Suppr超能文献

水稻蛋白磷酸酶的组成:非生物胁迫条件和生殖发育过程中的全基因组鉴定和转录分析。

Protein phosphatase complement in rice: genome-wide identification and transcriptional analysis under abiotic stress conditions and reproductive development.

机构信息

Department of Plant Molecular Biology, University of Delhi South Campus, Benito Juarez Road, New Delhi-110021, India.

出版信息

BMC Genomics. 2010 Jul 16;11:435. doi: 10.1186/1471-2164-11-435.

Abstract

BACKGROUND

Protein phosphatases are the key components of a number of signaling pathways where they modulate various cellular responses. In plants, protein phosphatases constitute a large gene family and are reportedly involved in the regulation of abiotic stress responses and plant development. Recently, the whole complement of protein phosphatases has been identified in Arabidopsis genome. While PP2C class of serine/threonine phosphatases has been explored in rice, the whole complement of this gene family is yet to be reported.

RESULTS

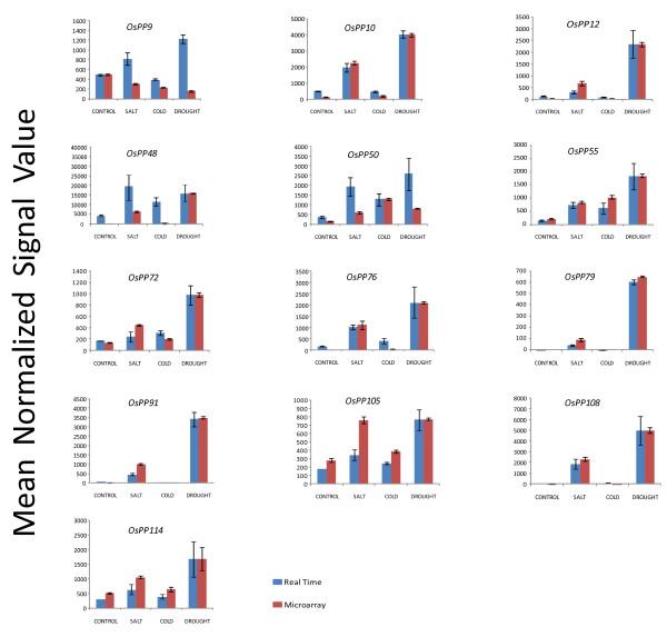
In silico investigation revealed the presence of 132-protein phosphatase-coding genes in rice genome. Domain analysis and phylogenetic studies of evolutionary relationship categorized these genes into PP2A, PP2C, PTP, DSP and LMWP classes. PP2C class represents a major proportion of this gene family with 90 members. Chromosomal localization revealed their distribution on all the 12 chromosomes, with 42 genes being present on segmentally duplicated regions and 10 genes on tandemly duplicated regions of chromosomes. The expression profiles of 128 genes under salinity, cold and drought stress conditions, 11 reproductive developmental (panicle and seed) stages along with three stages of vegetative development were analyzed using microarray expression data. 46 genes were found to be differentially expressing in 3 abiotic stresses out of which 31 were up-regulated and 15 exhibited down-regulation. A total of 82 genes were found to be differentially expressing in different developmental stages. An overlapping expression pattern was found for abiotic stresses and reproductive development, wherein 8 genes were up-regulated and 7 down-regulated. Expression pattern of the 13 selected genes was validated employing real time PCR, and it was found to be in accordance with the microarray expression data for most of the genes.

CONCLUSIONS

Exploration of protein phosphatase gene family in rice has resulted in the identification of 132 members, which can be further divided into different classes phylogenetically. Expression profiling and analysis indicate the involvement of this large gene family in a number of signaling pathways triggered by abiotic stresses and their possible role in plant development. Our study will provide the platform from where; the expression pattern information can be transformed into molecular, cellular and biochemical characterization of members belonging to this gene family.

摘要

背景

蛋白磷酸酶是许多信号通路的关键组成部分,它们调节各种细胞反应。在植物中,蛋白磷酸酶构成了一个庞大的基因家族,据报道参与了非生物胁迫反应和植物发育的调节。最近,在拟南芥基因组中已经鉴定出了完整的蛋白磷酸酶。虽然在水稻中已经研究了丝氨酸/苏氨酸磷酸酶的 PP2C 类,但这个基因家族的全部成员尚未报道。

结果

计算机分析揭示了水稻基因组中存在 132 种蛋白磷酸酶编码基因。结构域分析和进化关系的系统发育研究将这些基因分为 PP2A、PP2C、PTP、DSP 和 LMWP 类。PP2C 类是这个基因家族的主要组成部分,有 90 个成员。染色体定位显示它们分布在所有 12 条染色体上,有 42 个基因存在于片段重复区域,10 个基因存在于染色体串联重复区域。使用微阵列表达数据分析了 128 个基因在盐胁迫、冷胁迫和干旱胁迫条件下,11 个生殖发育(穗和种子)阶段以及 3 个营养生长阶段的表达谱。发现 46 个基因在 3 种非生物胁迫中有差异表达,其中 31 个基因上调,15 个基因下调。总共发现 82 个基因在不同发育阶段有差异表达。非生物胁迫和生殖发育存在重叠的表达模式,其中 8 个基因上调,7 个基因下调。选择的 13 个基因的表达模式通过实时 PCR 进行了验证,结果发现大多数基因与微阵列表达数据一致。

结论

对水稻蛋白磷酸酶基因家族的探索导致了 132 个成员的鉴定,这些成员可以进一步根据系统发育分为不同的类。表达谱分析表明,这个大基因家族参与了由非生物胁迫引发的许多信号通路,并可能在植物发育中发挥作用。我们的研究将为这个基因家族的成员提供一个从表达模式信息转化为分子、细胞和生化特征的平台。

https://cdn.ncbi.nlm.nih.gov/pmc/blobs/6613/3091634/f529b75b0945/1471-2164-11-435-1.jpg

文献AI研究员

20分钟写一篇综述,助力文献阅读效率提升50倍。

立即体验

用中文搜PubMed

大模型驱动的PubMed中文搜索引擎

马上搜索

文档翻译

学术文献翻译模型,支持多种主流文档格式。

立即体验