Suppr超能文献

Transfusion-associated immunomodulation: Quantitative changes in cytokines as a measure of immune responsiveness after one time blood transfusion in neurosurgery patients.

作者信息

Pandey Prashant, Chaudhary Rajendra, Aggarwal Amita, Kumar Raj, Khetan Dheeraj, Verma Anupam

机构信息

Department of Transfusion Medicine, Sanjay Gandhi Postgraduate Institute of Medical Sciences, Lucknow, India.

出版信息

Asian J Transfus Sci. 2010 Jul;4(2):78-85. doi: 10.4103/0973-6247.67021.

Abstract

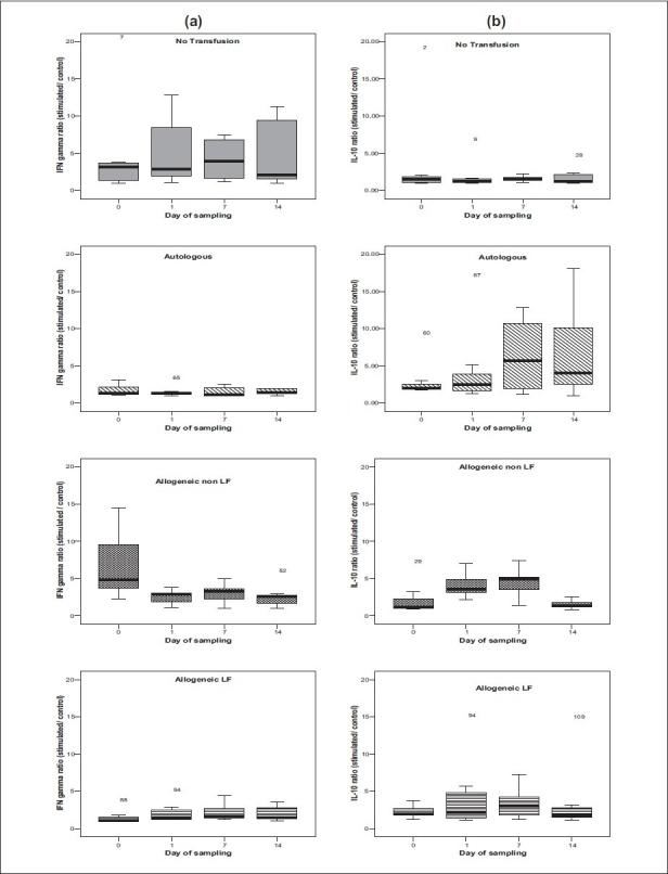
Very few studies in humans have investigated the laboratory evidences suggestive of transfusion-associated immunologic changes. In this prospective study, we examined the effects of perioperative blood transfusion on immune response, by measuring various cytokines production, namely, interferon-gamma (IFN-γ), interleukin-10 (IL-10), and Fas Ligand (FasL). A total of 40 patients undergoing neurosurgery were randomly allocated into four groups: (a) no transfusion, (b) allogeneic non-leukofiltered transfusion, (c) prestorage leukofiltered transfusion, (d) autologous transfusion. Samples were collected before operation (day 0) and postoperative days (post-op) 1, 7, and 14. IFN-γ and IL-10 production capacity was measured in supernatant after whole blood culture and serum FasL levels in patients' sera using commercially available ELISA kits. Change in ratios (cytokine value after PHA stimulation/control value) of IFN-γ and IL-10 and percentage change from baseline for serum FasL levels across different transfusion groups during the sampling period were calculated. There was an increase in IL-10 production in patients receiving allogeneic non-leukofiltered transfusion on days 1 and 7 (mean ratio 2.22 (± 2.16), 4.12 (± 1.71), 4.46 (± 1.97) on days 0, 1, and 7, respectively). Similarly there was a significant (P<0.05) decrease in IFN-γ production in patients who received allogeneic non-leukofiltered red cell transfusion on post-op days 1, 7, and 14 (mean ratio 6.88 (± 4.56), 2.53 (± 0.95), 3.04 (± 1.38) and 2.58 (± 1.48) on day 0, 1, 7, and 14, respectively). Serum FasL production was increased across all patients till 7th day except for 'no transfusion' group and this increase was most significant in the non-leukofiltered group. We conclude that one time transfusion leads to quantitative changes in levels of these cytokines largely through interplay of Th2/Th1 pathways in allogeneic nonleukofiltered blood transfusion; however, soluble mediators like FasL which are also present in autologous and leukofiltered blood products may contribute toward minor immunologic effect in these settings.

摘要
https://cdn.ncbi.nlm.nih.gov/pmc/blobs/e8f2/2937301/cc24d9bdc04b/AJTS-4-78-g001.jpg

文献AI研究员

20分钟写一篇综述,助力文献阅读效率提升50倍。

立即体验

用中文搜PubMed

大模型驱动的PubMed中文搜索引擎

马上搜索

文档翻译

学术文献翻译模型,支持多种主流文档格式。

立即体验