• 文献检索
  • 文档翻译
  • 深度研究
  • 学术资讯
  • Suppr Zotero 插件Zotero 插件
  • 邀请有礼
  • 套餐&价格
  • 历史记录
应用&插件
Suppr Zotero 插件Zotero 插件浏览器插件Mac 客户端Windows 客户端微信小程序
定价
高级版会员购买积分包购买API积分包
服务
文献检索文档翻译深度研究API 文档MCP 服务
关于我们
关于 Suppr公司介绍联系我们用户协议隐私条款
关注我们

Suppr 超能文献

核心技术专利:CN118964589B侵权必究
粤ICP备2023148730 号-1Suppr @ 2026

文献检索

告别复杂PubMed语法,用中文像聊天一样搜索,搜遍4000万医学文献。AI智能推荐,让科研检索更轻松。

立即免费搜索

文件翻译

保留排版,准确专业,支持PDF/Word/PPT等文件格式,支持 12+语言互译。

免费翻译文档

深度研究

AI帮你快速写综述,25分钟生成高质量综述,智能提取关键信息,辅助科研写作。

立即免费体验

选择合适的邻苯二甲酸二异壬酯和二异癸酯的暴露生物标志物:来自 2005-2006 年全国健康和营养调查的数据。

Selecting adequate exposure biomarkers of diisononyl and diisodecyl phthalates: data from the 2005-2006 National Health and Nutrition Examination Survey.

机构信息

Division of Laboratory Sciences, National Center for Environmental Health, Centers for Disease Control and Prevention, Atlanta, Georgia 30341, USA.

出版信息

Environ Health Perspect. 2011 Jan;119(1):50-5. doi: 10.1289/ehp.1002316. Epub 2010 Sep 22.

DOI:10.1289/ehp.1002316
PMID:20870567
原文链接:https://pmc.ncbi.nlm.nih.gov/articles/PMC3018499/
Abstract

BACKGROUND

High-molecular-weight phthalates, such as diisononyl phthalate (DINP) and diisodecyl phthalate (DIDP), are used primarily as polyvinyl chloride plasticizers.

OBJECTIVES

We assessed exposure to DINP and DIDP in a representative sample of persons ≥ 6 years of age in the U.S. general population from the 2005-2006 National Health and Nutrition Examination Survey (NHANES).

METHODS

We analyzed 2,548 urine samples by using online solid-phase extraction coupled to isotope dilution high-performance liquid chromatography-tandem mass spectrometry.

RESULTS

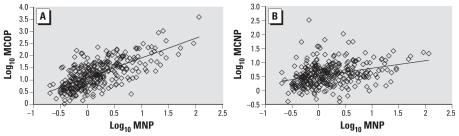
We detected monocarboxyisooctyl phthalate (MCOP), a metabolite of DINP, and monocarboxyisononyl phthalate (MCNP), a metabolite of DIDP, in 95.2% and 89.9% of the samples, respectively. We detected monoisononyl phthalate (MNP), a minor metabolite of DINP, much less frequently (12.9%) and at concentration ranges (> 0.8 µg/L-148.1 µg/L) much lower than MCOP (> 0.7 µg/L- 4,961 µg/L). Adjusted geometric mean concentrations of MCOP and MCNP were significantly higher (p < 0.01) among children than among adolescents and adults.

CONCLUSIONS

The general U.S. population, including children, was exposed to DINP and DIDP. In previous NHANES cycles, the occurrence of human exposure to DINP by using MNP as the sole urinary biomarker has been underestimated, thus illustrating the importance of selecting the most adequate biomarkers for exposure assessment.

摘要

背景

高分子量邻苯二甲酸酯,如邻苯二甲酸二异壬酯(DINP)和邻苯二甲酸二异癸酯(DIDP),主要用作聚氯乙烯增塑剂。

目的

我们评估了美国普通人群中≥6 岁人群中 DINP 和 DIDP 的暴露情况,该人群来自于 2005-2006 年全国健康和营养调查(NHANES)。

方法

我们通过在线固相萃取结合同位素稀释高效液相色谱-串联质谱法分析了 2548 份尿液样本。

结果

我们分别在 95.2%和 89.9%的样本中检测到了邻苯二甲酸二异壬酯(DINP)的代谢产物单羧基异辛基邻苯二甲酸酯(MCOP)和邻苯二甲酸二异癸酯(DIDP)的代谢产物单羧基异壬基邻苯二甲酸酯(MCNP)。我们较少地检测到 DINP 的次要代谢产物单异壬基邻苯二甲酸酯(MNP)(12.9%),且浓度范围(>0.8µg/L-148.1µg/L)比 MCOP(>0.7µg/L-4961µg/L)低得多。MCOP 和 MCNP 的调整几何均数浓度在儿童中显著高于青少年和成年人(p<0.01)。

结论

包括儿童在内的美国普通人群接触了 DINP 和 DIDP。在之前的 NHANES 周期中,仅使用 MNP 作为唯一尿液生物标志物来评估 DINP 人体暴露情况被低估了,这表明选择最适合暴露评估的生物标志物非常重要。

https://cdn.ncbi.nlm.nih.gov/pmc/blobs/84a3/3018499/8ba31d22946b/ehp-119-50f1.jpg
https://cdn.ncbi.nlm.nih.gov/pmc/blobs/84a3/3018499/8ba31d22946b/ehp-119-50f1.jpg
https://cdn.ncbi.nlm.nih.gov/pmc/blobs/84a3/3018499/8ba31d22946b/ehp-119-50f1.jpg

相似文献

1
Selecting adequate exposure biomarkers of diisononyl and diisodecyl phthalates: data from the 2005-2006 National Health and Nutrition Examination Survey.选择合适的邻苯二甲酸二异壬酯和二异癸酯的暴露生物标志物:来自 2005-2006 年全国健康和营养调查的数据。
Environ Health Perspect. 2011 Jan;119(1):50-5. doi: 10.1289/ehp.1002316. Epub 2010 Sep 22.
2
Human biological monitoring of diisononyl phthalate and diisodecyl phthalate: a review.二异壬基邻苯二甲酸酯和二异癸基邻苯二甲酸酯的人体生物监测:综述。
J Environ Public Health. 2012;2012:810501. doi: 10.1155/2012/810501. Epub 2012 Feb 9.
3
Assessment of human exposure to di-isodecyl phthalate using oxidative metabolites as biomarkers.以氧化代谢产物作为生物标志物评估人类对邻苯二甲酸二异癸酯的暴露情况。
Biomarkers. 2007 Mar-Apr;12(2):133-44. doi: 10.1080/13547500601066915.
4
Urinary metabolites of diisodecyl phthalate in rats.大鼠体内邻苯二甲酸二异癸酯的尿液代谢产物
Toxicology. 2007 Jul 1;236(1-2):114-22. doi: 10.1016/j.tox.2007.04.009. Epub 2007 Apr 24.
5
Exposure assessment issues in epidemiology studies of phthalates.邻苯二甲酸酯流行病学研究中的暴露评估问题。
Environ Int. 2015 Dec;85:27-39. doi: 10.1016/j.envint.2015.08.005. Epub 2015 Aug 24.
6
Oxidative metabolites of diisononyl phthalate as biomarkers for human exposure assessment.邻苯二甲酸二异壬酯的氧化代谢物作为人体暴露评估的生物标志物。
Environ Health Perspect. 2006 Aug;114(8):1158-61. doi: 10.1289/ehp.8865.
7
Exposure to di-2-ethylhexyl terephthalate in the U.S. general population from the 2015-2016 National Health and Nutrition Examination Survey.美国普通人群中二乙基己基对苯二甲酸酯的暴露量来自 2015-2016 年国家健康和营养调查。
Environ Int. 2019 Feb;123:141-147. doi: 10.1016/j.envint.2018.11.041. Epub 2018 Dec 4.
8
Temporal trends of phthalate exposures during 2007-2010 in Swedish pregnant women.2007-2010 年期间瑞典孕妇邻苯二甲酸酯暴露的时间趋势。
J Expo Sci Environ Epidemiol. 2018 Sep;28(5):437-447. doi: 10.1038/s41370-018-0020-6. Epub 2018 Feb 22.
9
Internal phthalate exposure over the last two decades--a retrospective human biomonitoring study.过去二十年中邻苯二甲酸酯的体内暴露——一项回顾性人体生物监测研究。
Int J Hyg Environ Health. 2007 May;210(3-4):319-33. doi: 10.1016/j.ijheh.2007.01.037. Epub 2007 Mar 30.
10
Biomonitoring of phthalate metabolites in the Canadian population through the Canadian Health Measures Survey (2007-2009).通过加拿大健康测量调查(2007-2009 年)对加拿大人群中邻苯二甲酸代谢物进行生物监测。
Int J Hyg Environ Health. 2013 Nov;216(6):652-61. doi: 10.1016/j.ijheh.2012.12.009. Epub 2013 Feb 16.

引用本文的文献

1
Determination of dialkyl phthalate esters in indoor air of PVC industry: Risk assessment for human health using Monte-Carlo simulations.聚氯乙烯行业室内空气中邻苯二甲酸二烷基酯的测定:使用蒙特卡洛模拟法对人体健康进行风险评估
Heliyon. 2024 Jul 25;10(15):e35097. doi: 10.1016/j.heliyon.2024.e35097. eCollection 2024 Aug 15.
2
Variability in urinary phthalates, phenols, and parabens across childhood and relation to adolescent breast composition in Chilean girls.儿童期尿液中邻苯二甲酸酯、酚类和对羟基苯甲酸酯的变异性与智利女孩青春期乳房成分的关系。
Environ Int. 2022 Dec;170:107586. doi: 10.1016/j.envint.2022.107586. Epub 2022 Oct 19.
3

本文引用的文献

1
What additional factors beyond state-of-the-art analytical methods are needed for optimal generation and interpretation of biomonitoring data?除了最先进的分析方法之外,还需要哪些其他因素才能最佳地生成和解释生物监测数据?
Environ Health Perspect. 2009 Oct;117(10):1481-5. doi: 10.1289/ehp.0901108. Epub 2009 Jun 24.
2
GerES IV: phthalate metabolites and bisphenol A in urine of German children.GerES IV:德国儿童尿液中的邻苯二甲酸代谢物和双酚 A。
Int J Hyg Environ Health. 2009 Nov;212(6):685-92. doi: 10.1016/j.ijheh.2009.08.002. Epub 2009 Sep 2.
3
Phthalates and other additives in plastics: human exposure and associated health outcomes.
Time-trends in human urinary concentrations of phthalates and substitutes DEHT and DINCH in Asian and North American countries (2009-2019).
亚洲和北美洲国家人类尿液中邻苯二甲酸酯及其替代物 DEHT 和 DINCH 浓度的时间趋势(2009-2019 年)。
J Expo Sci Environ Epidemiol. 2023 Mar;33(2):244-254. doi: 10.1038/s41370-022-00441-w. Epub 2022 May 5.
4
The effects of the phthalate DiNP on reproduction†.邻苯二甲酸二壬酯(DiNP)对生殖的影响。
Biol Reprod. 2021 Feb 11;104(2):305-316. doi: 10.1093/biolre/ioaa201.
5
Urinary Concentrations of Diisoheptyl Phthalate Biomarkers in Convenience Samples of U.S. Adults in 2000 and 2018-2019.2000年以及2018 - 2019年美国成年人便利样本中邻苯二甲酸二异庚酯生物标志物的尿液浓度
Toxics. 2019 Oct 11;7(4):53. doi: 10.3390/toxics7040053.
6
A Review of Biomonitoring of Phthalate Exposures.邻苯二甲酸酯暴露生物监测综述
Toxics. 2019 Apr 5;7(2):21. doi: 10.3390/toxics7020021.
7
Plasticizers used in food-contact materials affect adipogenesis in 3T3-L1 cells.食品接触材料中使用的增塑剂会影响 3T3-L1 细胞的脂肪生成。
J Steroid Biochem Mol Biol. 2018 Apr;178:322-332. doi: 10.1016/j.jsbmb.2018.01.014. Epub 2018 Feb 2.
8
State of the evidence 2017: an update on the connection between breast cancer and the environment.《2017年证据状况:乳腺癌与环境之间联系的最新情况》
Environ Health. 2017 Sep 2;16(1):94. doi: 10.1186/s12940-017-0287-4.
9
Novel exposure biomarkers of N,N-diethyl-m-toluamide (DEET): Data from the 2007-2010 National Health and Nutrition Examination Survey.N,N-二乙基间甲苯酰胺(避蚊胺)的新型暴露生物标志物:来自2007 - 2010年国家健康与营养检查调查的数据。
Environ Int. 2016 Jul-Aug;92-93:398-404. doi: 10.1016/j.envint.2016.04.021. Epub 2016 Apr 30.
10
Cognitive deficits and anxiety induced by diisononyl phthalate in mice and the neuroprotective effects of melatonin.邻苯二甲酸二异壬酯诱导小鼠认知缺陷和焦虑以及褪黑素的神经保护作用
Sci Rep. 2015 Oct 1;5:14676. doi: 10.1038/srep14676.
塑料中的邻苯二甲酸盐及其他添加剂:人体暴露情况及相关健康后果。
Philos Trans R Soc Lond B Biol Sci. 2009 Jul 27;364(1526):2097-113. doi: 10.1098/rstb.2008.0268.
4
Human body burdens of chemicals used in plastic manufacture.人体中塑料制造所用化学品的负担。
Philos Trans R Soc Lond B Biol Sci. 2009 Jul 27;364(1526):2063-78. doi: 10.1098/rstb.2008.0208.
5
Effects of maternal exposure to di-isononylphthalate (DINP) and 1,1-dichloro-2,2-bis(p-chlorophenyl)ethylene (p,p'-DDE) on steroidogenesis in the fetal rat testis and adrenal gland.母体暴露于邻苯二甲酸二异壬酯(DINP)和1,1-二氯-2,2-双(对氯苯基)乙烯(p,p'-DDE)对胎鼠睾丸和肾上腺类固醇生成的影响。
Reprod Toxicol. 2009 Jul;28(1):66-74. doi: 10.1016/j.reprotox.2009.03.002. Epub 2009 Mar 20.
6
Intra- and inter-individual variability of urinary phthalate metabolite concentrations in Hmong women of reproductive age.育龄期苗族妇女尿中邻苯二甲酸代谢物浓度的个体内和个体间变异性。
J Expo Sci Environ Epidemiol. 2010 Jan;20(1):90-100. doi: 10.1038/jes.2009.4. Epub 2009 Feb 18.
7
Characterization of phthalate exposure among pregnant women assessed by repeat air and urine samples.通过重复采集空气和尿液样本评估孕妇邻苯二甲酸盐暴露情况
Environ Health Perspect. 2008 Apr;116(4):467-73. doi: 10.1289/ehp.10749.
8
Phthalates: metabolism and exposure.邻苯二甲酸盐:代谢与暴露
Int J Androl. 2008 Apr;31(2):131-8. doi: 10.1111/j.1365-2605.2007.00837.x. Epub 2007 Dec 7.
9
Quantification of 22 phthalate metabolites in human urine.人体尿液中22种邻苯二甲酸酯代谢物的定量分析。
J Chromatogr B Analyt Technol Biomed Life Sci. 2007 Dec 1;860(1):106-12. doi: 10.1016/j.jchromb.2007.10.023. Epub 2007 Oct 22.
10
Temporal variability in urinary concentrations of phthalate metabolites, phytoestrogens and phenols among minority children in the United States.美国少数族裔儿童尿中邻苯二甲酸酯代谢物、植物雌激素和酚类物质浓度的时间变异性。
Environ Res. 2008 Feb;106(2):257-69. doi: 10.1016/j.envres.2007.09.010. Epub 2007 Oct 31.