Suppr超能文献

免疫功能低下患者中的耐奥司他韦的 2009 年 H1N1 流感病毒。

Oseltamivir-resistant influenza A 2009 H1N1 virus in immunocompromised patients.

机构信息

ARUP Laboratories, Salt Lake City, UT, USA.

出版信息

Influenza Other Respir Viruses. 2010 Jul;4(4):199-204. doi: 10.1111/j.1750-2659.2010.00144.x.

Abstract

BACKGROUND

First-line treatment of influenza A 2009 H1N1 relies on neuraminidase inhibitors such as oseltamivir. Resistance conferred by the H275Y neuraminidase gene mutation is concerning and likely to increase.

OBJECTIVES

To characterize oseltamivir resistance in a hospital-based patient population.

PATIENTS AND METHODS

All available respiratory specimens positive for influenza A by direct fluorescent antibody, RT-PCR, or culture from patients at the University of Utah 5/09-12/09 were collected. Specimens were confirmed as 2009 H1N1 by the Utah Department of Health. RT-PCR and pyrosequencing were used to test for the H275Y mutation (CDC protocol). PyroMark Q24 AQ software (Qiagen, Valencia, CA, USA) was used to allow for quantitative H275Y mutation analysis. Medical records of patients with resistant virus were reviewed.

RESULTS

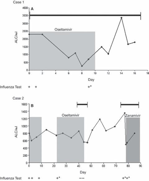
We tested 191 influenza A virus-positive samples from 187 unique patients. Fifty (27%) patients were hospitalized. Four patient specimens (2.1%) were found to carry the H275Y mutation. Three patients were hospitalized, representing 6% of inpatient samples tested. Three patients had undergone hematopoietic stem cell transplant in the past year. Two patients died. Their influenza viruses were confirmed to be oseltamivir-resistant at an independent reference laboratory and through the Center for Disease Control and Prevention (CDC). One patient reported no history of prior oseltamivir exposure.

CONCLUSIONS

Widespread oseltamivir resistance among 2009 H1N1 remains a potential threat. Rapid techniques, such as pyrosequencing, which has the additional benefit of identifying mixed mutant populations of virus, may play a key role in identifying at-risk individuals and potentially unsuspected cases. Targeted surveillance of immunocompromised patients will be critical toward improving future influenza planning and therapy.

摘要

背景

甲型流感 2009 H1N1 的一线治疗依赖于神经氨酸酶抑制剂,如奥司他韦。由神经氨酸酶基因 H275Y 突变赋予的耐药性令人担忧,并且可能会增加。

目的

描述基于医院的患者人群中奥司他韦耐药的特征。

患者和方法

从 2009 年 5 月至 12 月在犹他大学的流感 A 直接荧光抗体、RT-PCR 或培养阳性的所有可用呼吸道标本均被收集。标本由犹他州卫生署确认为 2009 年 H1N1。使用 RT-PCR 和焦磷酸测序来检测 H275Y 突变(CDC 方案)。PyroMark Q24 AQ 软件(Qiagen,加利福尼亚州瓦伦西亚,美国)用于定量 H275Y 突变分析。对携带耐药病毒的患者的病历进行了回顾。

结果

我们测试了 187 名患者的 191 个流感 A 病毒阳性样本。50 名(27%)患者住院。4 份患者标本(2.1%)携带 H275Y 突变。3 名患者接受过造血干细胞移植,均在过去一年中。2 名患者死亡。他们的流感病毒在独立的参考实验室和疾病控制与预防中心(CDC)被确认为奥司他韦耐药。1 名患者报告没有奥司他韦暴露史。

结论

2009 年 H1N1 广泛的奥司他韦耐药仍然是一个潜在的威胁。快速技术,如焦磷酸测序,它具有额外的好处,即能够识别病毒的混合突变群体,可能在识别高危人群和潜在的未被发现的病例方面发挥关键作用。针对免疫功能低下患者的靶向监测对于改善未来的流感规划和治疗至关重要。

https://cdn.ncbi.nlm.nih.gov/pmc/blobs/24eb/5964545/6e700c928fbc/IRV-4-199-g001.jpg

文献AI研究员

20分钟写一篇综述,助力文献阅读效率提升50倍。

立即体验

用中文搜PubMed

大模型驱动的PubMed中文搜索引擎

马上搜索

文档翻译

学术文献翻译模型,支持多种主流文档格式。

立即体验