,209 interactions, among which 3,500 proteins are connected into an interconnected scale-free network. We demonstrated the application of this network for the further annotation of mosquito proteins and dissection of pathway crosstalk. Using three datasets based on physical interaction assays, genome-wide RNA interference (RNAi) screens and microarray assays, we identified 714 putative DENV-associated mosquito proteins. An integrated analysis of these proteins in the network highlighted four regions consisting of highly interconnected proteins with closely related functions in each of replication/transcription/translation (RTT), immunity, transport and metabolism. Putative DENV-associated proteins were further selected for validation by RNAi-mediated gene silencing, and dengue viral titer in mosquito midguts was significantly reduced for five out of ten (50.0%) randomly selected genes.

CONCLUSIONS

Our results indicate the presence of common host requirements for DENV in mosquitoes and humans. We discuss the significance of our findings for pharmacological intervention and genetic modification of mosquitoes for blocking dengue transmission.

摘要

背景

世界上五分之二的人口面临登革热的风险。由于缺乏有效的药物和疫苗,病媒控制成为主要的干预手段。了解登革病毒(DENV)与宿主的相互作用对于开发新的控制策略至关重要。人类和蚊子宿主的基因组序列的可用性极大地促进了 DENV-宿主相互作用的全基因组研究。

结果

我们使用计算方法开发了蚊子蛋白质相互作用网络的第一个草案。加权网络包括 4214 种埃及伊蚊蛋白,有 10209 个相互作用,其中 3500 个蛋白连接成一个相互连接的无标度网络。我们展示了该网络在蚊子蛋白的进一步注释和途径串扰剖析中的应用。使用基于物理相互作用测定、全基因组 RNA 干扰(RNAi)筛选和微阵列测定的三个数据集,我们鉴定了 714 种可能与 DENV 相关的蚊子蛋白。这些蛋白在网络中的综合分析突出了四个区域,每个区域都由复制/转录/翻译(RTT)、免疫、运输和代谢中具有密切相关功能的高度相互连接的蛋白组成。通过 RNAi 介导的基因沉默对这些网络中的假定 DENV 相关蛋白进行了进一步验证,在 10 个随机选择的基因中,有 5 个(50.0%)的基因显著降低了蚊子中肠道中的登革热病毒滴度。

结论

我们的结果表明,蚊子和人类的 DENV 存在共同的宿主需求。我们讨论了我们的发现对于药理学干预和遗传修饰蚊子以阻断登革热传播的意义。

https://cdn.ncbi.nlm.nih.gov/pmc/blobs/cb52/3091628/755aaba6932d/1471-2164-11-380-1.jpg

相似文献

1
Response of the mosquito protein interaction network to dengue infection.
BMC Genomics. 2010 Jun 16;11:380. doi: 10.1186/1471-2164-11-380.
2
Global cross-talk of genes of the mosquito Aedes aegypti in response to dengue virus infection.
PLoS Negl Trop Dis. 2011 Nov;5(11):e1385. doi: 10.1371/journal.pntd.0001385. Epub 2011 Nov 15.
3
A Thioester-Containing Protein Controls Dengue Virus Infection in Through Modulating Immune Response.
Front Immunol. 2021 May 13;12:670122. doi: 10.3389/fimmu.2021.670122. eCollection 2021.
4
5
Dengue Virus Infection of Aedes aegypti Requires a Putative Cysteine Rich Venom Protein.
PLoS Pathog. 2015 Oct 22;11(10):e1005202. doi: 10.1371/journal.ppat.1005202. eCollection 2015 Oct.
6
Sialic acid expression in the mosquito Aedes aegypti and its possible role in dengue virus-vector interactions.
Biomed Res Int. 2015;2015:504187. doi: 10.1155/2015/504187. Epub 2015 Mar 22.
7
Suppression of the pelo protein by Wolbachia and its effect on dengue virus in Aedes aegypti.
PLoS Negl Trop Dis. 2018 Apr 11;12(4):e0006405. doi: 10.1371/journal.pntd.0006405. eCollection 2018 Apr.
9
Apoptosis-related genes control autophagy and influence DENV-2 infection in the mosquito vector, Aedes aegypti.
Insect Biochem Mol Biol. 2016 Sep;76:70-83. doi: 10.1016/j.ibmb.2016.07.004. Epub 2016 Jul 12.

引用本文的文献

1
Fatty acid β-oxidation enhances immune regulatory function of double-negative T cells through pSTAT4-OX40 signaling pathway.
Hepatol Commun. 2025 Aug 29;9(9). doi: 10.1097/HC9.0000000000000783. eCollection 2025 Sep 1.
2
A comprehensive review of -mediated mechanisms to control dengue virus transmission in through innate immune pathways.
Front Immunol. 2024 Aug 8;15:1434003. doi: 10.3389/fimmu.2024.1434003. eCollection 2024.
4
Revisiting dengue virus-mosquito interactions: molecular insights into viral fitness.
J Gen Virol. 2021 Nov;102(11). doi: 10.1099/jgv.0.001693.
5
Intracellular Interactions Between Arboviruses and in .
Front Cell Infect Microbiol. 2021 Jun 23;11:690087. doi: 10.3389/fcimb.2021.690087. eCollection 2021.
6
Transcriptome comparison of dengue-susceptible and -resistant field derived strains of Colombian Aedes aegypti using RNA-sequencing.
Mem Inst Oswaldo Cruz. 2021 May 28;116:e200547. doi: 10.1590/0074-02760200547. eCollection 2021.
8
The [] Gene Family Modulates Dengue Virus Infection in .
Int J Mol Sci. 2020 Oct 12;21(20):7520. doi: 10.3390/ijms21207520.
9
Inhibits Binding of Dengue and Zika Viruses to Mosquito Cells.
Front Microbiol. 2020 Aug 4;11:1750. doi: 10.3389/fmicb.2020.01750. eCollection 2020.
10
and Models to Study Mosquito-Borne Flavivirus Neuropathogenesis, Prevention, and Treatment.
Front Cell Infect Microbiol. 2019 Jul 9;9:223. doi: 10.3389/fcimb.2019.00223. eCollection 2019.

本文引用的文献

1
Discovery of insect and human dengue virus host factors.
Nature. 2009 Apr 23;458(7241):1047-50. doi: 10.1038/nature07967.
2
Pathogenesis of flavivirus infections: using and abusing the host cell.
Cell Host Microbe. 2009 Apr 23;5(4):318-28. doi: 10.1016/j.chom.2009.04.001.
3
Hepatitis C virus infection protein network.
Mol Syst Biol. 2008;4:230. doi: 10.1038/msb.2008.66. Epub 2008 Nov 4.
4
RNA interference screen for human genes associated with West Nile virus infection.
Nature. 2008 Sep 11;455(7210):242-5. doi: 10.1038/nature07207.
5
The Aedes aegypti toll pathway controls dengue virus infection.
PLoS Pathog. 2008 Jul 4;4(7):e1000098. doi: 10.1371/journal.ppat.1000098.
6
The landscape of human proteins interacting with viruses and other pathogens.
PLoS Pathog. 2008 Feb 8;4(2):e32. doi: 10.1371/journal.ppat.0040032.
10
A predicted interactome for Arabidopsis.
Plant Physiol. 2007 Oct;145(2):317-29. doi: 10.1104/pp.107.103465. Epub 2007 Aug 3.

文献AI研究员

20分钟写一篇综述,助力文献阅读效率提升50倍。

立即体验

用中文搜PubMed

大模型驱动的PubMed中文搜索引擎

马上搜索

文档翻译

学术文献翻译模型,支持多种主流文档格式。

立即体验