Suppr超能文献

ω-3和ω-6长链多不饱和脂肪酸对大鼠网膜和腹膜后脂肪库中脂肪生成基因表达的相反作用。

Opposing effects of omega-3 and omega-6 long chain polyunsaturated Fatty acids on the expression of lipogenic genes in omental and retroperitoneal adipose depots in the rat.

作者信息

Muhlhausler B S, Cook-Johnson R, James M, Miljkovic D, Duthoit E, Gibson R

机构信息

FOODplus Research Centre, School of Agriculture, Food and Wine, The University of Adelaide, Adelaide 5064, Australia.

出版信息

J Nutr Metab. 2010;2010. doi: 10.1155/2010/927836. Epub 2010 Aug 5.

Abstract

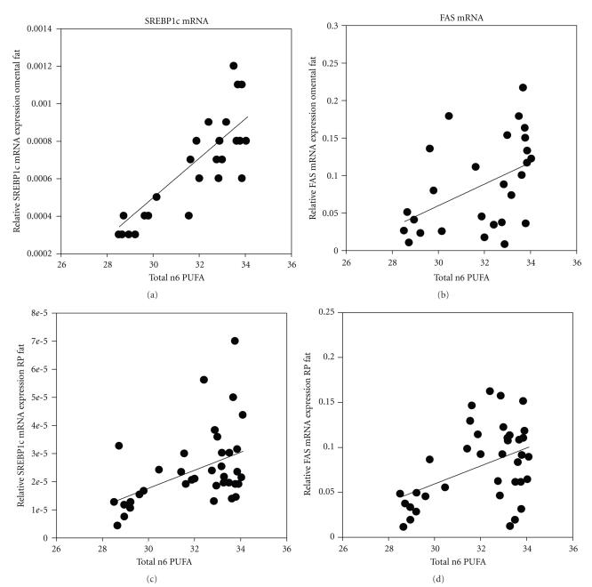
This study aimed to determine the effect of varying dietary intake of the major n-3 PUFA in human diets, alpha-linolenic acid (ALA; 18 : 3n-3), on expression of lipogenic genes in adipose tissue. Rats were fed diets containing from 0.095%en to 6.3%en ALA and a constant n-6 PUFA level for 3 weeks. Samples from distinct adipose depots (omental and retroperitoneal) were collected and mRNA expression of the pro-lipogenic transcription factors Sterol-Retinoid-Element-Binding-Protein1c (SREBP1c) and Peroxisome Proliferator Activated Receptor-gamma (PPARgamma), lipogenic enzymes Sterol-coenzyme Desaturase1 (SCD-1), Fatty Acid Synthase (FAS), lipoprotein lipase (LPL) and glycerol-3-phosphate dehydrogenase (G3PDH) and adipokines leptin and adiponectin determined by qRT-PCR. Increasing dietary ALA content resulted in altered expression of SREBP1c, FAS and G3PDH mRNA in both adipose depots. SREBP1c mRNA expression was related directly to n-6 PUFA concentrations (omental, r(2) = .71; P < .001; Retroperitoneal, r(2) = .20; P < .002), and inversely to n-3 PUFA concentrations (omental, r(2) = .59; P < .001; Retroperitoneal, r(2) = .19; P < .005) independent of diet. The relationship between total n-6 PUFA and SREBP1c mRNA expression persisted when the effects of n-3 PUFA were controlled for. Altering red blood cell concentrations of n-3 PUFA is thus associated with altered expression of lipogenic genes in a depot-specific manner and this effect is modulated by prevailing n-6 PUFA concentrations.

摘要

本研究旨在确定人类饮食中主要的n-3多不饱和脂肪酸α-亚麻酸(ALA;18:3n-3)的不同膳食摄入量对脂肪组织中脂肪生成基因表达的影响。给大鼠喂食含0.095%能量至6.3%能量的ALA且n-6多不饱和脂肪酸水平恒定的饲料,持续3周。收集来自不同脂肪储存部位(网膜和腹膜后)的样本,通过定量逆转录聚合酶链反应(qRT-PCR)测定脂肪生成转录因子固醇-类视黄醇-元件结合蛋白1c(SREBP1c)和过氧化物酶体增殖物激活受体γ(PPARγ)、脂肪生成酶固醇辅酶去饱和酶1(SCD-1)、脂肪酸合酶(FAS)、脂蛋白脂肪酶(LPL)和甘油-3-磷酸脱氢酶(G3PDH)以及脂肪因子瘦素和脂联素的mRNA表达。增加膳食ALA含量导致两个脂肪储存部位中SREBP1c、FAS和G3PDH mRNA的表达发生改变。SREBP1c mRNA表达与n-6多不饱和脂肪酸浓度直接相关(网膜,r(2)=0.71;P<0.001;腹膜后,r(2)=0.20;P<0.002),与n-3多不饱和脂肪酸浓度呈负相关(网膜,r(2)=0.59;P<0.001;腹膜后,r(2)=0.19;P<0.005),与饮食无关。当控制n-3多不饱和脂肪酸的影响时,总n-6多不饱和脂肪酸与SREBP1c mRNA表达之间的关系仍然存在。因此,改变n-3多不饱和脂肪酸的红细胞浓度与脂肪生成基因在特定储存部位的表达改变有关,并且这种作用受主要的n-6多不饱和脂肪酸浓度调节。

https://cdn.ncbi.nlm.nih.gov/pmc/blobs/b90c/2929609/dfc2e23a44b9/JNUME2010-927836.001.jpg

文献AI研究员

20分钟写一篇综述,助力文献阅读效率提升50倍。

立即体验

用中文搜PubMed

大模型驱动的PubMed中文搜索引擎

马上搜索

文档翻译

学术文献翻译模型,支持多种主流文档格式。

立即体验