Suppr超能文献

运用进化人口统计学将生命史理论、数量遗传学和种群生态学联系起来。

Using evolutionary demography to link life history theory, quantitative genetics and population ecology.

机构信息

Department of Life Sciences, Imperial College London, Silwood Park SL5 7PY, UK.

出版信息

J Anim Ecol. 2010 Nov;79(6):1226-40. doi: 10.1111/j.1365-2656.2010.01734.x. Epub 2010 Aug 12.

Abstract
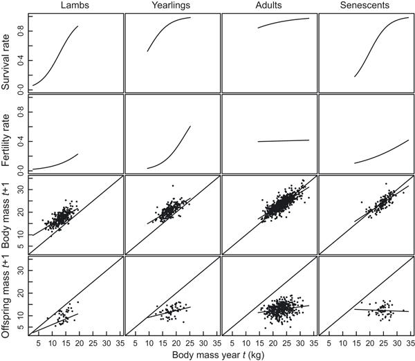
  1. There is a growing number of empirical reports of environmental change simultaneously influencing population dynamics, life history and quantitative characters. We do not have a well-developed understanding of links between the dynamics of these quantities. 2. Insight into the joint dynamics of populations, quantitative characters and life history can be gained by deriving a model that allows the calculation of fundamental quantities that underpin population ecology, evolutionary biology and life history. The parameterization and analysis of such a model for a specific system can be used to predict how a population will respond to environmental change. 3. Age-stage-structured models can be constructed from character-demography associations that describe age-specific relationships between the character and: (i) survival; (ii) fertility; (iii) ontogenetic development of the character among survivors; and (iv) the distribution of reproductive allocation. 4. These models can be used to calculate a wide range of useful biological quantities including population growth and structure; terms in the Price equation including selection differentials; estimates of biometric heritabilities; and life history descriptors including generation time. We showcase the method through parameterization of a model using data from a well-studied population of Soay sheep Ovis aries. 5. Perturbation analysis is used to investigate how the quantities listed in summary point 4 change as each parameter in each character-demography function is altered. 6. A wide range of joint dynamics of life history, quantitative characters and population growth can be generated in response to changes in different character-demography associations; we argue this explains the diversity of observations on the consequences of environmental change from studies of free-living populations. 7. The approach we describe has the potential to explain within and between species patterns in quantitative characters, life history and population dynamics.
摘要
  1. 越来越多的实证报告表明,环境变化会同时影响种群动态、生活史和数量特征。我们还没有很好地理解这些数量之间的动态联系。

  2. 通过推导出一个模型,可以深入了解这些数量的联合动态,该模型允许计算支撑种群生态学、进化生物学和生活史的基本数量。对特定系统的此类模型进行参数化和分析,可以用来预测种群对环境变化的反应。

  3. 年龄-阶段结构模型可以通过特征-动态关联来构建,这些关联描述了特征与以下方面的年龄特异性关系:(i) 存活率;(ii) 生育率;(iii) 幸存者中特征的个体发育发展;以及 (iv) 生殖分配的分布。

  4. 这些模型可用于计算广泛的有用生物学数量,包括种群增长和结构;Price 方程中的项,包括选择差异;生物计量遗传力的估计;以及生活史描述符,包括世代时间。我们通过使用来自研究充分的 Soay 绵羊 Ovis aries 种群的数据对模型进行参数化,展示了该方法。

  5. 扰动向分析用于研究当每个特征-动态函数中的每个参数发生变化时,汇总点 4 中列出的数量如何变化。

  6. 可以针对不同的特征-动态关联的变化,生成生活史、数量特征和种群增长的广泛联合动态;我们认为,这解释了对自由生活种群的环境变化后果进行研究时观察到的多样性。

  7. 我们描述的方法有可能解释种内和种间数量特征、生活史和种群动态的模式。

https://cdn.ncbi.nlm.nih.gov/pmc/blobs/a566/3017750/06212ad6c515/jane0079-1226-f1.jpg

文献AI研究员

20分钟写一篇综述,助力文献阅读效率提升50倍。

立即体验

用中文搜PubMed

大模型驱动的PubMed中文搜索引擎

马上搜索

文档翻译

学术文献翻译模型,支持多种主流文档格式。

立即体验